CICE/CSIM Output
Comparison of runs b40.plio.FV1.003ext-b.e12.B1850CN.f09_g16.plio.002:
Regional Time Series
NH Regional Time Series
Ice Volume, Snow Volume and Ice Area
NH Regions
SH Regional Time Series
Ice Volume, Snow Volume and Ice Area
SH Regions
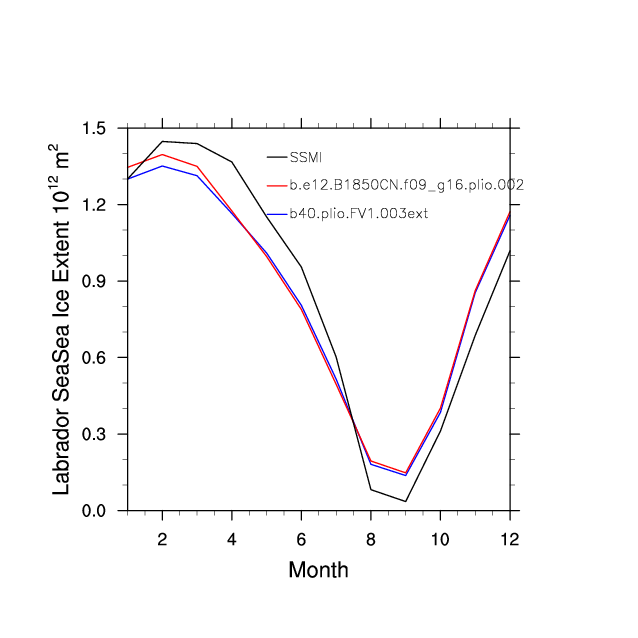
Labrador Sea:
map
Weddell Sea:
map
Monthly Means
plot
Monthly Means
plot
Climatological Monthly Mean Extent vs Obs
plot
Climatological Monthly Mean Extent vs Obs
plot
Annual and Seasonal Means
JFM
AMJ
JAS
OND
ANN
Annual and Seasonal Means
JFM
AMJ
JAS
OND
ANN
Annual and Seasonal Anomalies
JFM
AMJ
JAS
OND
ANN
Annual and Seasonal Anomalies
JFM
AMJ
JAS
OND
ANN
Greenland Sea:
map
Ross Sea:
map
Monthly Means
plot
Monthly Means
plot
Climatological Monthly Mean Extent vs Obs
plot
Climatological Monthly Mean Extent vs Obs
plot
Annual and Seasonal Means
JFM
AMJ
JAS
OND
ANN
Annual and Seasonal Means
JFM
AMJ
JAS
OND
ANN
Annual and Seasonal Anomalies
JFM
AMJ
JAS
OND
ANN
Annual and Seasonal Anomalies
JFM
AMJ
JAS
OND
ANN
Kara and Barents Sea:
map
Indian Sector:
map
Monthly Means
plot
Monthly Means
plot
Climatological Monthly Mean Extent vs Obs
plot
Climatological Monthly Mean Extent vs Obs
plot
Annual and Seasonal Means
JFM
AMJ
JAS
OND
ANN
Annual and Seasonal Means
JFM
AMJ
JAS
OND
ANN
Annual and Seasonal Anomalies
JFM
AMJ
JAS
OND
ANN
Annual and Seasonal Anomalies
JFM
AMJ
JAS
OND
ANN
Arctic Ocean:
map
Pacific Sector:
map
Monthly Means
plot
Monthly Means
plot
Climatological Monthly Mean Extent vs Obs
plot
Climatological Monthly Mean Extent vs Obs
plot
Annual and Seasonal Means
JFM
AMJ
JAS
OND
ANN
Annual and Seasonal Means
JFM
AMJ
JAS
OND
ANN
Annual and Seasonal Anomalies
JFM
AMJ
JAS
OND
ANN
Annual and Seasonal Anomalies
JFM
AMJ
JAS
OND
ANN
Siberian Sector:
map
Bellingshausen-Amundsen Sea:
map
Monthly Means
plot
Monthly Means
plot
Climatological Monthly Mean Extent vs Obs
plot
Climatological Monthly Mean Extent vs Obs
plot
Annual and Seasonal Means
JFM
AMJ
JAS
OND
ANN
Annual and Seasonal Means
JFM
AMJ
JAS
OND
ANN
Annual and Seasonal Anomalies
JFM
AMJ
JAS
OND
ANN
Annual and Seasonal Anomalies
JFM
AMJ
JAS
OND
ANN
Beaufort Sea:
map
Monthly Means
plot
Climatological Monthly Mean Extent vs Obs
plot
Annual and Seasonal Means
JFM
AMJ
JAS
OND
ANN
Annual and Seasonal Anomalies
JFM
AMJ
JAS
OND
ANN
Central Arctic Ocean:
map
Monthly Means
plot
Climatological Monthly Mean Extent vs Obs
plot
Annual and Seasonal Means
JFM
AMJ
JAS
OND
ANN
Bering Sea:
map
Monthly Means
plot
Climatological Monthly Mean Extent vs Obs
plot
Annual and Seasonal Means
JFM
AMJ
JAS
OND
ANN
Annual and Seasonal Anomalies
JFM
AMJ
JAS
OND
ANN
Sea of Okhotsk:
map
Monthly Means
plot
Climatological Monthly Mean Extent vs Obs
plot
Annual and Seasonal Means
JFM
AMJ
JAS
OND
ANN
Annual and Seasonal Anomalies
JFM
AMJ
JAS
OND
ANN
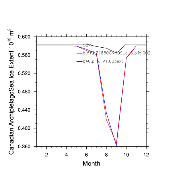
Canadian Archipelago:
map
Monthly Means
plot
Climatological Monthly Mean Extent vs Obs
plot
Annual and Seasonal Means
JFM
AMJ
JAS
OND
ANN
Annual and Seasonal Anomalies
JFM
AMJ
JAS
OND
ANN
Hudson Bay:
map
Monthly Means
plot
Climatological Monthly Mean Extent vs Obs
plot
Annual and Seasonal Means
JFM
AMJ
JAS
OND
ANN
Annual and Seasonal Anomalies
JFM
AMJ
JAS
OND
ANN