CICE/CSIM Output



Comparison of runs b.e11.B1850C5CN.f19_g16.0850cntl.001-b.e11.B1850C5CN.f19_g16.0850cntl.001: Hemisphere Time Series
Time Series of Ice Volume, Snow Volume and Ice Area NH SH
Monthly Means plot plot
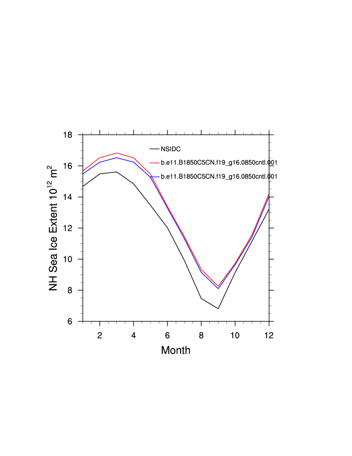
Climatological Monthly Mean Extent vs Obs plot plot
Annual and Seasonal Means JFM AMJ JAS OND ANN JFM AMJ JAS OND ANN
Annual and Seasonal Anomalies JFM AMJ JAS OND ANN JFM AMJ JAS OND ANN