POP diagnostics for case
b.e15.B1850G.f09_g16.pi_control.01
Revision: 54303
| SHF_TOTAL | SHF_QSW | MELTH_F | SENH_F | LWUP_F | LWDN_F | QFLUX |
|---|---|---|---|---|---|---|
| SFWF_TOTAL | EVAP_F | PREC_F | SNOW_F | MELT_F | SALT_F | ROFF_F |
| TAUX | TAUY | CURL | ||||
| SHF_TOTAL | SHF_QSW | MELTH_F | SENH_F | LWUP_F | LWDN_F | QFLUX |
|---|---|---|---|---|---|---|
| SFWF_TOTAL | EVAP_F | PREC_F | SNOW_F | MELT_F | SALT_F | ROFF_F |
| SSH | HBLT | HMXL | DIA_DEPTH | TLT | INT_DEPTH |
|---|---|---|---|---|---|
| SU | SV | BSF | |||
| SSH | HBLT | HMXL | DIA_DEPTH | TLT | INT_DEPTH |
|---|---|---|---|---|---|
| Global | TEMP | SALT | IAGE | KAPPA_ISOP | KAPPA_THIC |
|---|---|---|---|---|---|
| Atlantic | TEMP | SALT | IAGE | KAPPA_ISOP | KAPPA_THIC |
|---|---|---|---|---|---|
| Pacific | TEMP | SALT | IAGE | KAPPA_ISOP | KAPPA_THIC |
|---|---|---|---|---|---|
| Indian | TEMP | SALT | IAGE | KAPPA_ISOP | KAPPA_THIC |
|---|---|---|---|---|---|
| Southern | TEMP | SALT | IAGE | KAPPA_ISOP | KAPPA_THIC |
|---|---|---|---|---|---|
| MOC | MOC_TOTAL | MOC_EI | HT | FWT |
|---|---|---|---|---|
| DWBC |
|---|
| Eq_Pac_SST |
|---|
| MLD.125 | MLD.03 |
|---|---|
| TEMP: | 0m | 50m | 100m | 200m | 300m | 500m | 1000m | 1500m | 2000m | 2500m | 3000m | 3500m | 4000m |
|---|---|---|---|---|---|---|---|---|---|---|---|---|---|
| SALT: | 0m | 50m | 100m | 200m | 300m | 500m | 1000m | 1500m | 2000m | 2500m | 3000m | 3500m | 4000m |
| IAGE: | 0m | 50m | 100m | 200m | 300m | 500m | 1000m | 1500m | 2000m | 2500m | 3000m | 3500m | 4000m |
|---|---|---|---|---|---|---|---|---|---|---|---|---|---|
| UVEL: | 0m | 50m | 100m | 200m | 300m | 500m | 1000m | 1500m | 2000m | 2500m | 3000m | 3500m | 4000m |
|---|---|---|---|---|---|---|---|---|---|---|---|---|---|
| VVEL: | 0m | 50m | 100m | 200m | 300m | 500m | 1000m | 1500m | 2000m | 2500m | 3000m | 3500m | 4000m |
| WVEL: | 0m | 50m | 100m | 200m | 300m | 500m | 1000m | 1500m | 2000m | 2500m | 3000m | 3500m | 4000m |
| UISOP: | 0m | 50m | 100m | 200m | 300m | 500m | 1000m | 1500m | 2000m | 2500m | 3000m | 3500m | 4000m |
|---|---|---|---|---|---|---|---|---|---|---|---|---|---|
| VISOP: | 0m | 50m | 100m | 200m | 300m | 500m | 1000m | 1500m | 2000m | 2500m | 3000m | 3500m | 4000m |
| WISOP: | 0m | 50m | 100m | 200m | 300m | 500m | 1000m | 1500m | 2000m | 2500m | 3000m | 3500m | 4000m |
| KAPPA_ISOP: | 0m | 50m | 100m | 200m | 300m | 500m | 1000m | 1500m | 2000m | 2500m | 3000m | 3500m | 4000m |
|---|---|---|---|---|---|---|---|---|---|---|---|---|---|
| KAPPA_THIC: | 0m | 50m | 100m | 200m | 300m | 500m | 1000m | 1500m | 2000m | 2500m | 3000m | 3500m | 4000m |
| TEMP (Glo) | SALT (Glo) | UVEL (Pac) | UVEL (Atl) | UVEL (Ind) |
|---|---|---|---|---|
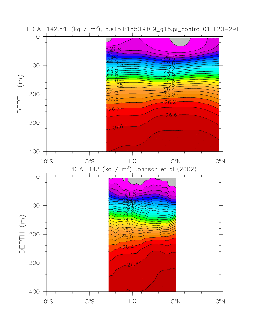
| 143°E: | TEMP | SALT | PD | UVEL |
|---|---|---|---|---|
| 156°E: | TEMP | SALT | PD | UVEL |
| 165°E: | TEMP | SALT | PD | UVEL |
| 180°E: | TEMP | SALT | PD | UVEL |
| 190°E: | TEMP | SALT | PD | UVEL |
| 205°E: | TEMP | SALT | PD | UVEL |
| 220°E: | TEMP | SALT | PD | UVEL |
| 235°E: | TEMP | SALT | PD | UVEL |
| 250°E: | TEMP | SALT | PD | UVEL |
| 265°E: | TEMP | SALT | PD | UVEL |
| VELOCITY: | 0m | 50m | 100m | 200m | 300m | 500m | 1000m | 1500m | 2000m | 2500m | 3000m | 3500m | 4000m |
|---|---|---|---|---|---|---|---|---|---|---|---|---|---|
| Arctic_TEMP: | 0m | 50m | 100m | 200m | 300m | 500m | 1000m | 1500m | 2000m | 2500m | 3000m | 3500m | 4000m |
|---|---|---|---|---|---|---|---|---|---|---|---|---|---|
| Arctic_SALT: | 0m | 50m | 100m | 200m | 300m | 500m | 1000m | 1500m | 2000m | 2500m | 3000m | 3500m | 4000m |
| Antarctic_TEMP: | 0m | 50m | 100m | 200m | 300m | 500m | 1000m | 1500m | 2000m | 2500m | 3000m | 3500m | 4000m |
| Antarctic_SALT: | 0m | 50m | 100m | 200m | 300m | 500m | 1000m | 1500m | 2000m | 2500m | 3000m | 3500m | 4000m |
| Canada Basin | Eurasian Basin | Makarov Basin |
|---|---|---|
| Regions: | plot | |
|---|---|---|
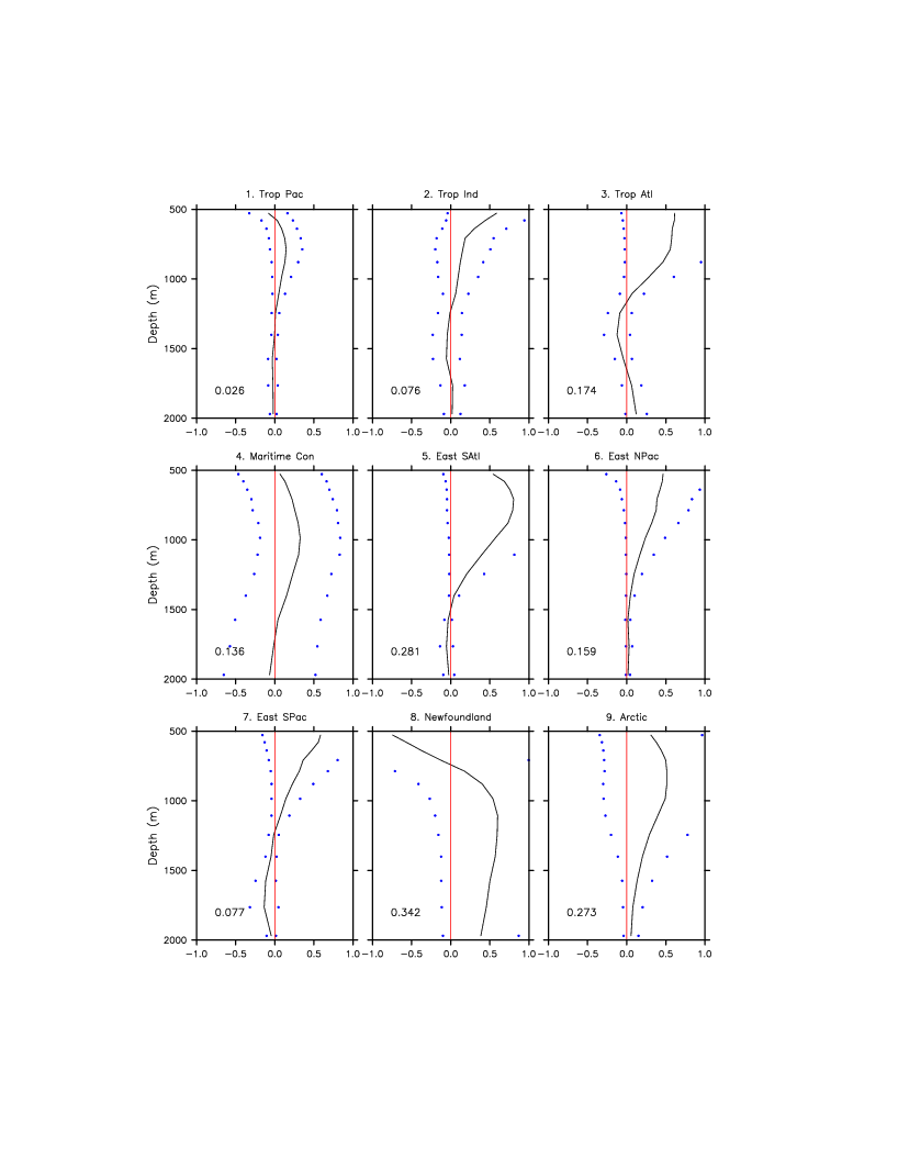
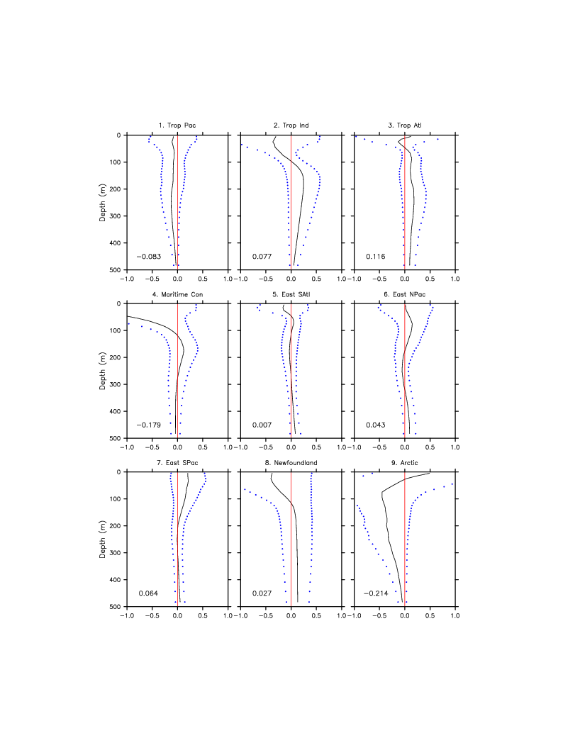
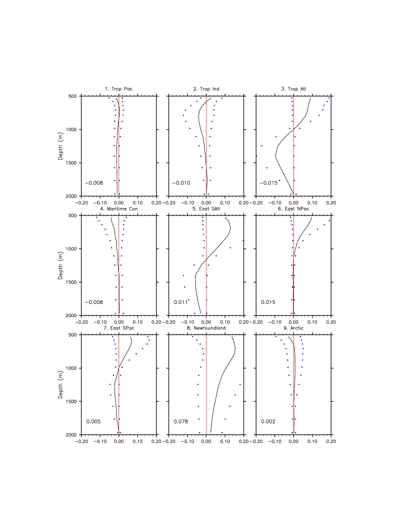
| 0-500m: | TEMP | SALT |
| 500-2000m: | TEMP | SALT |