POP diagnostics for case   b.e15.B1850G.f09_g16.pi_control.13

Revision: 54303


Surface Fluxes
Lat, Lon
SHF_TOTAL  SHF_QSW  MELTH_F  SENH_F  LWUP_F  LWDN_F  QFLUX
SFWF_TOTAL  EVAP_F  PREC_F  SNOW_F  MELT_F  SALT_F  ROFF_F
TAUX  TAUY  CURL
Global Zonal Average
SHF_TOTAL  SHF_QSW  MELTH_F  SENH_F  LWUP_F  LWDN_F  QFLUX
SFWF_TOTAL  EVAP_F  PREC_F  SNOW_F  MELT_F  SALT_F  ROFF_F


2D Fields
Lat, Lon
SSH  HBLT  HMXL  DIA_DEPTH  TLT  INT_DEPTH
SU  SV  BSF
Global Zonal Average
SSH  HBLT  HMXL  DIA_DEPTH  TLT  INT_DEPTH


3D Fields, Zonally-Averaged
Global  TEMP  SALT  IAGE  KAPPA_ISOP  KAPPA_THIC 
Atlantic  TEMP  SALT  IAGE  KAPPA_ISOP  KAPPA_THIC 
Pacific  TEMP  SALT  IAGE  KAPPA_ISOP  KAPPA_THIC 
Indian  TEMP  SALT  IAGE  KAPPA_ISOP  KAPPA_THIC 
Southern  TEMP  SALT  IAGE  KAPPA_ISOP  KAPPA_THIC 


MOC; Meridional Heat & Freshwater Transports
MOC  MOC_TOTAL  MOC_EI  HT  FWT 


Western Boundary Currents
DWBC 


Seasonal Cycle Plots
Eq_Pac_SST 


Mixed Layer Depth Plots
MLD.125  MLD.03 


T & S at depth
TEMP:   0m  50m  100m  200m  300m  500m  1000m  1500m  2000m  2500m  3000m  3500m  4000m 
SALT:   0m  50m  100m  200m  300m  500m  1000m  1500m  2000m  2500m  3000m  3500m  4000m 


Passive Tracers at depth
IAGE:   0m  50m  100m  200m  300m  500m  1000m  1500m  2000m  2500m  3000m  3500m  4000m 


Eulerian Velocity Components at depth
UVEL:   0m  50m  100m  200m  300m  500m  1000m  1500m  2000m  2500m  3000m  3500m  4000m 
VVEL:   0m  50m  100m  200m  300m  500m  1000m  1500m  2000m  2500m  3000m  3500m  4000m 
WVEL:   0m  50m  100m  200m  300m  500m  1000m  1500m  2000m  2500m  3000m  3500m  4000m 


Bolus Velocity Components at depth
UISOP:   0m  50m  100m  200m  300m  500m  1000m  1500m  2000m  2500m  3000m  3500m  4000m 
VISOP:   0m  50m  100m  200m  300m  500m  1000m  1500m  2000m  2500m  3000m  3500m  4000m 
WISOP:   0m  50m  100m  200m  300m  500m  1000m  1500m  2000m  2500m  3000m  3500m  4000m 


Diffusion Coefficients at depth
KAPPA_ISOP:   0m  50m  100m  200m  300m  500m  1000m  1500m  2000m  2500m  3000m  3500m  4000m 
KAPPA_THIC:   0m  50m  100m  200m  300m  500m  1000m  1500m  2000m  2500m  3000m  3500m  4000m 


Equatorial Upperocean
Longitude-Depth
TEMP (Glo)  SALT (Glo)  UVEL (Pac)  UVEL (Atl)  UVEL (Ind) 
Latitude-Depth
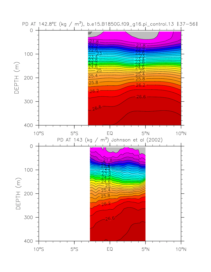
143°E:   TEMP  SALT  PD  UVEL 
156°E:   TEMP  SALT  PD  UVEL 
165°E:   TEMP  SALT  PD  UVEL 
180°E:   TEMP  SALT  PD  UVEL 
190°E:   TEMP  SALT  PD  UVEL 
205°E:   TEMP  SALT  PD  UVEL 
220°E:   TEMP  SALT  PD  UVEL 
235°E:   TEMP  SALT  PD  UVEL 
250°E:   TEMP  SALT  PD  UVEL 
265°E:   TEMP  SALT  PD  UVEL 


Horizontal Vector Fields at depth
VELOCITY:   0m  50m  100m  200m  300m  500m  1000m  1500m  2000m  2500m  3000m  3500m  4000m 


Polar T & S at depth
Arctic_TEMP:   0m  50m  100m  200m  300m  500m  1000m  1500m  2000m  2500m  3000m  3500m  4000m 
Arctic_SALT:   0m  50m  100m  200m  300m  500m  1000m  1500m  2000m  2500m  3000m  3500m  4000m 
Antarctic_TEMP:   0m  50m  100m  200m  300m  500m  1000m  1500m  2000m  2500m  3000m  3500m  4000m 
Antarctic_SALT:   0m  50m  100m  200m  300m  500m  1000m  1500m  2000m  2500m  3000m  3500m  4000m 


Depth Profiles of Basin-average T & S
Canada Basin  Eurasian Basin  Makarov Basin 


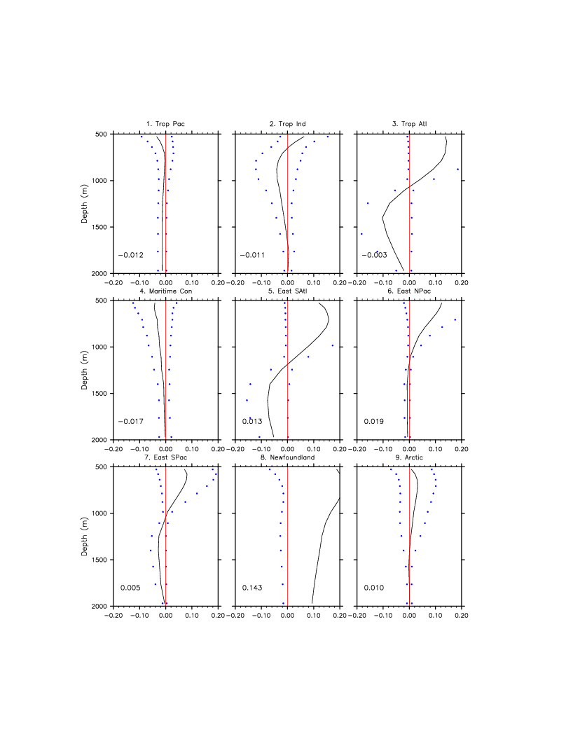
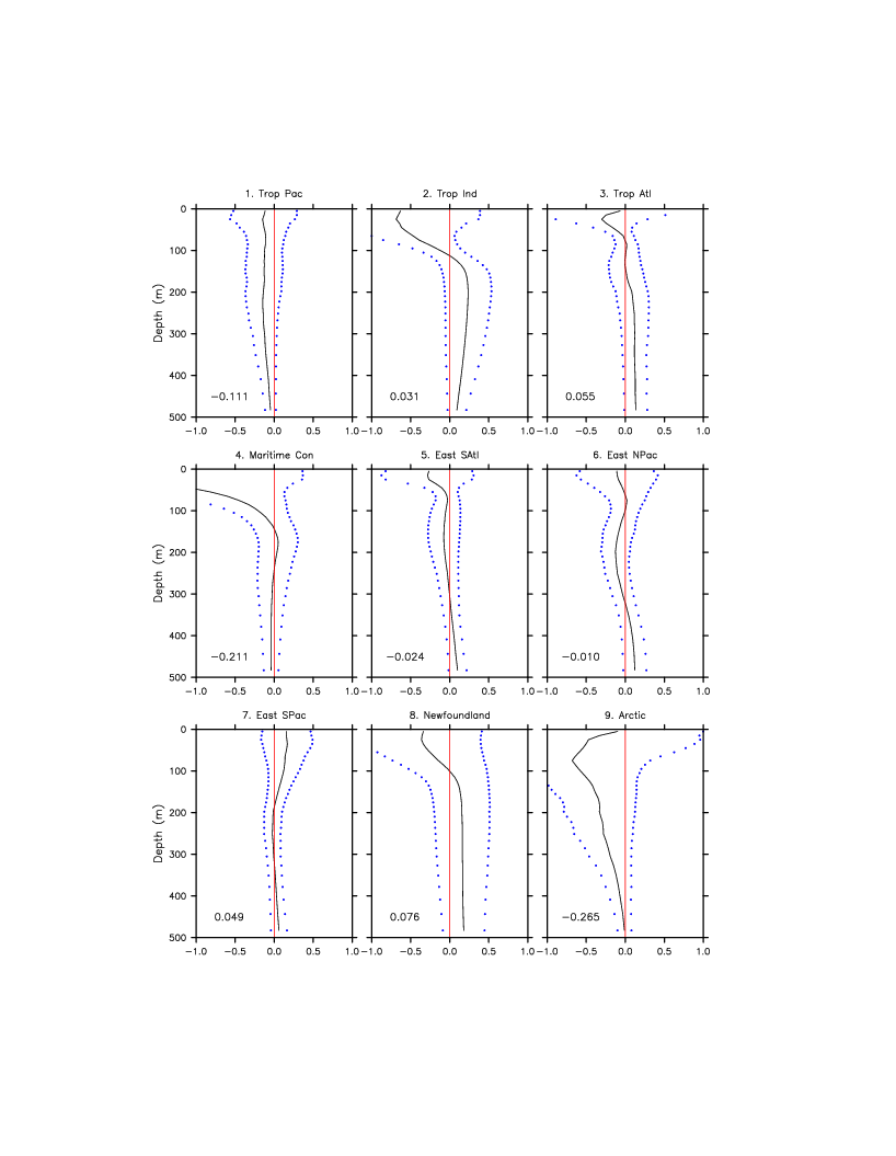
Regional average T & S anomaly vs. depth
Regions:   plot 
0-500m:   TEMP  SALT 
500-2000m:   TEMP  SALT