set 12 b.e20.B1850.f09_g16.pi_control.all.141
and
OBS data (info)

Back to diagnostic sets

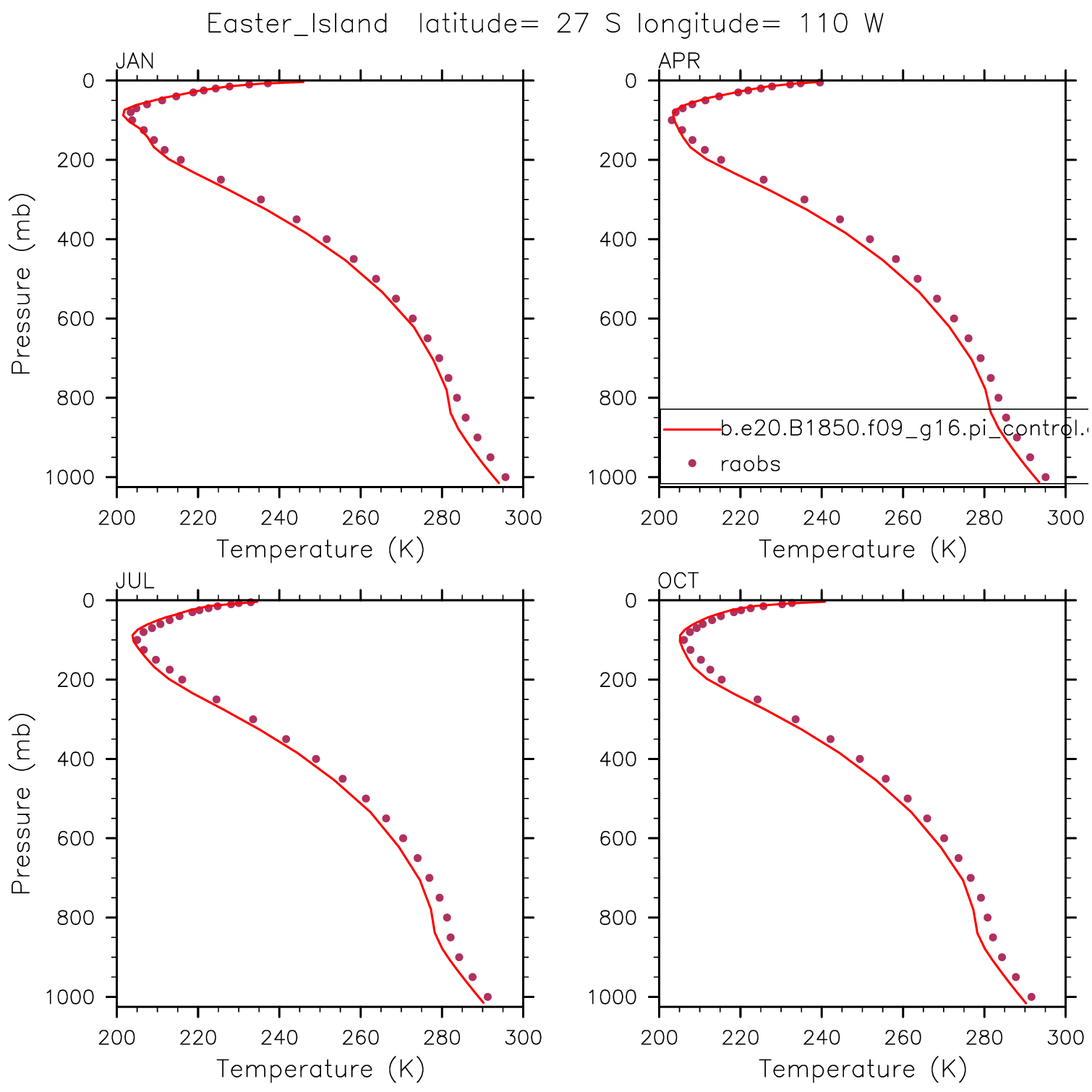
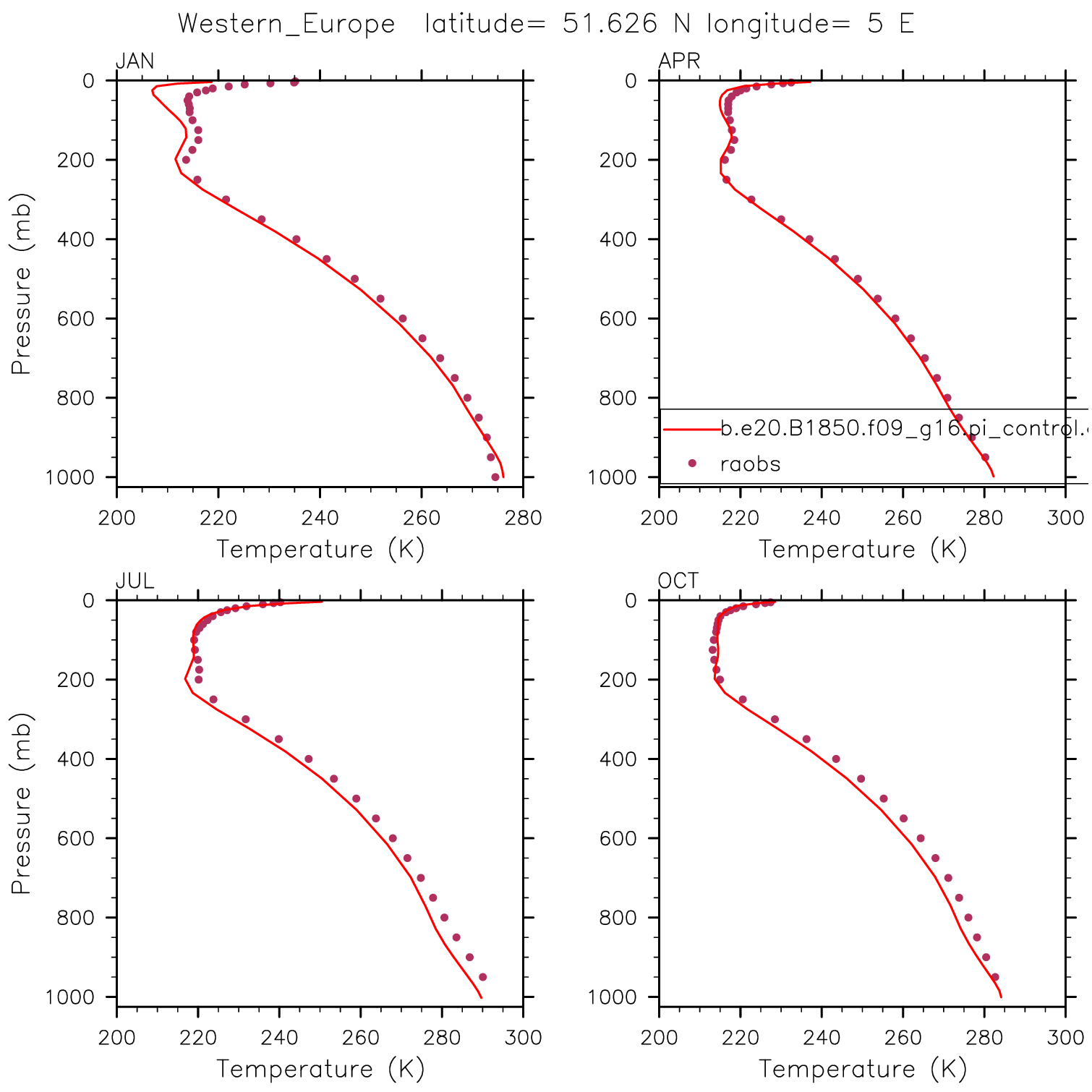
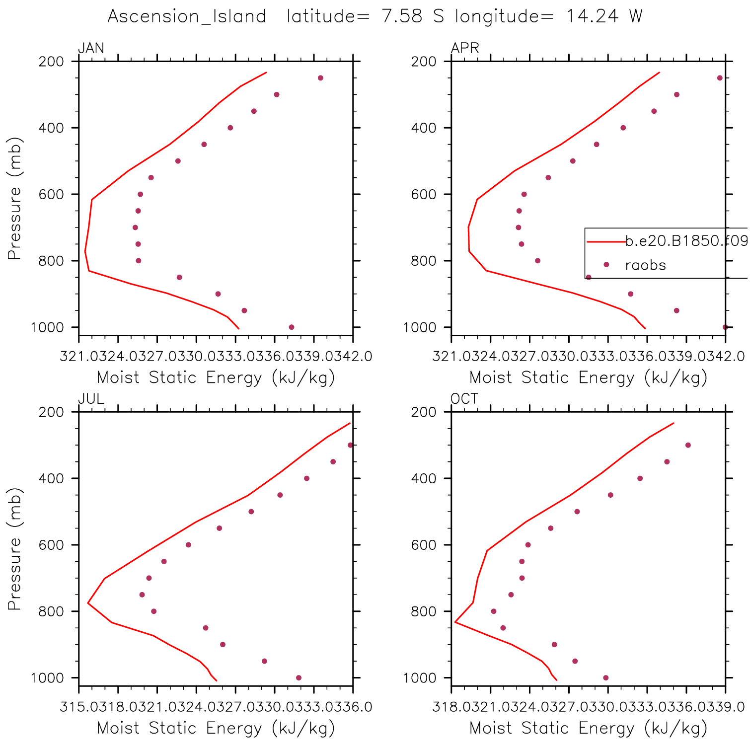
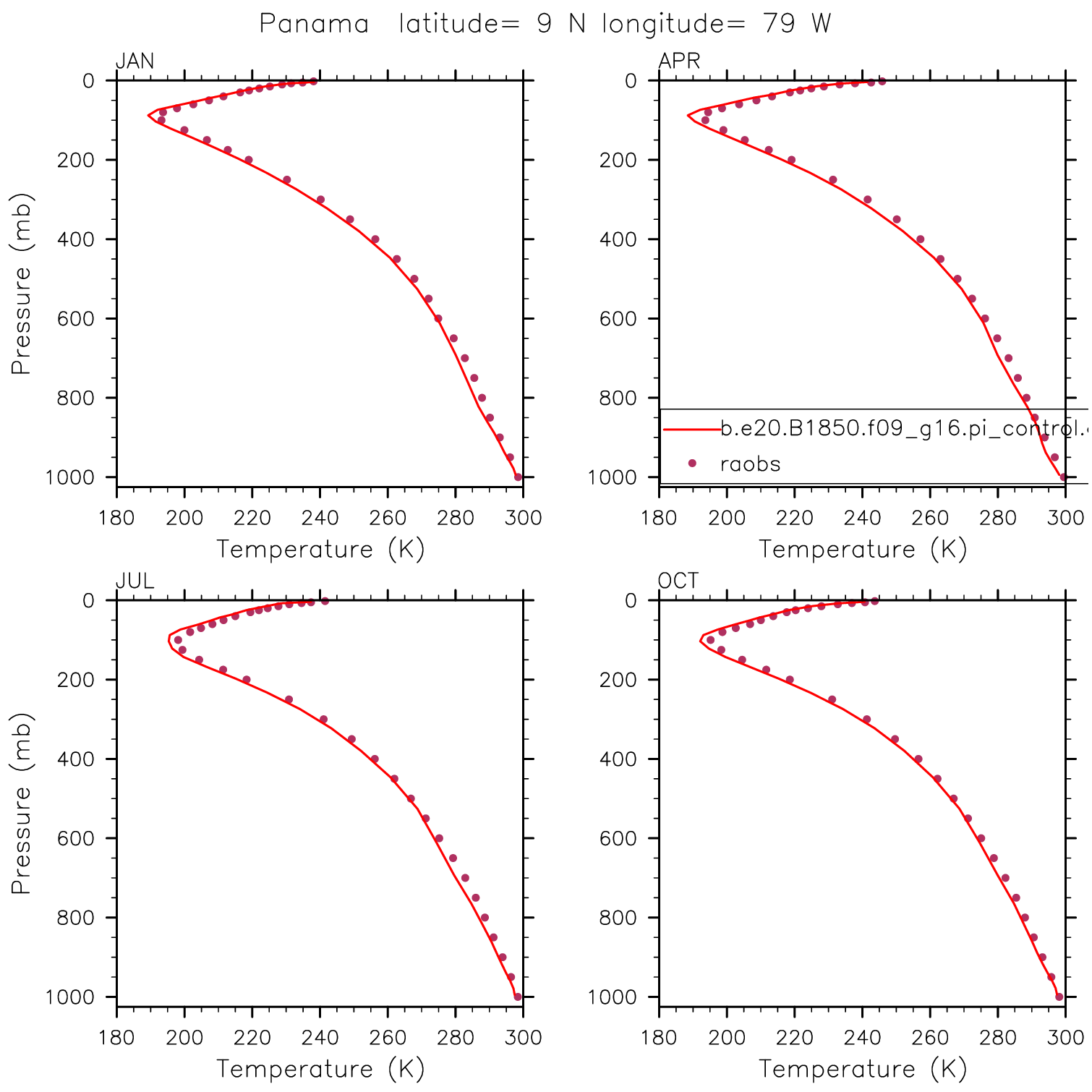
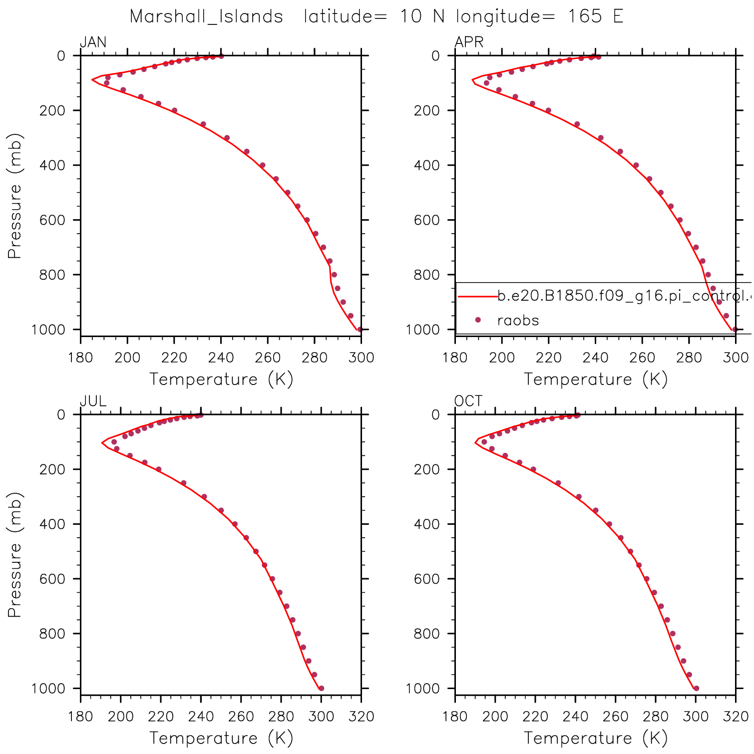
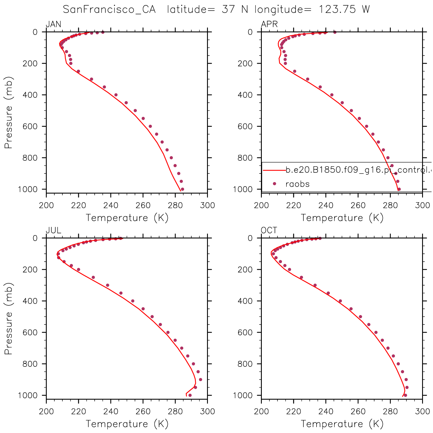
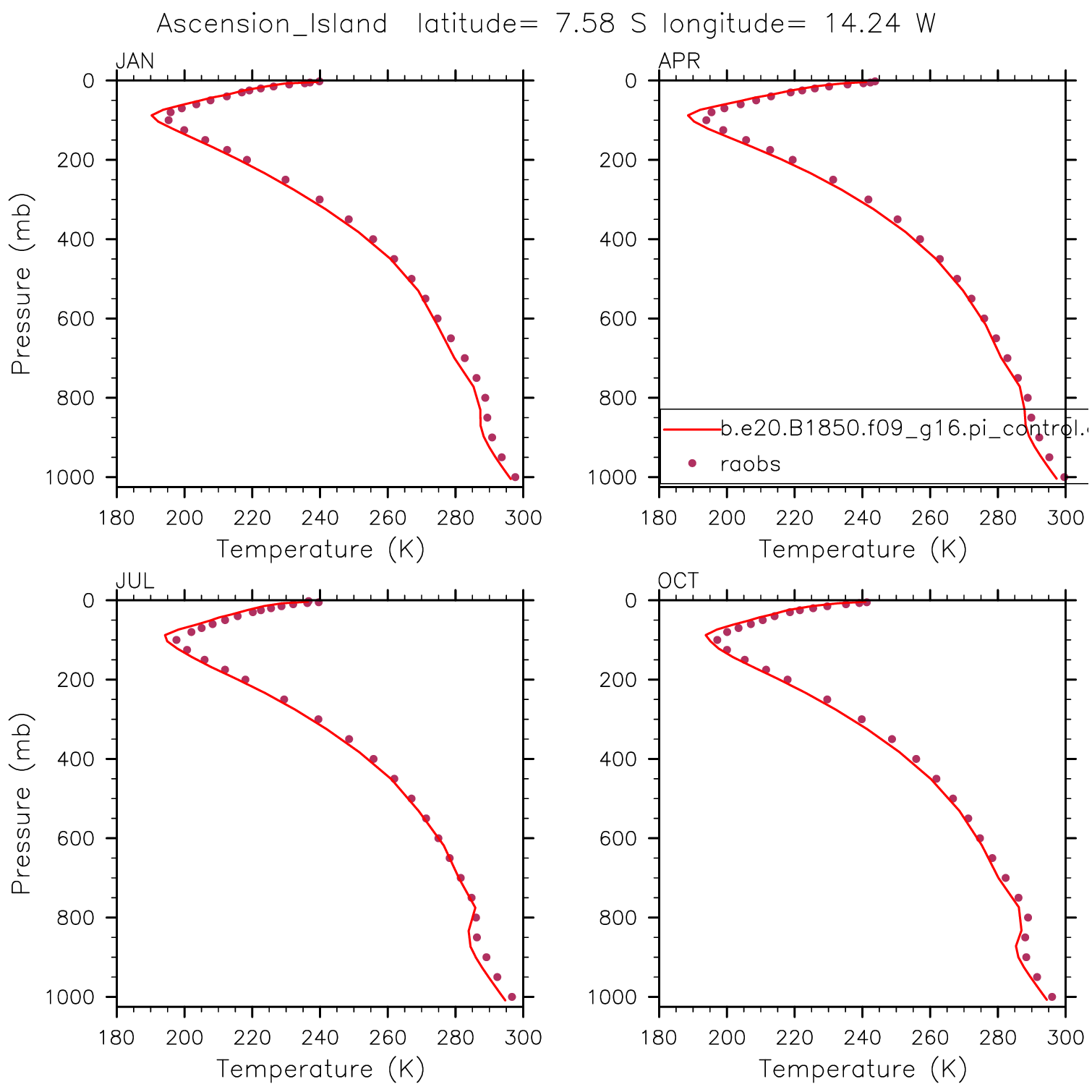
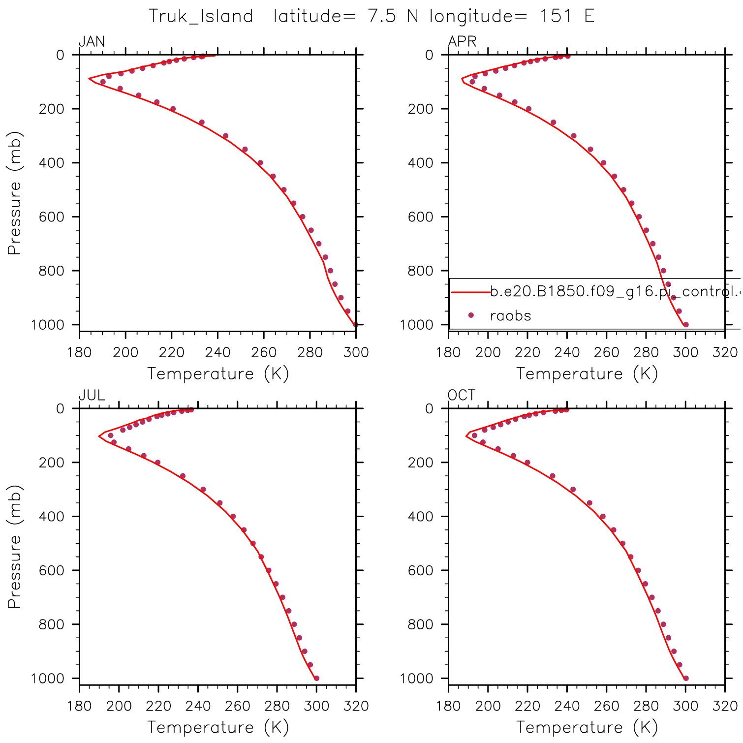
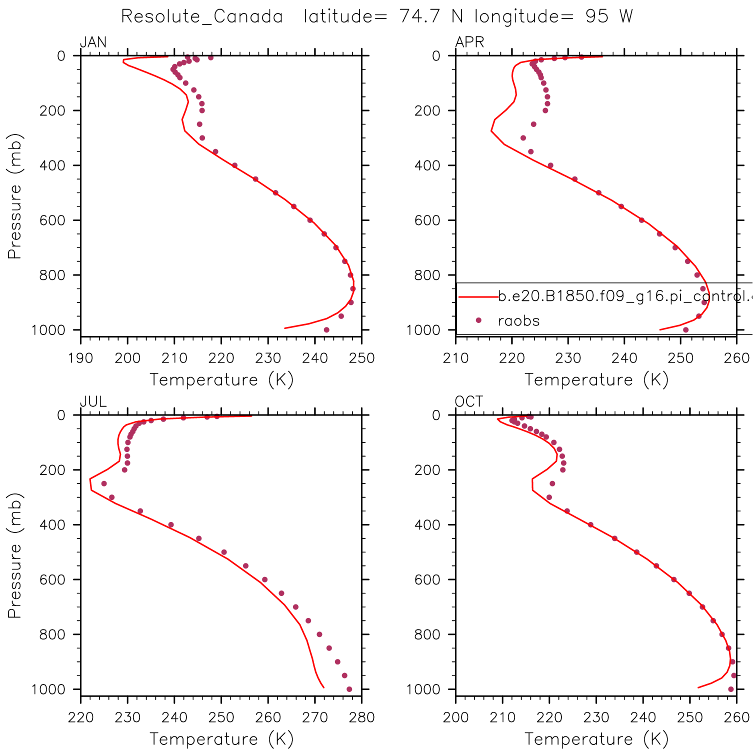
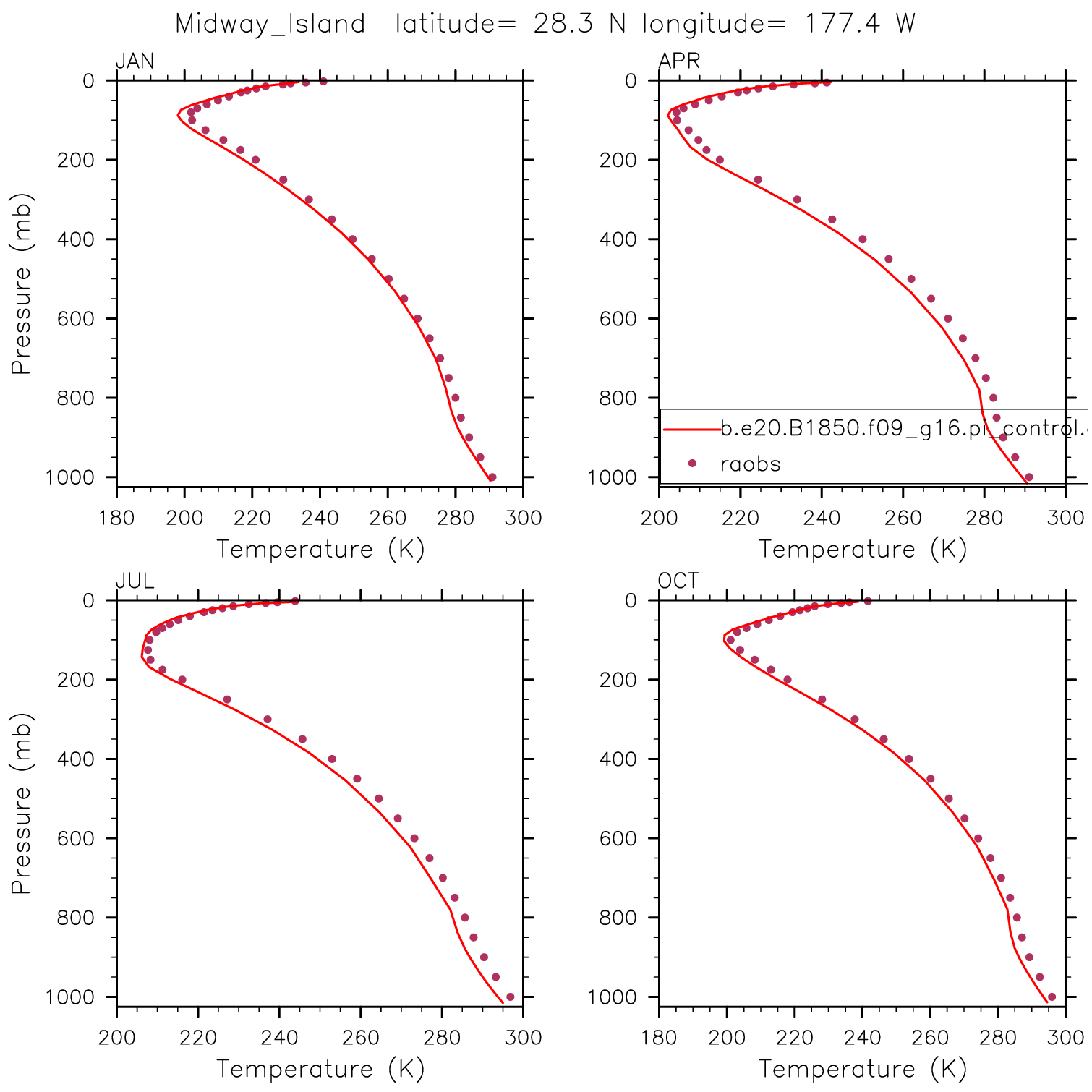
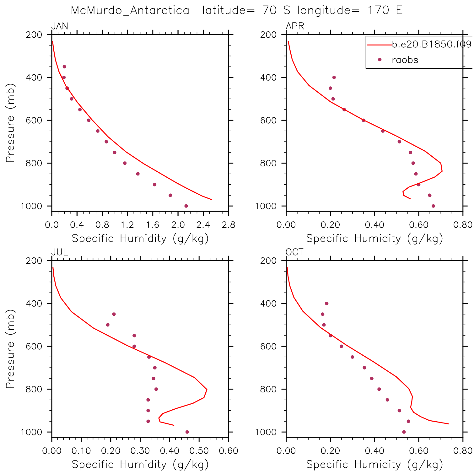
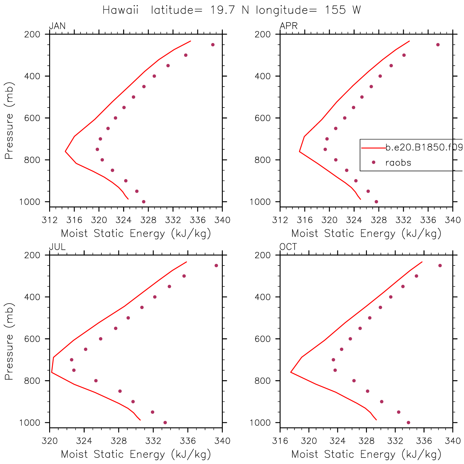
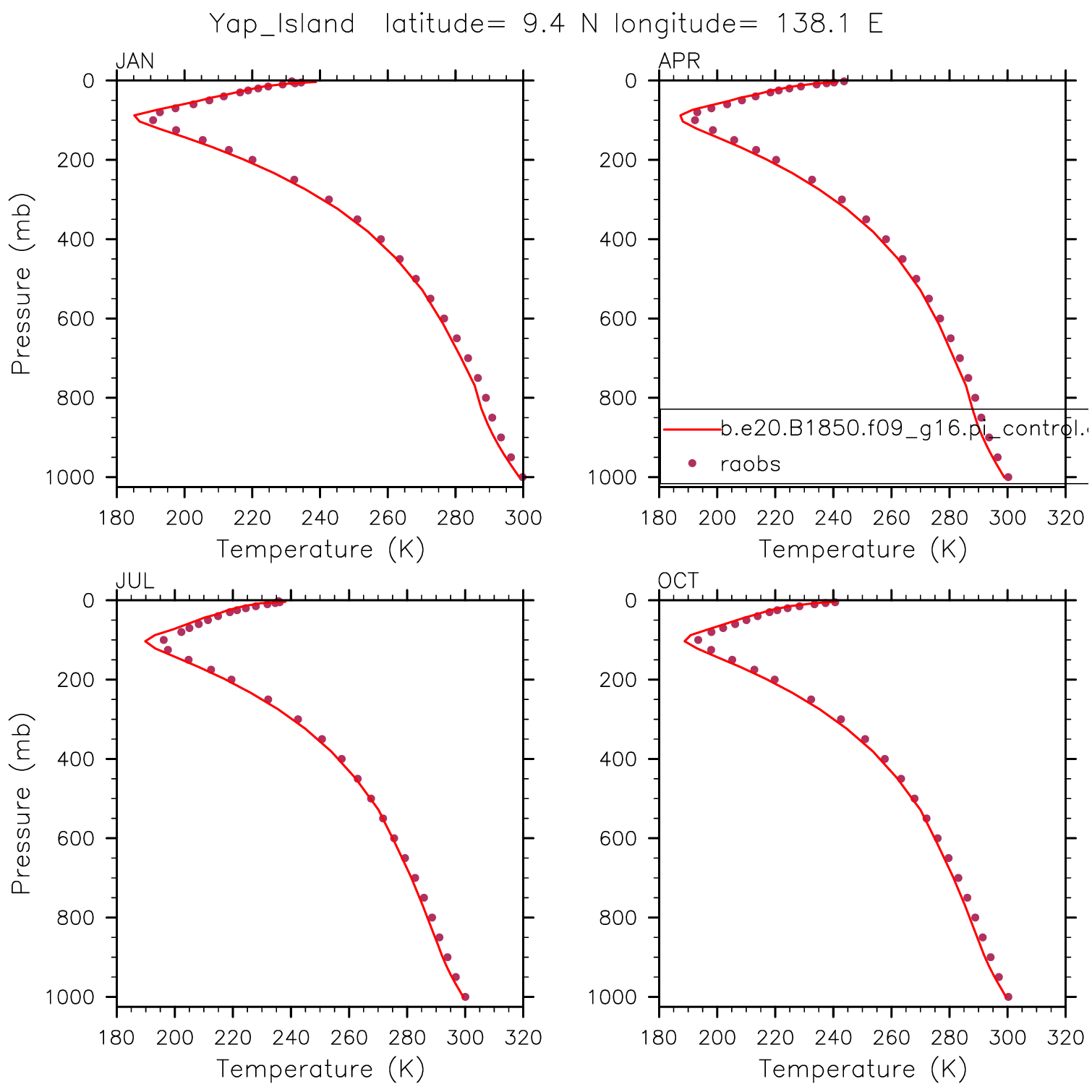
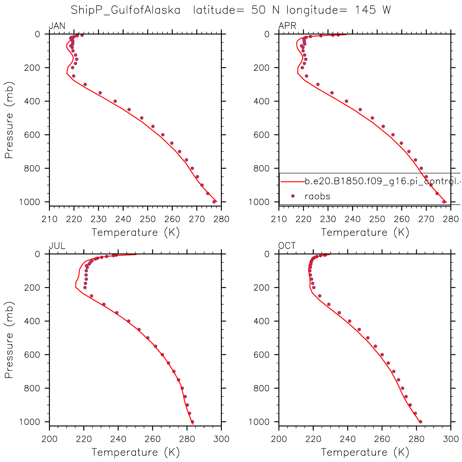
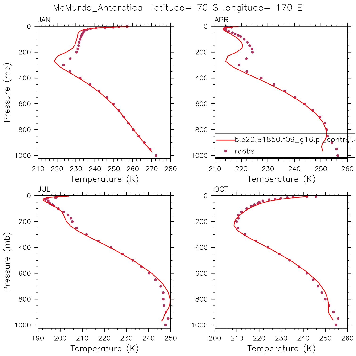
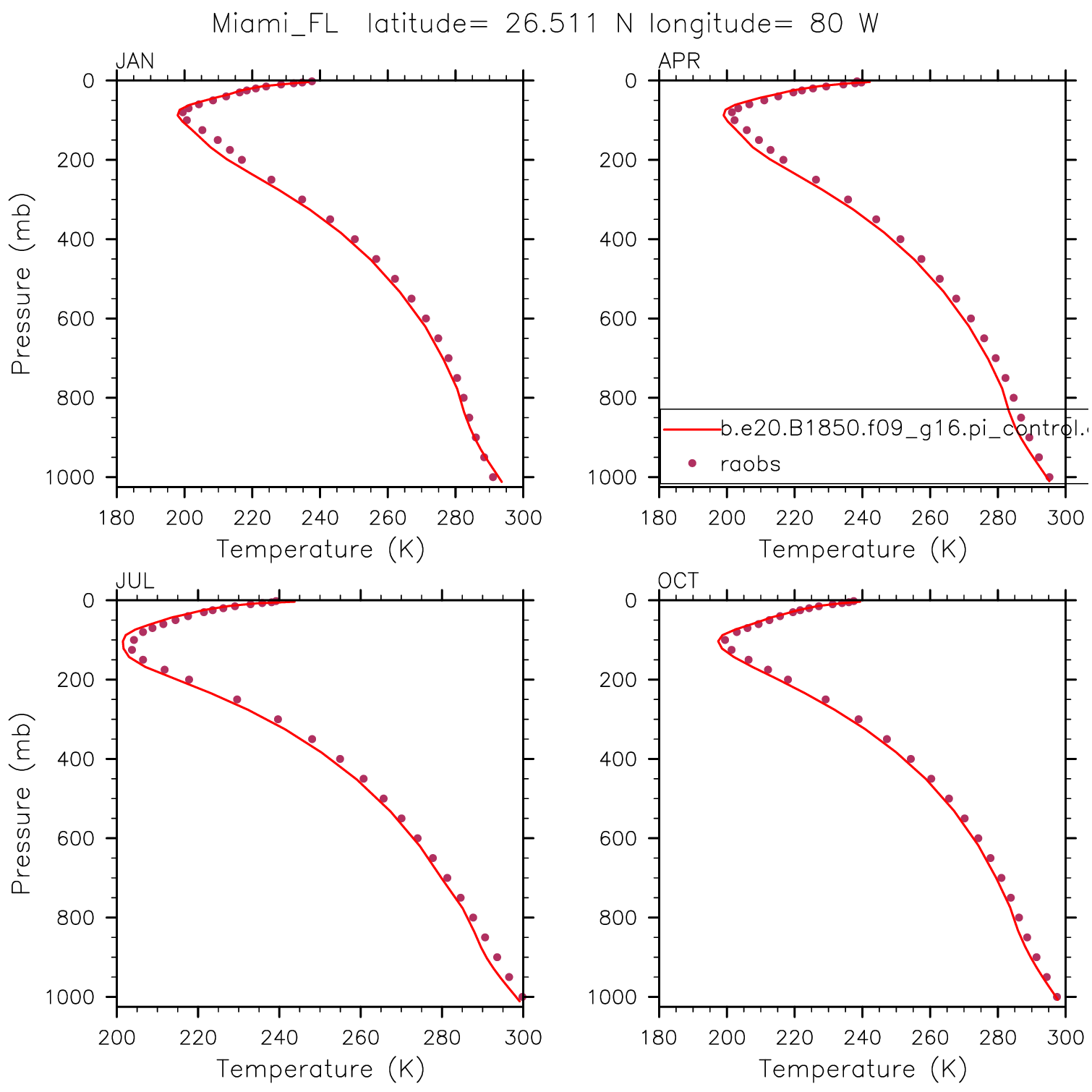
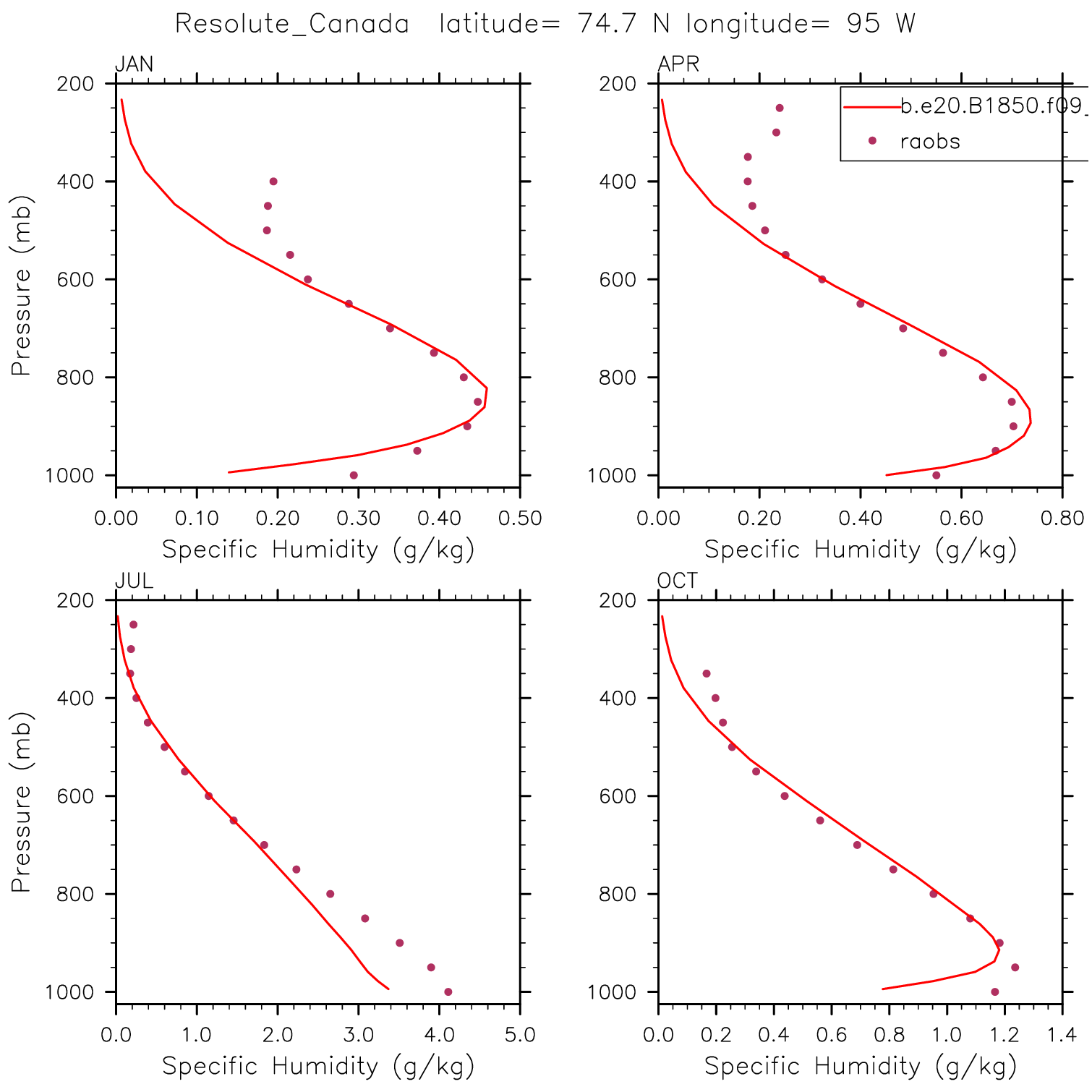
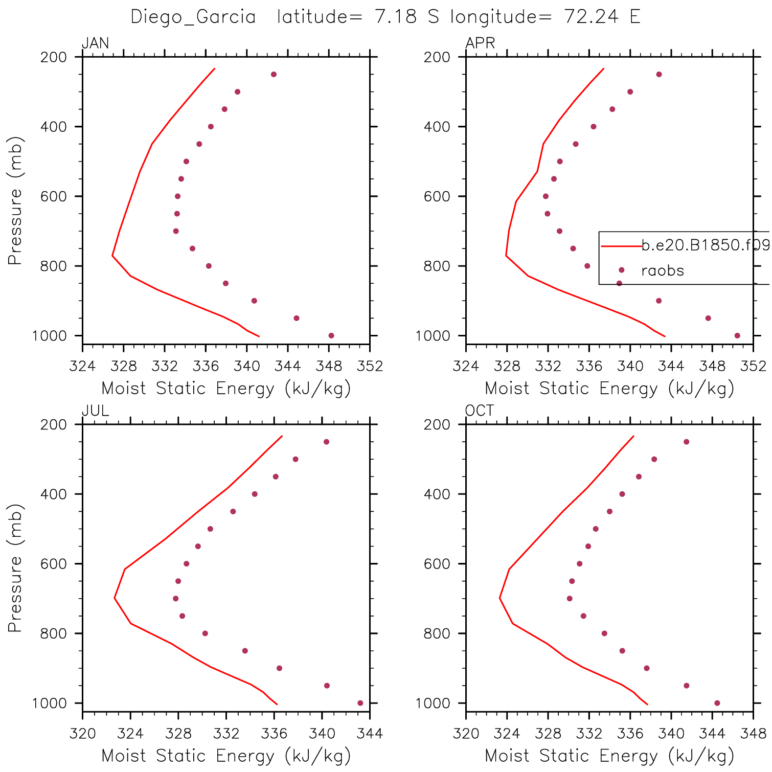
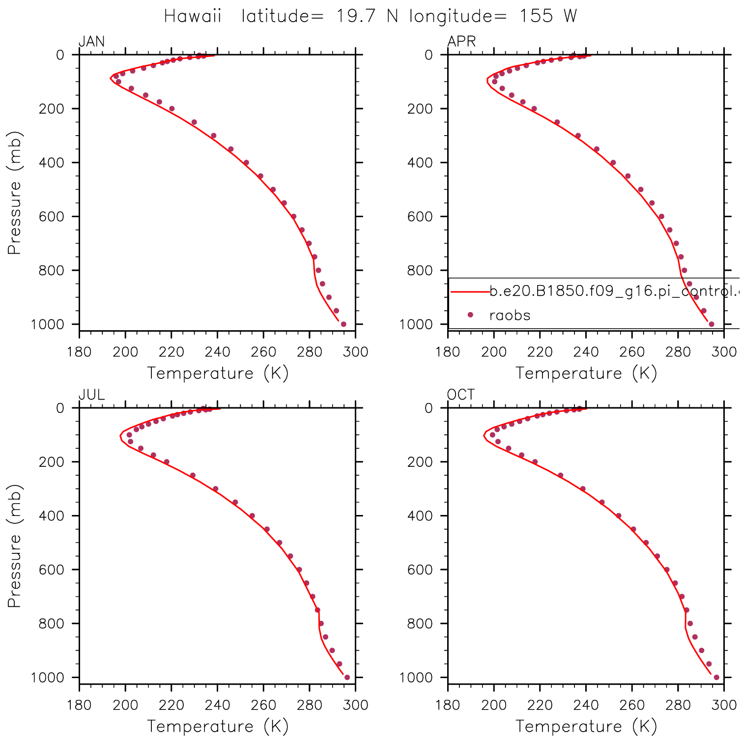
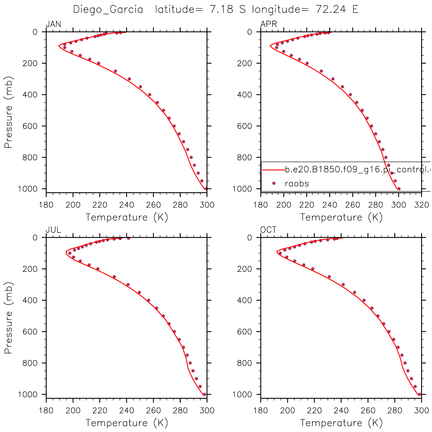
Set 12 - Vertical Profiles at 17 selected raobs stations


Station Name T Q H
Thule Greenland plot plot plot
Resolute NWT Canada plot plot plot
Ship P Gulf of Alaska plot plot plot
Midway Island (N Pacific) plot plot plot
Northern Great Plains USA plot plot plot
San Francisco Calif USA plot plot plot
Western Europe plot plot plot
Miami Florida USA plot plot plot
Panama Central America plot plot plot
Hawaii (Eq Pacific) plot plot plot
Marshall Islands (Eq Pacific) plot plot plot
Yap Island (Eq Pacific) plot plot plot
Truk Island (Eq Pacific) plot plot plot
Diego Garcia (Eq Indian) plot plot plot
Ascension Island (Eq Atlantic) plot plot plot
Easter Island (S Pacific) plot plot plot
McMurdo Antarctica plot plot plot