b.e21.B1850.f09_g17.124ka
and
b.e21.B1850.f09_g17.PMIP4-127ka.proto004.L2P1change
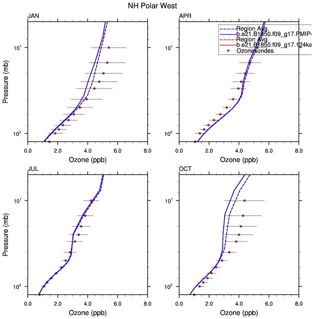
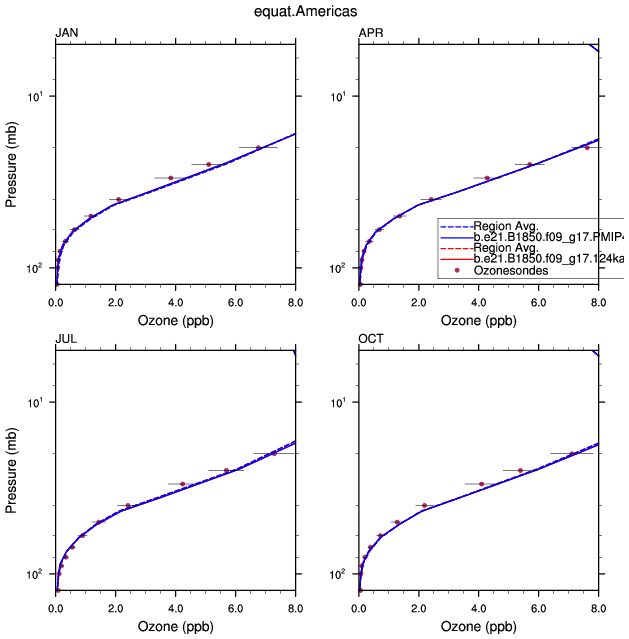
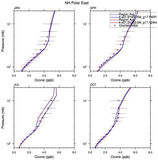
Set 3 Chemistry - Ozone Profiles and Seasonal Cycles for different Regions from selected Ozonesonde stations
| Region Name | Profiles (Trop) | Profiles (Strat) | Seasonal Cycle | Taylor Diagram |
|---|---|---|---|---|
| NH Polar West | plot | plot | plot | plot |
| NH Polar East | plot | plot | plot | |
| Canada | plot | plot | plot | |
| West Europe | plot | plot | plot | |
| Eastern US | plot | plot | plot | |
| Boulder | plot | plot | plot | |
| Japan | plot | plot | plot | |
| NH Sub-Tropics | plot | plot | plot | |
| WPacific/EIndian | plot | plot | plot | |
| equat.Americas | plot | plot | plot | |
| Atlantic/Africa | plot | plot | plot | |
| SH Mid-Latitudes | plot | plot | plot | |
| SH Polar | plot | plot | plot | |