set 3 b.e21.B1850.f09_g17.CMIP6-piControl.001
and
OBS data (info).

Back to diagnostic sets

DIAG Set 3 - Line plots of DJF, JJA and ANN zonal means



IPCC/CRU climatology 1961-90 DJF JJA ANN
TREFHT * 2-meter air temperature (land) plot plot plot






Willmott & Matsuura 1950-99 DJF JJA ANN
TREFHT * 2-meter air temperature (land) plot plot plot






Legates & Willmott 1920-80 DJF JJA ANN
PRECT * Precipitation rate plot plot plot
TREFHT * 2-meter air temperature plot plot plot






JRA25 Reanalysis 1979-2004 DJF JJA ANN
PREH2O * Total precipitable water plot plot plot
PSL * Sea level pressure plot plot plot
SHFLX Surface sensible heat flux plot plot plot
LHFLX Surface latent heat flux plot plot plot
TREFHT 2-meter air temperature plot plot plot






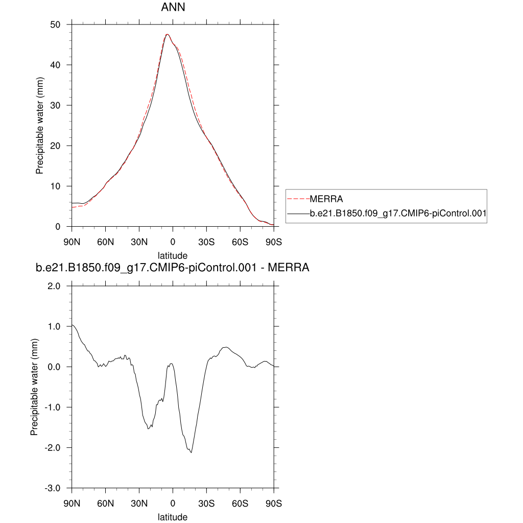
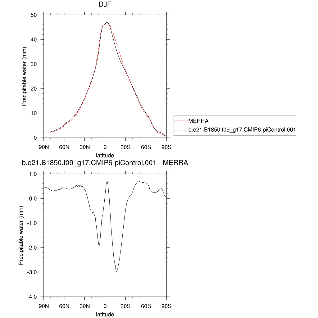
MERRA Analysis 1979-2013 (NASA) DJF JJA ANN
PREH2O * Precipitable water plot plot plot
PSL Sea level pressure plot plot plot






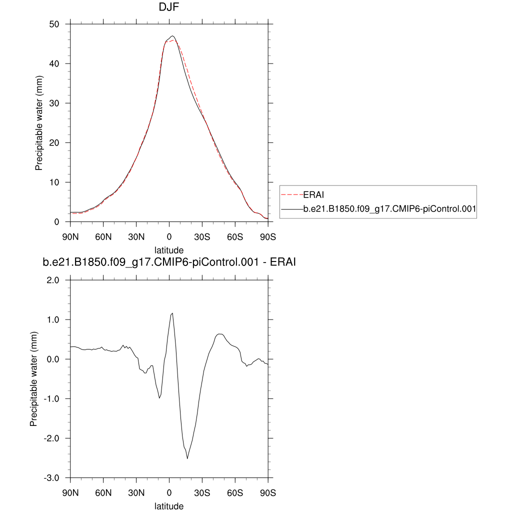
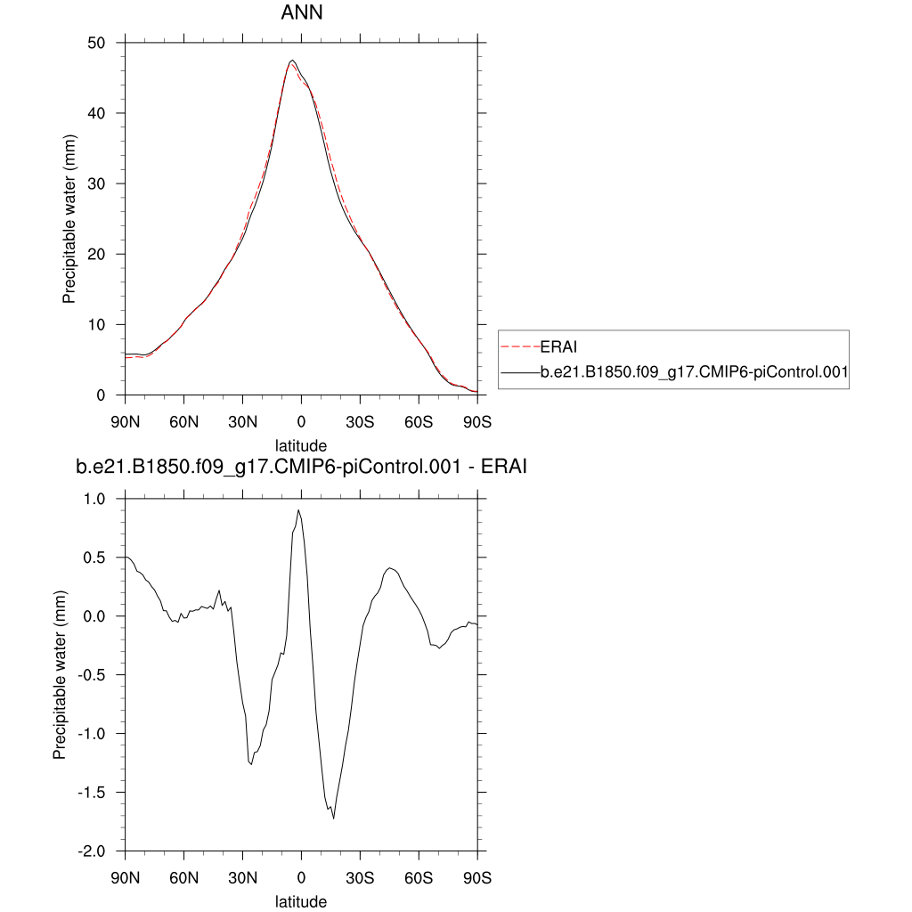
ERA-Interim Reanalysis 1989-2005 DJF JJA ANN
PREH2O * Precipitable water plot plot plot
PSL Sea level pressure plot plot plot






ERA40 Reanalysis 1980-2001 DJF JJA ANN
LHFLX Surface latent heat flux plot plot plot
PREH2O * Precipitable water plot plot plot






NVAP 1988-1999 DJF JJA ANN
PREH2O * Total precipitable water plot plot plot
TGCLDLWP Cloud liquid water (ocean) plot plot plot






AIRS IR Sounder 2002-06 DJF JJA ANN
PREH2O * Total precipitable water plot plot plot






Woods Hole OAFLUX 1958-2006 DJF JJA ANN
LHFLX Latent Heat Flux plot plot plot
QFLX Surface Water Flux plot plot plot






GPCP 1979-2009 DJF JJA ANN
PRECT * Precipitation rate plot plot plot






CMAP (Xie-Arkin) 1979-98 DJF JJA ANN
PRECT * Precipitation rate plot plot plot






UWisc (v3) 1988-2008 DJF JJA ANN
TGCLDLWP Cloud liquid water (ocean) plot plot plot






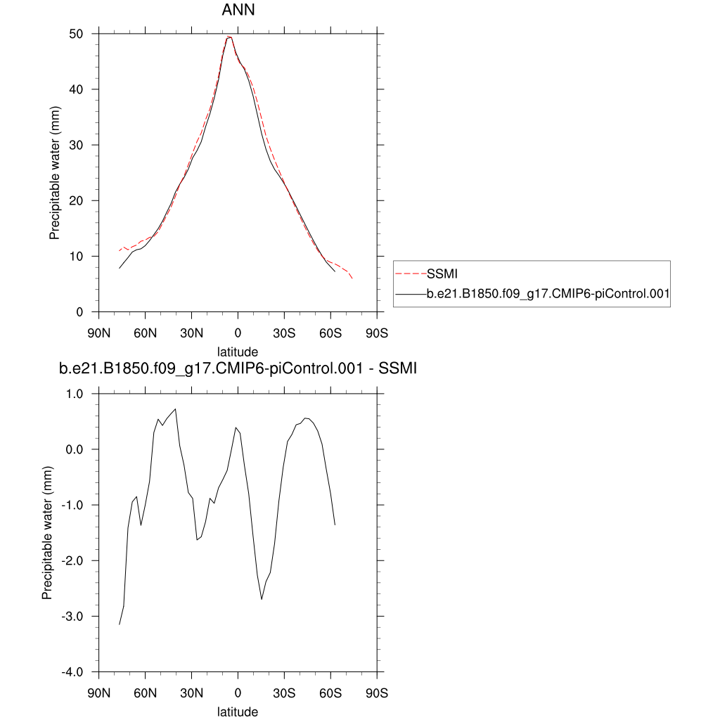
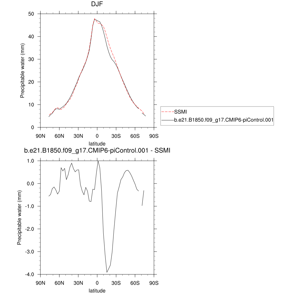
SSM/I (Wentz) 1987-2000 DJF JJA ANN
PRECT * Precipitation rate (ocean) plot plot plot
PREH2O * Total precipitable water (ocean) plot plot plot






TRMM (3B43) 1998-2009 DJF JJA ANN
PRECT * Precipitation rate plot plot plot






Large-Yeager 1984-2004 DJF JJA ANN
SHFLX Surface sensible heat flux plot plot plot
QFLX Surface water flux plot plot plot
FLNS Surf Net LW flux plot plot plot
FSNS Surf Net SW flux plot plot plot






CERES-EBAF March 2000-Feb 2013 DJF JJA ANN
FLUT * TOA upward LW flux plot plot plot
FLUTC * TOA clearsky upward LW flux plot plot plot
FSNTOA * TOA net SW flux plot plot plot
FSNTOAC * TOA clearsky net SW flux plot plot plot
LWCF * TOA longwave cloud forcing plot plot plot
SWCF * TOA shortwave cloud forcing plot plot plot






CERES 2000-2003 DJF JJA ANN
FLUT * TOA upward LW flux plot plot plot
FLUTC * TOA clearsky upward LW flux plot plot plot
FSNTOA * TOA net SW flux plot plot plot
FSNTOAC * TOA clearsky net SW flux plot plot plot
LWCF * TOA longwave cloud forcing plot plot plot
SWCF * TOA shortwave cloud forcing plot plot plot






ERBE Feb1985-Apr1989 DJF JJA ANN
FLUT * TOA upward longwave flux plot plot plot
FLUTC * TOA clearsky upward longwave flux plot plot plot
FSNTOA * TOA net shortwave flux plot plot plot
FSNTOAC * TOA clearsky net shortwave flux plot plot plot
LWCF * TOA longwave cloud forcing plot plot plot
SWCF * TOA shortwave cloud forcing plot plot plot






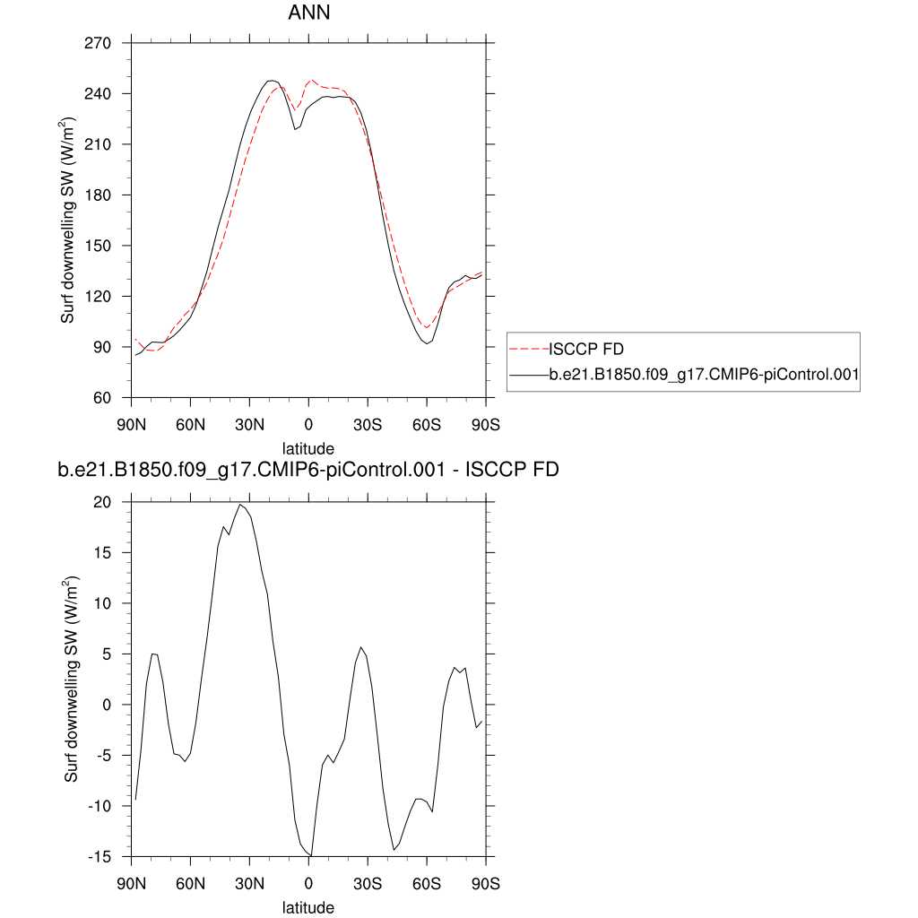
ISCCP FD Jul1983-Dec2000 DJF JJA ANN
FLDS Surf LW downwelling flux plot plot plot
FLDSC Clearsky Surf LW downwelling flux plot plot plot
FLNS Surf Net LW flux plot plot plot
FLNSC Clearsky Surf Net LW flux plot plot plot
FSDS Surf SW downwelling flux plot plot plot
FSDSC Clearsky Surf SW downwelling flux plot plot plot
FSNS Surf Net SW flux plot plot plot
FSNSC Clearsky Surf Net SW flux plot plot plot
LWCFSRF Surf LW cloud forcing plot plot plot
SWCFSRF Surf SW cloud forcing plot plot plot






ISCCP D2 1983-2001 DJF JJA ANN
CLDHGH (IR clouds) High cloud amount plot plot plot
CLDHGH (VIS/IR/NIR clouds) High cloud amount plot plot plot
CLDLOW (IR clouds) Low cloud amount plot plot plot
CLDLOW (VIS/IR/NIR clouds) Low cloud amount plot plot plot
CLDMED (IR clouds) Mid cloud amount plot plot plot
CLDMED (VIS/IR/NIR clouds) Mid cloud amount plot plot plot
CLDTOT (IR clouds) * Total cloud amount plot plot plot
CLDTOT (VIS/IR/NIR clouds) * Total cloud amount plot plot plot






Warren Cloud Surface OBS DJF JJA ANN
CLDLOW Low cloud amount plot plot plot
CLDTOT * Total cloud amount plot plot plot






CLOUDSAT (Radar+Lidar) Sep2006-Dec2010 DJF JJA ANN
CLDTOT * Total cloud amount plot plot plot
CLDLOW Low cloud amount plot plot plot
CLDMED Medium cloud amount plot plot plot
CLDHGH High cloud amount plot plot plot






CFMIP Observation Simulator Package (COSP) Primary Diagnostics

CALIPSO GOCCP 2007-2010 DJF JJA ANN
CLDTOT_CAL Total cloud amount plotplotplot
CLDLOW_CAL Low-level cloud amount plotplotplot
CLDMED_CAL Mid-level cloud amount plotplotplot
CLDHGH_CAL High-level cloud amount plotplotplot






ISCCP-COSP From D1 Daytime Jul1983-Jun2008 DJF JJA ANN
CLDTOT_ISCCPCOSP Total cloud amount (tau > 0.3) plotplotplot
CLDTHICK_ISCCPCOSP Optically thick cloud amount (tau > 23.0) plotplotplot






MISR L3 CTH-OD V5 Mar2000-Nov2009 DJF JJA ANN
CLDTOT_MISR Total cloud amount (tau > 0.3) plotplotplot
CLDTHICK_MISR Optically thick cloud amount (tau > 23.0) plotplotplot






MODIS-COSP 2003-2010 DJF JJA ANN
CLDTOT_MODIS Total cloud amount (tau > 0.3) plotplotplot
CLDTHICK_MODIS Optically thick cloud amount (tau > 23.0) plotplotplot






Additional COSP Diagnostics

CALIPSO GOCCP 2007-2010 DJF JJA ANN
CLDTOT_CAL Total cloud amount plotplotplot
CLDLOW_CAL Low-level cloud amount plotplotplot
CLDMED_CAL Mid-level cloud amount plotplotplot
CLDHGH_CAL High-level cloud amount plotplotplot






CLOUDSAT-COSP From Level 2 GEOPROF Jun2006-Nov2010 DJF JJA ANN
CLDTOT_CS2 Total cloud amount plotplotplot






ISCCP-COSP From D1 Daytime Jul1983-Jun2008 DJF JJA ANN
CLDTOT_ISCCPCOSP Total cloud amount (tau > 0.3) plotplotplot
CLDLOW_ISCCPCOSP Low-topped cloud amount (tau > 0.3) plotplotplot
CLDMED_ISCCPCOSP Mid-topped cloud amount (tau > 0.3) plotplotplot
CLDHGH_ISCCPCOSP High-topped cloud amount (tau > 0.3) plotplotplot
CLDTHICK_ISCCPCOSP Optically thick cloud amount (tau > 23.0) plotplotplot
MEANPTOP_ISCCPCOSP Mean cloud top pressure plotplotplot
MEANCLDALB_ISCCPCOSP Mean cloud albedo plotplotplot






MISR L3 CTH-OD V5 Mar2000-Nov2009 DJF JJA ANN
CLDTOT_MISR Total cloud amount (tau > 0.3) plotplotplot
CLDLOW_MISR Low-topped cloud amount (tau > 0.3) plotplotplot
CLDMED_MISR Mid-topped cloud amount (tau > 0.3) plotplotplot
CLDHGH_MISR High-topped cloud amount (tau > 0.3) plotplotplot
CLDTHICK_MISR Optically thick cloud amount (tau > 23.0) plotplotplot






MODIS-COSP 2003-2010 DJF JJA ANN
CLDTOT_MODIS Total cloud amount (tau > 0.3) plotplotplot
CLDLOW_MODIS Low-topped cloud amount (tau > 0.3) plotplotplot
CLDMED_MODIS Mid-topped cloud amount (tau > 0.3) plotplotplot
CLDHGH_MODIS High-topped cloud amount (tau > 0.3) plotplotplot
CLDTHICK_MODIS Optically thick cloud amount (tau > 23.0) plotplotplot
CLIMODIS Total ice cloud amount plotplotplot
CLWMODIS Total liquid cloud amount plotplotplot
IWPMODIS Mean ice water path plotplotplot
LWPMODIS Mean liquid water path plotplotplot
PCTMODIS Mean cloud top pressure plotplotplot
REFFCLIMODIS Mean effective radius (ice clouds) plotplotplot
REFFCLWMODIS Mean effective radius (liquid clouds) plotplotplot
TAUILOGMODIS Log-weighted mean optical thickness (ice clouds) plotplotplot
TAUWLOGMODIS Log-weighted mean optical thickness (liquid clouds) plotplotplot
TAUTLOGMODIS Log-weighted mean optical thickness (all clouds) plotplotplot
TAUIMODIS Mean optical thickness (ice clouds) plotplotplot
TAUWMODIS Mean optical thickness (liquid clouds) plotplotplot
TAUTMODIS Mean optical thickness (all clouds) plotplotplot

*WGNE diagnostic variable