Physics Tracers Full-Depth Averages

region global_no_ms 90S-44S ATL_44S-18S PAC_44S-18S IND_44S-18S ATL_18S-18N EPAC_18S-18N WPAC_18S-18N IND_18S-30N ATL_18N-49N PAC_18N-49N ATL_49N-66N PAC_49N-66N ARC_66N-90N LabSea
TEMP all all all all all all all all all all all all all all all
SALT all all all all all all all all all all all all all all all


Physics Tracers Time-Depth Contour Figures

region global_no_ms 90S-44S ATL_44S-18S PAC_44S-18S IND_44S-18S ATL_18S-18N EPAC_18S-18N WPAC_18S-18N IND_18S-30N ATL_18N-49N PAC_18N-49N ATL_49N-66N PAC_49N-66N ARC_66N-90N LabSea
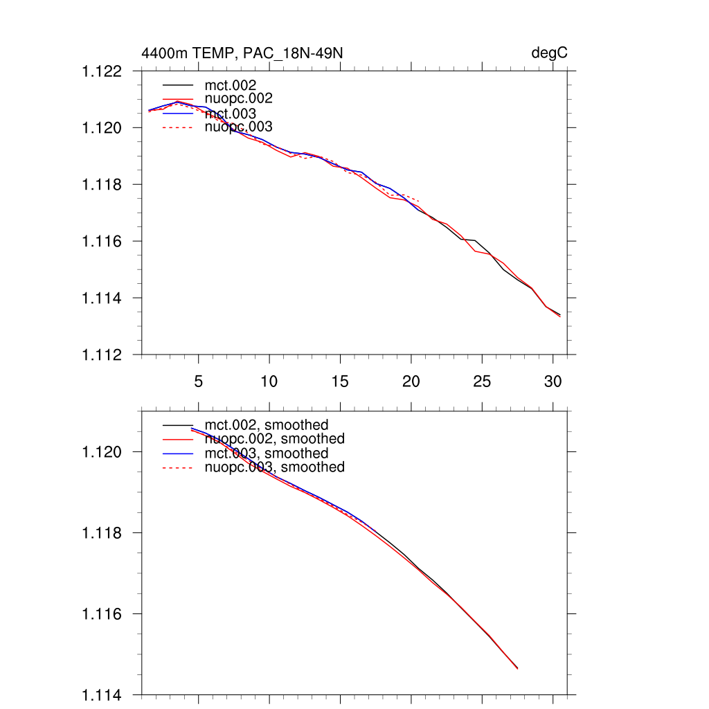
TEMP mct.002 nuopc.002 mct.003 nuopc.003 mct.002 nuopc.002 mct.003 nuopc.003 mct.002 nuopc.002 mct.003 nuopc.003 mct.002 nuopc.002 mct.003 nuopc.003 mct.002 nuopc.002 mct.003 nuopc.003 mct.002 nuopc.002 mct.003 nuopc.003 mct.002 nuopc.002 mct.003 nuopc.003 mct.002 nuopc.002 mct.003 nuopc.003 mct.002 nuopc.002 mct.003 nuopc.003 mct.002 nuopc.002 mct.003 nuopc.003 mct.002 nuopc.002 mct.003 nuopc.003 mct.002 nuopc.002 mct.003 nuopc.003 mct.002 nuopc.002 mct.003 nuopc.003 mct.002 nuopc.002 mct.003 nuopc.003 mct.002 nuopc.002 mct.003 nuopc.003
TEMP.anom mct.002 nuopc.002 mct.003 nuopc.003 mct.002 nuopc.002 mct.003 nuopc.003 mct.002 nuopc.002 mct.003 nuopc.003 mct.002 nuopc.002 mct.003 nuopc.003 mct.002 nuopc.002 mct.003 nuopc.003 mct.002 nuopc.002 mct.003 nuopc.003 mct.002 nuopc.002 mct.003 nuopc.003 mct.002 nuopc.002 mct.003 nuopc.003 mct.002 nuopc.002 mct.003 nuopc.003 mct.002 nuopc.002 mct.003 nuopc.003 mct.002 nuopc.002 mct.003 nuopc.003 mct.002 nuopc.002 mct.003 nuopc.003 mct.002 nuopc.002 mct.003 nuopc.003 mct.002 nuopc.002 mct.003 nuopc.003 mct.002 nuopc.002 mct.003 nuopc.003
SALT mct.002 nuopc.002 mct.003 nuopc.003 mct.002 nuopc.002 mct.003 nuopc.003 mct.002 nuopc.002 mct.003 nuopc.003 mct.002 nuopc.002 mct.003 nuopc.003 mct.002 nuopc.002 mct.003 nuopc.003 mct.002 nuopc.002 mct.003 nuopc.003 mct.002 nuopc.002 mct.003 nuopc.003 mct.002 nuopc.002 mct.003 nuopc.003 mct.002 nuopc.002 mct.003 nuopc.003 mct.002 nuopc.002 mct.003 nuopc.003 mct.002 nuopc.002 mct.003 nuopc.003 mct.002 nuopc.002 mct.003 nuopc.003 mct.002 nuopc.002 mct.003 nuopc.003 mct.002 nuopc.002 mct.003 nuopc.003 mct.002 nuopc.002 mct.003 nuopc.003
SALT.anom mct.002 nuopc.002 mct.003 nuopc.003 mct.002 nuopc.002 mct.003 nuopc.003 mct.002 nuopc.002 mct.003 nuopc.003 mct.002 nuopc.002 mct.003 nuopc.003 mct.002 nuopc.002 mct.003 nuopc.003 mct.002 nuopc.002 mct.003 nuopc.003 mct.002 nuopc.002 mct.003 nuopc.003 mct.002 nuopc.002 mct.003 nuopc.003 mct.002 nuopc.002 mct.003 nuopc.003 mct.002 nuopc.002 mct.003 nuopc.003 mct.002 nuopc.002 mct.003 nuopc.003 mct.002 nuopc.002 mct.003 nuopc.003 mct.002 nuopc.002 mct.003 nuopc.003 mct.002 nuopc.002 mct.003 nuopc.003 mct.002 nuopc.002 mct.003 nuopc.003


Physics Tracers Averages on Depth Surfaces and Ranges

region depth global_no_ms 90S-44S ATL_44S-18S PAC_44S-18S IND_44S-18S ATL_18S-18N EPAC_18S-18N WPAC_18S-18N IND_18S-30N ATL_18N-49N PAC_18N-49N ATL_49N-66N PAC_49N-66N ARC_66N-90N LabSea
TEMP 0m all all all all all all all all all all all all all all all
TEMP 105m all all all all all all all all all all all all all all all
TEMP 350m all all all all all all all all all all all all all all all
TEMP 800m all all all all all all all all all all all all all all all
TEMP 1600m all all all all all all all all all all all all all all all
TEMP 2400m all all all all all all all all all all all all all all all
TEMP 4400m all all all all all all all all all all all all all all all
TEMP 0m_300m all all all all all all all all all all all all all all all
TEMP 0m_700m all all all all all all all all all all all all all all all
TEMP 300m_700m all all all all all all all all all all all all all all all
TEMP 0m_2000m all all all all all all all all all all all all all all all
region depth global_no_ms 90S-44S ATL_44S-18S PAC_44S-18S IND_44S-18S ATL_18S-18N EPAC_18S-18N WPAC_18S-18N IND_18S-30N ATL_18N-49N PAC_18N-49N ATL_49N-66N PAC_49N-66N ARC_66N-90N LabSea
SALT 0m all all all all all all all all all all all all all all all
SALT 105m all all all all all all all all all all all all all all all
SALT 350m all all all all all all all all all all all all all all all
SALT 800m all all all all all all all all all all all all all all all
SALT 1600m all all all all all all all all all all all all all all all
SALT 2400m all all all all all all all all all all all all all all all
SALT 4400m all all all all all all all all all all all all all all all
SALT 0m_300m all all all all all all all all all all all all all all all
SALT 0m_700m all all all all all all all all all all all all all all all
SALT 300m_700m all all all all all all all all all all all all all all all
SALT 0m_2000m all all all all all all all all all all all all all all all


Physics 2D Variables Averages

region global_no_ms 90S-44S ATL_44S-18S PAC_44S-18S IND_44S-18S ATL_18S-18N EPAC_18S-18N WPAC_18S-18N IND_18S-30N ATL_18N-49N PAC_18N-49N ATL_49N-66N PAC_49N-66N ARC_66N-90N LabSea
HMXL all all all all all all all all all all all all all all all
HBLT all all all all all all all all all all all all all all all
XMXL all all all all all all all all all all all all all all all
XBLT all all all all all all all all all all all all all all all
IFRAC all all all all all all all all all all all all all all all
SHF_TOTAL all all all all all all all all all all all all all all all
SENH_F all all all all all all all all all all all all all all all
LWDN_F all all all all all all all all all all all all all all all
LWUP_F all all all all all all all all all all all all all all all
SHF_QSW all all all all all all all all all all all all all all all
QFLUX all all all all all all all all all all all all all all all
SFWF all all all all all all all all all all all all all all all
EVAP_F all all all all all all all all all all all all all all all
PREC_F all all all all all all all all all all all all all all all
MELT_F all all all all all all all all all all all all all all all
ROFF_F all all all all all all all all all all all all all all all
IOFF_F all all all all all all all all all all all all all all all
SALT_F all all all all all all all all all all all all all all all
ACC all all all all all all all all all all all all all all all


Passive Tracers Full-Depth Averages

region global_no_ms 90S-44S ATL_44S-18S PAC_44S-18S IND_44S-18S ATL_18S-18N EPAC_18S-18N WPAC_18S-18N IND_18S-30N ATL_18N-49N PAC_18N-49N ATL_49N-66N PAC_49N-66N ARC_66N-90N LabSea
IAGE all all all all all all all all all all all all all all all
NO3 all all all all all all all all all all all all all all all
NH4 all all all all all all all all all all all all all all all
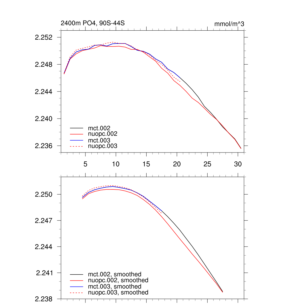
PO4 all all all all all all all all all all all all all all all
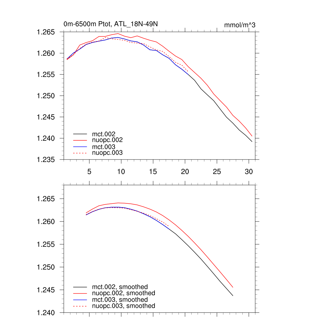
Ptot all all all all all all all all all all all all all all all
SiO3 all all all all all all all all all all all all all all all
O2 all all all all all all all all all all all all all all all
AOU all all all all all all all all all all all all all all all
Fe all all all all all all all all all all all all all all all
DIC all all all all all all all all all all all all all all all
DIC_ANTH all all all all all all all all all all all all all all all
ALK all all all all all all all all all all all all all all all
ALKpNO3 all all all all all all all all all all all all all all all
DOC all all all all all all all all all all all all all all all
DOCr all all all all all all all all all all all all all all all
DOP all all all all all all all all all all all all all all all
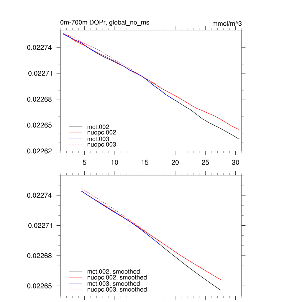
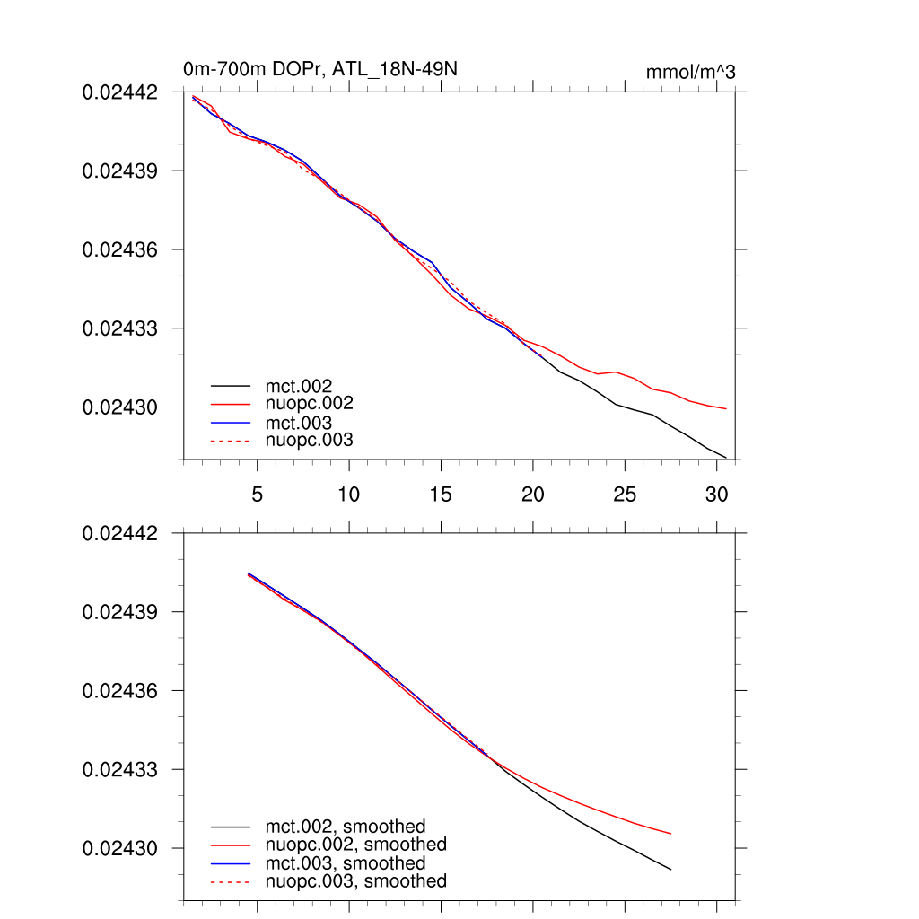
DOPr all all all all all all all all all all all all all all all


Passive Tracers Time-Depth Contour Figures

region global_no_ms 90S-44S ATL_44S-18S PAC_44S-18S IND_44S-18S ATL_18S-18N EPAC_18S-18N WPAC_18S-18N IND_18S-30N ATL_18N-49N PAC_18N-49N ATL_49N-66N PAC_49N-66N ARC_66N-90N LabSea
IAGE mct.002 nuopc.002 mct.003 nuopc.003 mct.002 nuopc.002 mct.003 nuopc.003 mct.002 nuopc.002 mct.003 nuopc.003 mct.002 nuopc.002 mct.003 nuopc.003 mct.002 nuopc.002 mct.003 nuopc.003 mct.002 nuopc.002 mct.003 nuopc.003 mct.002 nuopc.002 mct.003 nuopc.003 mct.002 nuopc.002 mct.003 nuopc.003 mct.002 nuopc.002 mct.003 nuopc.003 mct.002 nuopc.002 mct.003 nuopc.003 mct.002 nuopc.002 mct.003 nuopc.003 mct.002 nuopc.002 mct.003 nuopc.003 mct.002 nuopc.002 mct.003 nuopc.003 mct.002 nuopc.002 mct.003 nuopc.003 mct.002 nuopc.002 mct.003 nuopc.003
IAGE.anom mct.002 nuopc.002 mct.003 nuopc.003 mct.002 nuopc.002 mct.003 nuopc.003 mct.002 nuopc.002 mct.003 nuopc.003 mct.002 nuopc.002 mct.003 nuopc.003 mct.002 nuopc.002 mct.003 nuopc.003 mct.002 nuopc.002 mct.003 nuopc.003 mct.002 nuopc.002 mct.003 nuopc.003 mct.002 nuopc.002 mct.003 nuopc.003 mct.002 nuopc.002 mct.003 nuopc.003 mct.002 nuopc.002 mct.003 nuopc.003 mct.002 nuopc.002 mct.003 nuopc.003 mct.002 nuopc.002 mct.003 nuopc.003 mct.002 nuopc.002 mct.003 nuopc.003 mct.002 nuopc.002 mct.003 nuopc.003 mct.002 nuopc.002 mct.003 nuopc.003
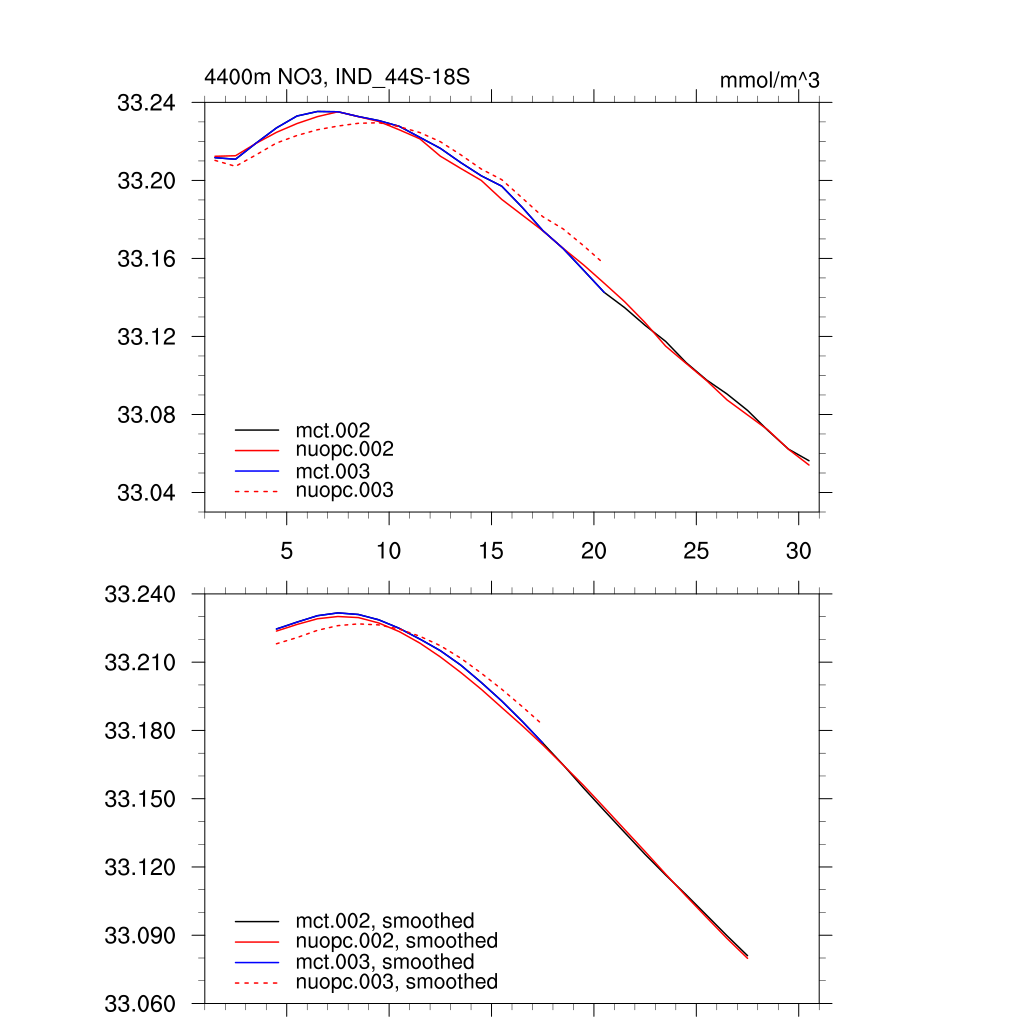
NO3 mct.002 nuopc.002 mct.003 nuopc.003 mct.002 nuopc.002 mct.003 nuopc.003 mct.002 nuopc.002 mct.003 nuopc.003 mct.002 nuopc.002 mct.003 nuopc.003 mct.002 nuopc.002 mct.003 nuopc.003 mct.002 nuopc.002 mct.003 nuopc.003 mct.002 nuopc.002 mct.003 nuopc.003 mct.002 nuopc.002 mct.003 nuopc.003 mct.002 nuopc.002 mct.003 nuopc.003 mct.002 nuopc.002 mct.003 nuopc.003 mct.002 nuopc.002 mct.003 nuopc.003 mct.002 nuopc.002 mct.003 nuopc.003 mct.002 nuopc.002 mct.003 nuopc.003 mct.002 nuopc.002 mct.003 nuopc.003 mct.002 nuopc.002 mct.003 nuopc.003
NO3.bias mct.002 nuopc.002 mct.003 nuopc.003 mct.002 nuopc.002 mct.003 nuopc.003 mct.002 nuopc.002 mct.003 nuopc.003 mct.002 nuopc.002 mct.003 nuopc.003 mct.002 nuopc.002 mct.003 nuopc.003 mct.002 nuopc.002 mct.003 nuopc.003 mct.002 nuopc.002 mct.003 nuopc.003 mct.002 nuopc.002 mct.003 nuopc.003 mct.002 nuopc.002 mct.003 nuopc.003 mct.002 nuopc.002 mct.003 nuopc.003 mct.002 nuopc.002 mct.003 nuopc.003 mct.002 nuopc.002 mct.003 nuopc.003 mct.002 nuopc.002 mct.003 nuopc.003 mct.002 nuopc.002 mct.003 nuopc.003 mct.002 nuopc.002 mct.003 nuopc.003
NH4 mct.002 nuopc.002 mct.003 nuopc.003 mct.002 nuopc.002 mct.003 nuopc.003 mct.002 nuopc.002 mct.003 nuopc.003 mct.002 nuopc.002 mct.003 nuopc.003 mct.002 nuopc.002 mct.003 nuopc.003 mct.002 nuopc.002 mct.003 nuopc.003 mct.002 nuopc.002 mct.003 nuopc.003 mct.002 nuopc.002 mct.003 nuopc.003 mct.002 nuopc.002 mct.003 nuopc.003 mct.002 nuopc.002 mct.003 nuopc.003 mct.002 nuopc.002 mct.003 nuopc.003 mct.002 nuopc.002 mct.003 nuopc.003 mct.002 nuopc.002 mct.003 nuopc.003 mct.002 nuopc.002 mct.003 nuopc.003 mct.002 nuopc.002 mct.003 nuopc.003
PO4 mct.002 nuopc.002 mct.003 nuopc.003 mct.002 nuopc.002 mct.003 nuopc.003 mct.002 nuopc.002 mct.003 nuopc.003 mct.002 nuopc.002 mct.003 nuopc.003 mct.002 nuopc.002 mct.003 nuopc.003 mct.002 nuopc.002 mct.003 nuopc.003 mct.002 nuopc.002 mct.003 nuopc.003 mct.002 nuopc.002 mct.003 nuopc.003 mct.002 nuopc.002 mct.003 nuopc.003 mct.002 nuopc.002 mct.003 nuopc.003 mct.002 nuopc.002 mct.003 nuopc.003 mct.002 nuopc.002 mct.003 nuopc.003 mct.002 nuopc.002 mct.003 nuopc.003 mct.002 nuopc.002 mct.003 nuopc.003 mct.002 nuopc.002 mct.003 nuopc.003
PO4.bias mct.002 nuopc.002 mct.003 nuopc.003 mct.002 nuopc.002 mct.003 nuopc.003 mct.002 nuopc.002 mct.003 nuopc.003 mct.002 nuopc.002 mct.003 nuopc.003 mct.002 nuopc.002 mct.003 nuopc.003 mct.002 nuopc.002 mct.003 nuopc.003 mct.002 nuopc.002 mct.003 nuopc.003 mct.002 nuopc.002 mct.003 nuopc.003 mct.002 nuopc.002 mct.003 nuopc.003 mct.002 nuopc.002 mct.003 nuopc.003 mct.002 nuopc.002 mct.003 nuopc.003 mct.002 nuopc.002 mct.003 nuopc.003 mct.002 nuopc.002 mct.003 nuopc.003 mct.002 nuopc.002 mct.003 nuopc.003 mct.002 nuopc.002 mct.003 nuopc.003
Ptot mct.002 nuopc.002 mct.003 nuopc.003 mct.002 nuopc.002 mct.003 nuopc.003 mct.002 nuopc.002 mct.003 nuopc.003 mct.002 nuopc.002 mct.003 nuopc.003 mct.002 nuopc.002 mct.003 nuopc.003 mct.002 nuopc.002 mct.003 nuopc.003 mct.002 nuopc.002 mct.003 nuopc.003 mct.002 nuopc.002 mct.003 nuopc.003 mct.002 nuopc.002 mct.003 nuopc.003 mct.002 nuopc.002 mct.003 nuopc.003 mct.002 nuopc.002 mct.003 nuopc.003 mct.002 nuopc.002 mct.003 nuopc.003 mct.002 nuopc.002 mct.003 nuopc.003 mct.002 nuopc.002 mct.003 nuopc.003 mct.002 nuopc.002 mct.003 nuopc.003
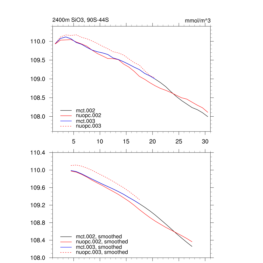
SiO3 mct.002 nuopc.002 mct.003 nuopc.003 mct.002 nuopc.002 mct.003 nuopc.003 mct.002 nuopc.002 mct.003 nuopc.003 mct.002 nuopc.002 mct.003 nuopc.003 mct.002 nuopc.002 mct.003 nuopc.003 mct.002 nuopc.002 mct.003 nuopc.003 mct.002 nuopc.002 mct.003 nuopc.003 mct.002 nuopc.002 mct.003 nuopc.003 mct.002 nuopc.002 mct.003 nuopc.003 mct.002 nuopc.002 mct.003 nuopc.003 mct.002 nuopc.002 mct.003 nuopc.003 mct.002 nuopc.002 mct.003 nuopc.003 mct.002 nuopc.002 mct.003 nuopc.003 mct.002 nuopc.002 mct.003 nuopc.003 mct.002 nuopc.002 mct.003 nuopc.003
SiO3.bias mct.002 nuopc.002 mct.003 nuopc.003 mct.002 nuopc.002 mct.003 nuopc.003 mct.002 nuopc.002 mct.003 nuopc.003 mct.002 nuopc.002 mct.003 nuopc.003 mct.002 nuopc.002 mct.003 nuopc.003 mct.002 nuopc.002 mct.003 nuopc.003 mct.002 nuopc.002 mct.003 nuopc.003 mct.002 nuopc.002 mct.003 nuopc.003 mct.002 nuopc.002 mct.003 nuopc.003 mct.002 nuopc.002 mct.003 nuopc.003 mct.002 nuopc.002 mct.003 nuopc.003 mct.002 nuopc.002 mct.003 nuopc.003 mct.002 nuopc.002 mct.003 nuopc.003 mct.002 nuopc.002 mct.003 nuopc.003 mct.002 nuopc.002 mct.003 nuopc.003
O2 mct.002 nuopc.002 mct.003 nuopc.003 mct.002 nuopc.002 mct.003 nuopc.003 mct.002 nuopc.002 mct.003 nuopc.003 mct.002 nuopc.002 mct.003 nuopc.003 mct.002 nuopc.002 mct.003 nuopc.003 mct.002 nuopc.002 mct.003 nuopc.003 mct.002 nuopc.002 mct.003 nuopc.003 mct.002 nuopc.002 mct.003 nuopc.003 mct.002 nuopc.002 mct.003 nuopc.003 mct.002 nuopc.002 mct.003 nuopc.003 mct.002 nuopc.002 mct.003 nuopc.003 mct.002 nuopc.002 mct.003 nuopc.003 mct.002 nuopc.002 mct.003 nuopc.003 mct.002 nuopc.002 mct.003 nuopc.003 mct.002 nuopc.002 mct.003 nuopc.003
O2.bias mct.002 nuopc.002 mct.003 nuopc.003 mct.002 nuopc.002 mct.003 nuopc.003 mct.002 nuopc.002 mct.003 nuopc.003 mct.002 nuopc.002 mct.003 nuopc.003 mct.002 nuopc.002 mct.003 nuopc.003 mct.002 nuopc.002 mct.003 nuopc.003 mct.002 nuopc.002 mct.003 nuopc.003 mct.002 nuopc.002 mct.003 nuopc.003 mct.002 nuopc.002 mct.003 nuopc.003 mct.002 nuopc.002 mct.003 nuopc.003 mct.002 nuopc.002 mct.003 nuopc.003 mct.002 nuopc.002 mct.003 nuopc.003 mct.002 nuopc.002 mct.003 nuopc.003 mct.002 nuopc.002 mct.003 nuopc.003 mct.002 nuopc.002 mct.003 nuopc.003
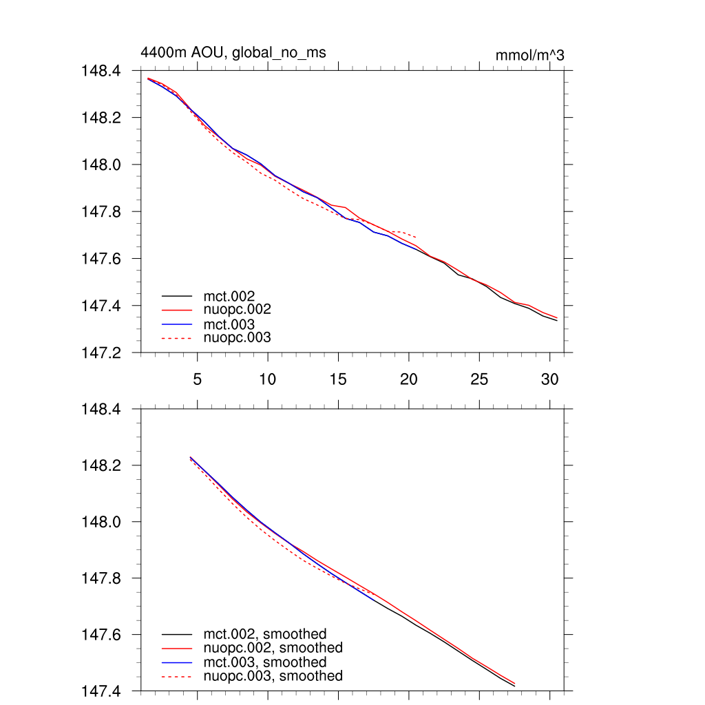
AOU mct.002 nuopc.002 mct.003 nuopc.003 mct.002 nuopc.002 mct.003 nuopc.003 mct.002 nuopc.002 mct.003 nuopc.003 mct.002 nuopc.002 mct.003 nuopc.003 mct.002 nuopc.002 mct.003 nuopc.003 mct.002 nuopc.002 mct.003 nuopc.003 mct.002 nuopc.002 mct.003 nuopc.003 mct.002 nuopc.002 mct.003 nuopc.003 mct.002 nuopc.002 mct.003 nuopc.003 mct.002 nuopc.002 mct.003 nuopc.003 mct.002 nuopc.002 mct.003 nuopc.003 mct.002 nuopc.002 mct.003 nuopc.003 mct.002 nuopc.002 mct.003 nuopc.003 mct.002 nuopc.002 mct.003 nuopc.003 mct.002 nuopc.002 mct.003 nuopc.003
AOU.anom mct.002 nuopc.002 mct.003 nuopc.003 mct.002 nuopc.002 mct.003 nuopc.003 mct.002 nuopc.002 mct.003 nuopc.003 mct.002 nuopc.002 mct.003 nuopc.003 mct.002 nuopc.002 mct.003 nuopc.003 mct.002 nuopc.002 mct.003 nuopc.003 mct.002 nuopc.002 mct.003 nuopc.003 mct.002 nuopc.002 mct.003 nuopc.003 mct.002 nuopc.002 mct.003 nuopc.003 mct.002 nuopc.002 mct.003 nuopc.003 mct.002 nuopc.002 mct.003 nuopc.003 mct.002 nuopc.002 mct.003 nuopc.003 mct.002 nuopc.002 mct.003 nuopc.003 mct.002 nuopc.002 mct.003 nuopc.003 mct.002 nuopc.002 mct.003 nuopc.003
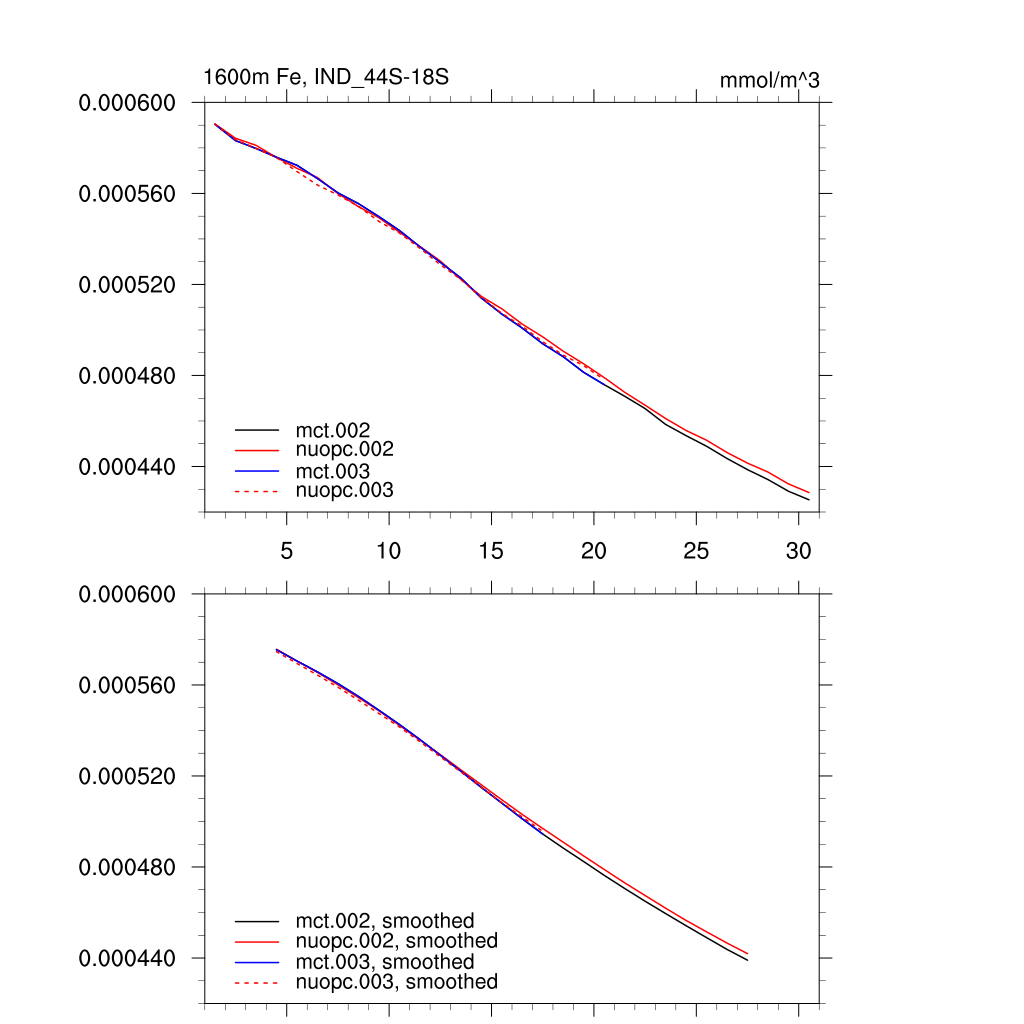
Fe mct.002 nuopc.002 mct.003 nuopc.003 mct.002 nuopc.002 mct.003 nuopc.003 mct.002 nuopc.002 mct.003 nuopc.003 mct.002 nuopc.002 mct.003 nuopc.003 mct.002 nuopc.002 mct.003 nuopc.003 mct.002 nuopc.002 mct.003 nuopc.003 mct.002 nuopc.002 mct.003 nuopc.003 mct.002 nuopc.002 mct.003 nuopc.003 mct.002 nuopc.002 mct.003 nuopc.003 mct.002 nuopc.002 mct.003 nuopc.003 mct.002 nuopc.002 mct.003 nuopc.003 mct.002 nuopc.002 mct.003 nuopc.003 mct.002 nuopc.002 mct.003 nuopc.003 mct.002 nuopc.002 mct.003 nuopc.003 mct.002 nuopc.002 mct.003 nuopc.003
DIC mct.002 nuopc.002 mct.003 nuopc.003 mct.002 nuopc.002 mct.003 nuopc.003 mct.002 nuopc.002 mct.003 nuopc.003 mct.002 nuopc.002 mct.003 nuopc.003 mct.002 nuopc.002 mct.003 nuopc.003 mct.002 nuopc.002 mct.003 nuopc.003 mct.002 nuopc.002 mct.003 nuopc.003 mct.002 nuopc.002 mct.003 nuopc.003 mct.002 nuopc.002 mct.003 nuopc.003 mct.002 nuopc.002 mct.003 nuopc.003 mct.002 nuopc.002 mct.003 nuopc.003 mct.002 nuopc.002 mct.003 nuopc.003 mct.002 nuopc.002 mct.003 nuopc.003 mct.002 nuopc.002 mct.003 nuopc.003 mct.002 nuopc.002 mct.003 nuopc.003
DIC.anom mct.002 nuopc.002 mct.003 nuopc.003 mct.002 nuopc.002 mct.003 nuopc.003 mct.002 nuopc.002 mct.003 nuopc.003 mct.002 nuopc.002 mct.003 nuopc.003 mct.002 nuopc.002 mct.003 nuopc.003 mct.002 nuopc.002 mct.003 nuopc.003 mct.002 nuopc.002 mct.003 nuopc.003 mct.002 nuopc.002 mct.003 nuopc.003 mct.002 nuopc.002 mct.003 nuopc.003 mct.002 nuopc.002 mct.003 nuopc.003 mct.002 nuopc.002 mct.003 nuopc.003 mct.002 nuopc.002 mct.003 nuopc.003 mct.002 nuopc.002 mct.003 nuopc.003 mct.002 nuopc.002 mct.003 nuopc.003 mct.002 nuopc.002 mct.003 nuopc.003
DIC_ANTH mct.002 nuopc.002 mct.003 nuopc.003 mct.002 nuopc.002 mct.003 nuopc.003 mct.002 nuopc.002 mct.003 nuopc.003 mct.002 nuopc.002 mct.003 nuopc.003 mct.002 nuopc.002 mct.003 nuopc.003 mct.002 nuopc.002 mct.003 nuopc.003 mct.002 nuopc.002 mct.003 nuopc.003 mct.002 nuopc.002 mct.003 nuopc.003 mct.002 nuopc.002 mct.003 nuopc.003 mct.002 nuopc.002 mct.003 nuopc.003 mct.002 nuopc.002 mct.003 nuopc.003 mct.002 nuopc.002 mct.003 nuopc.003 mct.002 nuopc.002 mct.003 nuopc.003 mct.002 nuopc.002 mct.003 nuopc.003 mct.002 nuopc.002 mct.003 nuopc.003
ALK mct.002 nuopc.002 mct.003 nuopc.003 mct.002 nuopc.002 mct.003 nuopc.003 mct.002 nuopc.002 mct.003 nuopc.003 mct.002 nuopc.002 mct.003 nuopc.003 mct.002 nuopc.002 mct.003 nuopc.003 mct.002 nuopc.002 mct.003 nuopc.003 mct.002 nuopc.002 mct.003 nuopc.003 mct.002 nuopc.002 mct.003 nuopc.003 mct.002 nuopc.002 mct.003 nuopc.003 mct.002 nuopc.002 mct.003 nuopc.003 mct.002 nuopc.002 mct.003 nuopc.003 mct.002 nuopc.002 mct.003 nuopc.003 mct.002 nuopc.002 mct.003 nuopc.003 mct.002 nuopc.002 mct.003 nuopc.003 mct.002 nuopc.002 mct.003 nuopc.003
ALK.bias mct.002 nuopc.002 mct.003 nuopc.003 mct.002 nuopc.002 mct.003 nuopc.003 mct.002 nuopc.002 mct.003 nuopc.003 mct.002 nuopc.002 mct.003 nuopc.003 mct.002 nuopc.002 mct.003 nuopc.003 mct.002 nuopc.002 mct.003 nuopc.003 mct.002 nuopc.002 mct.003 nuopc.003 mct.002 nuopc.002 mct.003 nuopc.003 mct.002 nuopc.002 mct.003 nuopc.003 mct.002 nuopc.002 mct.003 nuopc.003 mct.002 nuopc.002 mct.003 nuopc.003 mct.002 nuopc.002 mct.003 nuopc.003 mct.002 nuopc.002 mct.003 nuopc.003 mct.002 nuopc.002 mct.003 nuopc.003 mct.002 nuopc.002 mct.003 nuopc.003
ALKpNO3 mct.002 nuopc.002 mct.003 nuopc.003 mct.002 nuopc.002 mct.003 nuopc.003 mct.002 nuopc.002 mct.003 nuopc.003 mct.002 nuopc.002 mct.003 nuopc.003 mct.002 nuopc.002 mct.003 nuopc.003 mct.002 nuopc.002 mct.003 nuopc.003 mct.002 nuopc.002 mct.003 nuopc.003 mct.002 nuopc.002 mct.003 nuopc.003 mct.002 nuopc.002 mct.003 nuopc.003 mct.002 nuopc.002 mct.003 nuopc.003 mct.002 nuopc.002 mct.003 nuopc.003 mct.002 nuopc.002 mct.003 nuopc.003 mct.002 nuopc.002 mct.003 nuopc.003 mct.002 nuopc.002 mct.003 nuopc.003 mct.002 nuopc.002 mct.003 nuopc.003
ALKpNO3.anom mct.002 nuopc.002 mct.003 nuopc.003 mct.002 nuopc.002 mct.003 nuopc.003 mct.002 nuopc.002 mct.003 nuopc.003 mct.002 nuopc.002 mct.003 nuopc.003 mct.002 nuopc.002 mct.003 nuopc.003 mct.002 nuopc.002 mct.003 nuopc.003 mct.002 nuopc.002 mct.003 nuopc.003 mct.002 nuopc.002 mct.003 nuopc.003 mct.002 nuopc.002 mct.003 nuopc.003 mct.002 nuopc.002 mct.003 nuopc.003 mct.002 nuopc.002 mct.003 nuopc.003 mct.002 nuopc.002 mct.003 nuopc.003 mct.002 nuopc.002 mct.003 nuopc.003 mct.002 nuopc.002 mct.003 nuopc.003 mct.002 nuopc.002 mct.003 nuopc.003
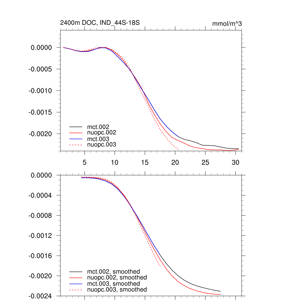
DOC mct.002 nuopc.002 mct.003 nuopc.003 mct.002 nuopc.002 mct.003 nuopc.003 mct.002 nuopc.002 mct.003 nuopc.003 mct.002 nuopc.002 mct.003 nuopc.003 mct.002 nuopc.002 mct.003 nuopc.003 mct.002 nuopc.002 mct.003 nuopc.003 mct.002 nuopc.002 mct.003 nuopc.003 mct.002 nuopc.002 mct.003 nuopc.003 mct.002 nuopc.002 mct.003 nuopc.003 mct.002 nuopc.002 mct.003 nuopc.003 mct.002 nuopc.002 mct.003 nuopc.003 mct.002 nuopc.002 mct.003 nuopc.003 mct.002 nuopc.002 mct.003 nuopc.003 mct.002 nuopc.002 mct.003 nuopc.003 mct.002 nuopc.002 mct.003 nuopc.003
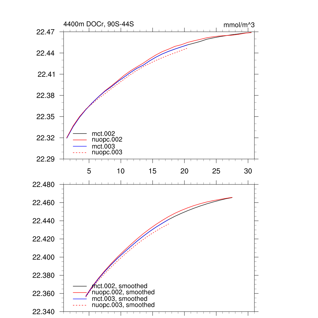
DOCr mct.002 nuopc.002 mct.003 nuopc.003 mct.002 nuopc.002 mct.003 nuopc.003 mct.002 nuopc.002 mct.003 nuopc.003 mct.002 nuopc.002 mct.003 nuopc.003 mct.002 nuopc.002 mct.003 nuopc.003 mct.002 nuopc.002 mct.003 nuopc.003 mct.002 nuopc.002 mct.003 nuopc.003 mct.002 nuopc.002 mct.003 nuopc.003 mct.002 nuopc.002 mct.003 nuopc.003 mct.002 nuopc.002 mct.003 nuopc.003 mct.002 nuopc.002 mct.003 nuopc.003 mct.002 nuopc.002 mct.003 nuopc.003 mct.002 nuopc.002 mct.003 nuopc.003 mct.002 nuopc.002 mct.003 nuopc.003 mct.002 nuopc.002 mct.003 nuopc.003
DOP mct.002 nuopc.002 mct.003 nuopc.003 mct.002 nuopc.002 mct.003 nuopc.003 mct.002 nuopc.002 mct.003 nuopc.003 mct.002 nuopc.002 mct.003 nuopc.003 mct.002 nuopc.002 mct.003 nuopc.003 mct.002 nuopc.002 mct.003 nuopc.003 mct.002 nuopc.002 mct.003 nuopc.003 mct.002 nuopc.002 mct.003 nuopc.003 mct.002 nuopc.002 mct.003 nuopc.003 mct.002 nuopc.002 mct.003 nuopc.003 mct.002 nuopc.002 mct.003 nuopc.003 mct.002 nuopc.002 mct.003 nuopc.003 mct.002 nuopc.002 mct.003 nuopc.003 mct.002 nuopc.002 mct.003 nuopc.003 mct.002 nuopc.002 mct.003 nuopc.003
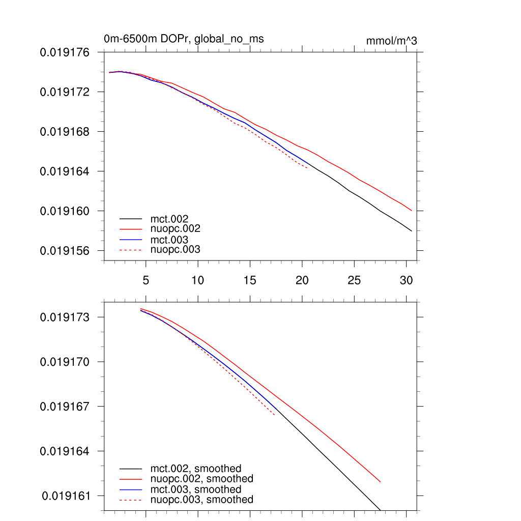
DOPr mct.002 nuopc.002 mct.003 nuopc.003 mct.002 nuopc.002 mct.003 nuopc.003 mct.002 nuopc.002 mct.003 nuopc.003 mct.002 nuopc.002 mct.003 nuopc.003 mct.002 nuopc.002 mct.003 nuopc.003 mct.002 nuopc.002 mct.003 nuopc.003 mct.002 nuopc.002 mct.003 nuopc.003 mct.002 nuopc.002 mct.003 nuopc.003 mct.002 nuopc.002 mct.003 nuopc.003 mct.002 nuopc.002 mct.003 nuopc.003 mct.002 nuopc.002 mct.003 nuopc.003 mct.002 nuopc.002 mct.003 nuopc.003 mct.002 nuopc.002 mct.003 nuopc.003 mct.002 nuopc.002 mct.003 nuopc.003 mct.002 nuopc.002 mct.003 nuopc.003


Passive Tracer Averages on Depth Surfaces and Ranges

region depth global_no_ms 90S-44S ATL_44S-18S PAC_44S-18S IND_44S-18S ATL_18S-18N EPAC_18S-18N WPAC_18S-18N IND_18S-30N ATL_18N-49N PAC_18N-49N ATL_49N-66N PAC_49N-66N ARC_66N-90N LabSea
IAGE 0m all all all all all all all all all all all all all all all
IAGE 105m all all all all all all all all all all all all all all all
IAGE 350m all all all all all all all all all all all all all all all
IAGE 800m all all all all all all all all all all all all all all all
IAGE 1600m all all all all all all all all all all all all all all all
IAGE 2400m all all all all all all all all all all all all all all all
IAGE 4400m all all all all all all all all all all all all all all all
IAGE 0m_300m all all all all all all all all all all all all all all all
IAGE 0m_700m all all all all all all all all all all all all all all all
IAGE 300m_700m all all all all all all all all all all all all all all all
IAGE 0m_2000m all all all all all all all all all all all all all all all
region depth global_no_ms 90S-44S ATL_44S-18S PAC_44S-18S IND_44S-18S ATL_18S-18N EPAC_18S-18N WPAC_18S-18N IND_18S-30N ATL_18N-49N PAC_18N-49N ATL_49N-66N PAC_49N-66N ARC_66N-90N LabSea
NO3 0m all all all all all all all all all all all all all all all
NO3 105m all all all all all all all all all all all all all all all
NO3 350m all all all all all all all all all all all all all all all
NO3 800m all all all all all all all all all all all all all all all
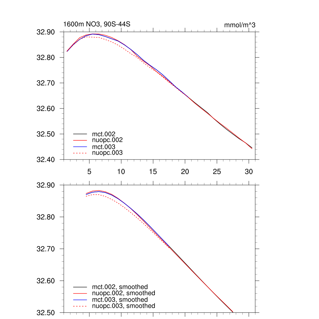
NO3 1600m all all all all all all all all all all all all all all all
NO3 2400m all all all all all all all all all all all all all all all
NO3 4400m all all all all all all all all all all all all all all all
NO3 0m_300m all all all all all all all all all all all all all all all
NO3 0m_700m all all all all all all all all all all all all all all all
NO3 300m_700m all all all all all all all all all all all all all all all
NO3 0m_2000m all all all all all all all all all all all all all all all
region depth global_no_ms 90S-44S ATL_44S-18S PAC_44S-18S IND_44S-18S ATL_18S-18N EPAC_18S-18N WPAC_18S-18N IND_18S-30N ATL_18N-49N PAC_18N-49N ATL_49N-66N PAC_49N-66N ARC_66N-90N LabSea
NH4 0m all all all all all all all all all all all all all all all
NH4 105m all all all all all all all all all all all all all all all
NH4 350m all all all all all all all all all all all all all all all
NH4 800m all all all all all all all all all all all all all all all
NH4 1600m all all all all all all all all all all all all all all all
NH4 2400m all all all all all all all all all all all all all all all
NH4 4400m all all all all all all all all all all all all all all all
NH4 0m_300m all all all all all all all all all all all all all all all
NH4 0m_700m all all all all all all all all all all all all all all all
NH4 300m_700m all all all all all all all all all all all all all all all
NH4 0m_2000m all all all all all all all all all all all all all all all
region depth global_no_ms 90S-44S ATL_44S-18S PAC_44S-18S IND_44S-18S ATL_18S-18N EPAC_18S-18N WPAC_18S-18N IND_18S-30N ATL_18N-49N PAC_18N-49N ATL_49N-66N PAC_49N-66N ARC_66N-90N LabSea
PO4 0m all all all all all all all all all all all all all all all
PO4 105m all all all all all all all all all all all all all all all
PO4 350m all all all all all all all all all all all all all all all
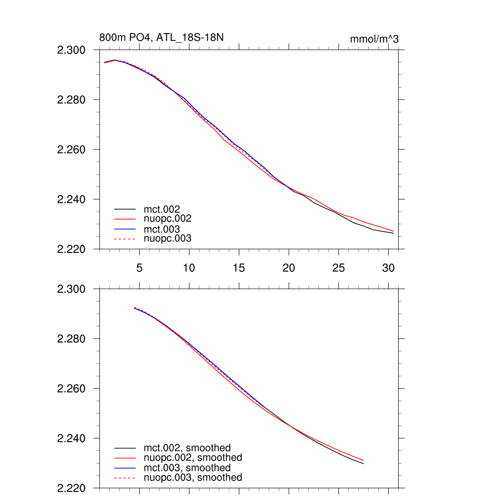
PO4 800m all all all all all all all all all all all all all all all
PO4 1600m all all all all all all all all all all all all all all all
PO4 2400m all all all all all all all all all all all all all all all
PO4 4400m all all all all all all all all all all all all all all all
PO4 0m_300m all all all all all all all all all all all all all all all
PO4 0m_700m all all all all all all all all all all all all all all all
PO4 300m_700m all all all all all all all all all all all all all all all
PO4 0m_2000m all all all all all all all all all all all all all all all
region depth global_no_ms 90S-44S ATL_44S-18S PAC_44S-18S IND_44S-18S ATL_18S-18N EPAC_18S-18N WPAC_18S-18N IND_18S-30N ATL_18N-49N PAC_18N-49N ATL_49N-66N PAC_49N-66N ARC_66N-90N LabSea
Ptot 0m all all all all all all all all all all all all all all all
Ptot 105m all all all all all all all all all all all all all all all
Ptot 350m all all all all all all all all all all all all all all all
Ptot 800m all all all all all all all all all all all all all all all
Ptot 1600m all all all all all all all all all all all all all all all
Ptot 2400m all all all all all all all all all all all all all all all
Ptot 4400m all all all all all all all all all all all all all all all
Ptot 0m_300m all all all all all all all all all all all all all all all
Ptot 0m_700m all all all all all all all all all all all all all all all
Ptot 300m_700m all all all all all all all all all all all all all all all
Ptot 0m_2000m all all all all all all all all all all all all all all all
region depth global_no_ms 90S-44S ATL_44S-18S PAC_44S-18S IND_44S-18S ATL_18S-18N EPAC_18S-18N WPAC_18S-18N IND_18S-30N ATL_18N-49N PAC_18N-49N ATL_49N-66N PAC_49N-66N ARC_66N-90N LabSea
SiO3 0m all all all all all all all all all all all all all all all
SiO3 105m all all all all all all all all all all all all all all all
SiO3 350m all all all all all all all all all all all all all all all
SiO3 800m all all all all all all all all all all all all all all all
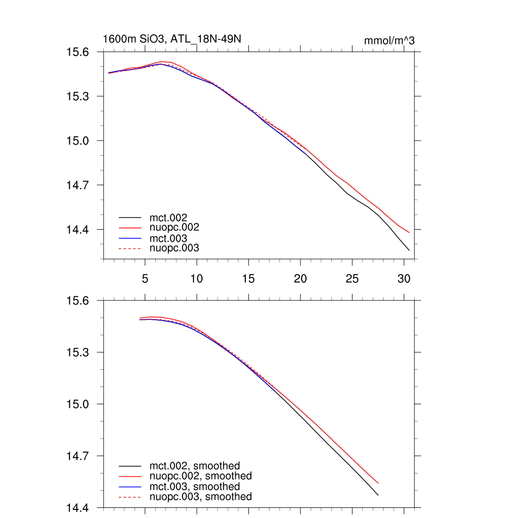
SiO3 1600m all all all all all all all all all all all all all all all
SiO3 2400m all all all all all all all all all all all all all all all
SiO3 4400m all all all all all all all all all all all all all all all
SiO3 0m_300m all all all all all all all all all all all all all all all
SiO3 0m_700m all all all all all all all all all all all all all all all
SiO3 300m_700m all all all all all all all all all all all all all all all
SiO3 0m_2000m all all all all all all all all all all all all all all all
region depth global_no_ms 90S-44S ATL_44S-18S PAC_44S-18S IND_44S-18S ATL_18S-18N EPAC_18S-18N WPAC_18S-18N IND_18S-30N ATL_18N-49N PAC_18N-49N ATL_49N-66N PAC_49N-66N ARC_66N-90N LabSea
O2 0m all all all all all all all all all all all all all all all
O2 105m all all all all all all all all all all all all all all all
O2 350m all all all all all all all all all all all all all all all
O2 800m all all all all all all all all all all all all all all all
O2 1600m all all all all all all all all all all all all all all all
O2 2400m all all all all all all all all all all all all all all all
O2 4400m all all all all all all all all all all all all all all all
O2 0m_300m all all all all all all all all all all all all all all all
O2 0m_700m all all all all all all all all all all all all all all all
O2 300m_700m all all all all all all all all all all all all all all all
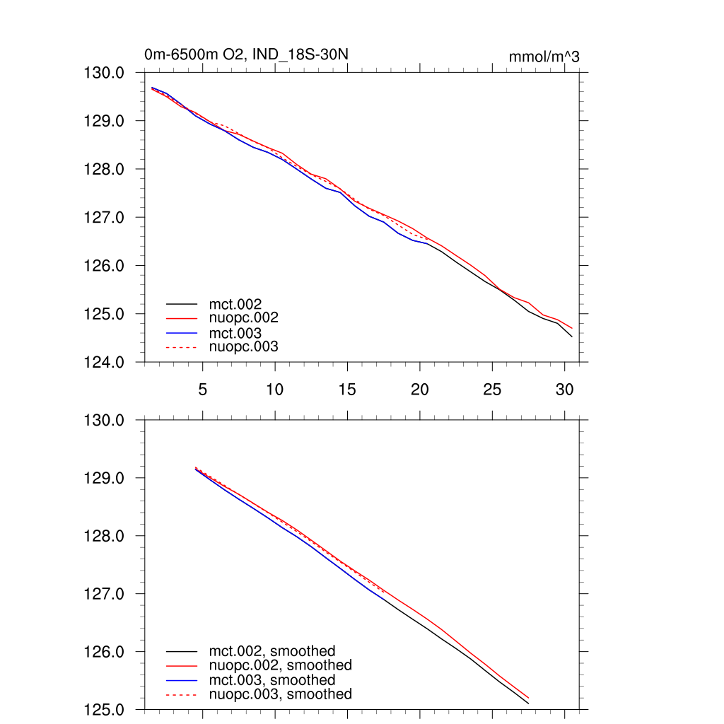
O2 0m_2000m all all all all all all all all all all all all all all all
region depth global_no_ms 90S-44S ATL_44S-18S PAC_44S-18S IND_44S-18S ATL_18S-18N EPAC_18S-18N WPAC_18S-18N IND_18S-30N ATL_18N-49N PAC_18N-49N ATL_49N-66N PAC_49N-66N ARC_66N-90N LabSea
AOU 0m all all all all all all all all all all all all all all all
AOU 105m all all all all all all all all all all all all all all all
AOU 350m all all all all all all all all all all all all all all all
AOU 800m all all all all all all all all all all all all all all all
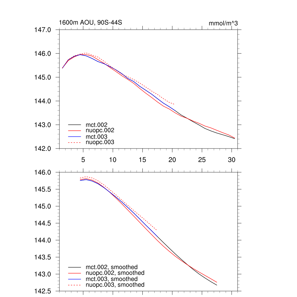
AOU 1600m all all all all all all all all all all all all all all all
AOU 2400m all all all all all all all all all all all all all all all
AOU 4400m all all all all all all all all all all all all all all all
AOU 0m_300m all all all all all all all all all all all all all all all
AOU 0m_700m all all all all all all all all all all all all all all all
AOU 300m_700m all all all all all all all all all all all all all all all
AOU 0m_2000m all all all all all all all all all all all all all all all
region depth global_no_ms 90S-44S ATL_44S-18S PAC_44S-18S IND_44S-18S ATL_18S-18N EPAC_18S-18N WPAC_18S-18N IND_18S-30N ATL_18N-49N PAC_18N-49N ATL_49N-66N PAC_49N-66N ARC_66N-90N LabSea
Fe 0m all all all all all all all all all all all all all all all
Fe 105m all all all all all all all all all all all all all all all
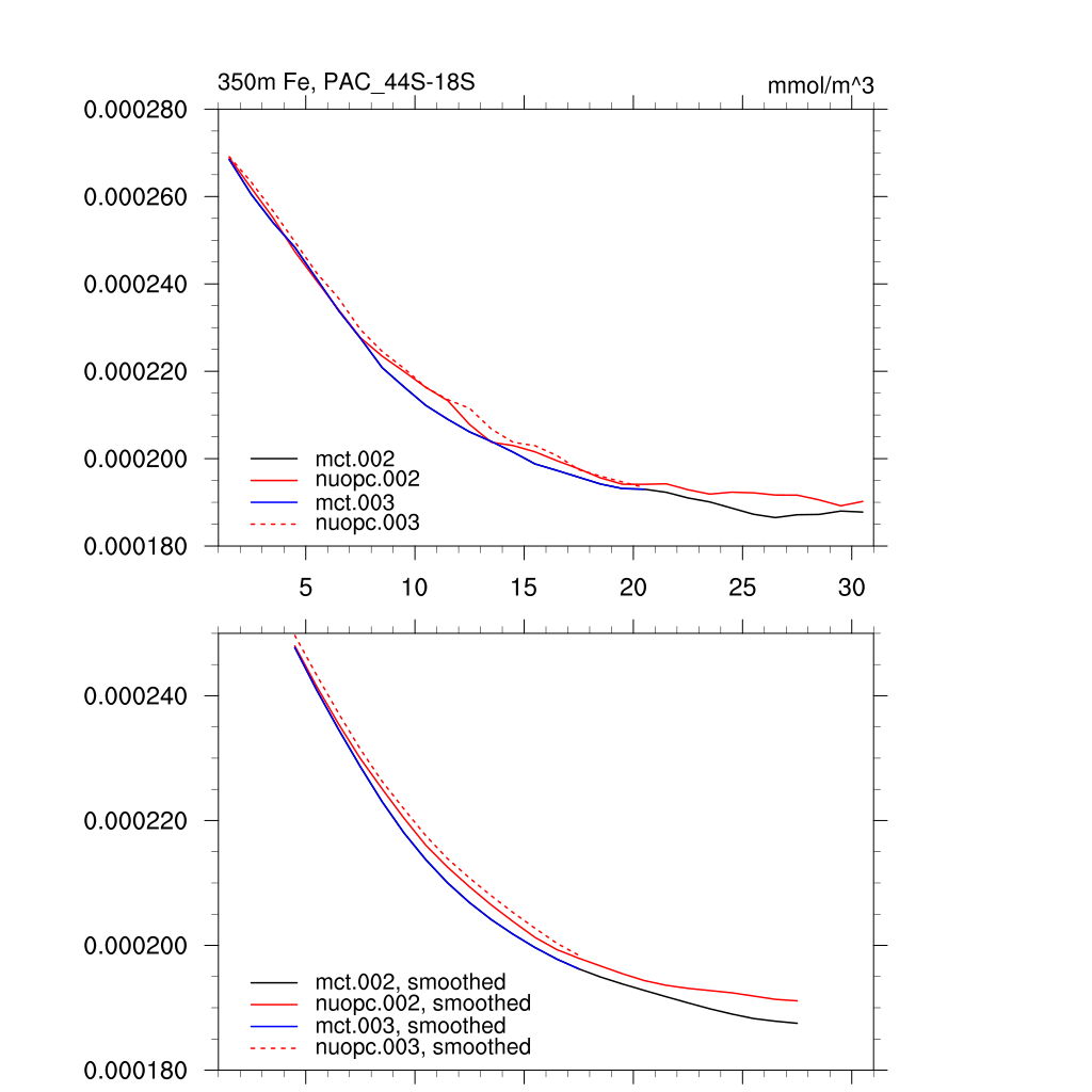
Fe 350m all all all all all all all all all all all all all all all
Fe 800m all all all all all all all all all all all all all all all
Fe 1600m all all all all all all all all all all all all all all all
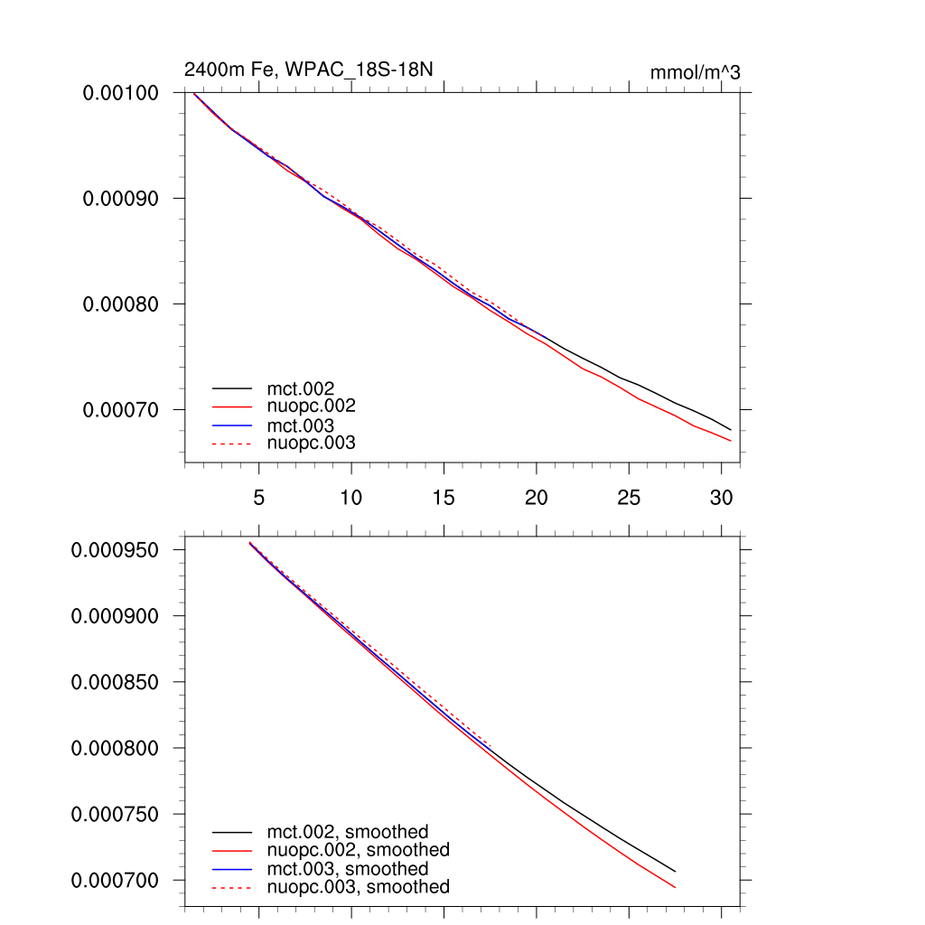
Fe 2400m all all all all all all all all all all all all all all all
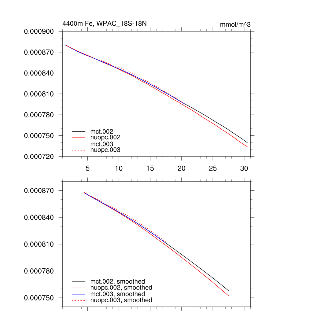
Fe 4400m all all all all all all all all all all all all all all all
Fe 0m_300m all all all all all all all all all all all all all all all
Fe 0m_700m all all all all all all all all all all all all all all all
Fe 300m_700m all all all all all all all all all all all all all all all
Fe 0m_2000m all all all all all all all all all all all all all all all
region depth global_no_ms 90S-44S ATL_44S-18S PAC_44S-18S IND_44S-18S ATL_18S-18N EPAC_18S-18N WPAC_18S-18N IND_18S-30N ATL_18N-49N PAC_18N-49N ATL_49N-66N PAC_49N-66N ARC_66N-90N LabSea
DIC 0m all all all all all all all all all all all all all all all
DIC 105m all all all all all all all all all all all all all all all
DIC 350m all all all all all all all all all all all all all all all
DIC 800m all all all all all all all all all all all all all all all
DIC 1600m all all all all all all all all all all all all all all all
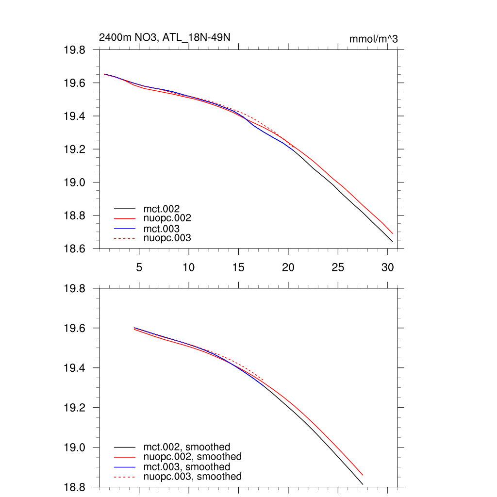
DIC 2400m all all all all all all all all all all all all all all all
DIC 4400m all all all all all all all all all all all all all all all
DIC 0m_300m all all all all all all all all all all all all all all all
DIC 0m_700m all all all all all all all all all all all all all all all
DIC 300m_700m all all all all all all all all all all all all all all all
DIC 0m_2000m all all all all all all all all all all all all all all all
region depth global_no_ms 90S-44S ATL_44S-18S PAC_44S-18S IND_44S-18S ATL_18S-18N EPAC_18S-18N WPAC_18S-18N IND_18S-30N ATL_18N-49N PAC_18N-49N ATL_49N-66N PAC_49N-66N ARC_66N-90N LabSea
DIC_ANTH 0m all all all all all all all all all all all all all all all
DIC_ANTH 105m all all all all all all all all all all all all all all all
DIC_ANTH 350m all all all all all all all all all all all all all all all
DIC_ANTH 800m all all all all all all all all all all all all all all all
DIC_ANTH 1600m all all all all all all all all all all all all all all all
DIC_ANTH 2400m all all all all all all all all all all all all all all all
DIC_ANTH 4400m all all all all all all all all all all all all all all all
DIC_ANTH 0m_300m all all all all all all all all all all all all all all all
DIC_ANTH 0m_700m all all all all all all all all all all all all all all all
DIC_ANTH 300m_700m all all all all all all all all all all all all all all all
DIC_ANTH 0m_2000m all all all all all all all all all all all all all all all
region depth global_no_ms 90S-44S ATL_44S-18S PAC_44S-18S IND_44S-18S ATL_18S-18N EPAC_18S-18N WPAC_18S-18N IND_18S-30N ATL_18N-49N PAC_18N-49N ATL_49N-66N PAC_49N-66N ARC_66N-90N LabSea
ALK 0m all all all all all all all all all all all all all all all
ALK 105m all all all all all all all all all all all all all all all
ALK 350m all all all all all all all all all all all all all all all
ALK 800m all all all all all all all all all all all all all all all
ALK 1600m all all all all all all all all all all all all all all all
ALK 2400m all all all all all all all all all all all all all all all
ALK 4400m all all all all all all all all all all all all all all all
ALK 0m_300m all all all all all all all all all all all all all all all
ALK 0m_700m all all all all all all all all all all all all all all all
ALK 300m_700m all all all all all all all all all all all all all all all
ALK 0m_2000m all all all all all all all all all all all all all all all
region depth global_no_ms 90S-44S ATL_44S-18S PAC_44S-18S IND_44S-18S ATL_18S-18N EPAC_18S-18N WPAC_18S-18N IND_18S-30N ATL_18N-49N PAC_18N-49N ATL_49N-66N PAC_49N-66N ARC_66N-90N LabSea
ALKpNO3 0m all all all all all all all all all all all all all all all
ALKpNO3 105m all all all all all all all all all all all all all all all
ALKpNO3 350m all all all all all all all all all all all all all all all
ALKpNO3 800m all all all all all all all all all all all all all all all
ALKpNO3 1600m all all all all all all all all all all all all all all all
ALKpNO3 2400m all all all all all all all all all all all all all all all
ALKpNO3 4400m all all all all all all all all all all all all all all all
ALKpNO3 0m_300m all all all all all all all all all all all all all all all
ALKpNO3 0m_700m all all all all all all all all all all all all all all all
ALKpNO3 300m_700m all all all all all all all all all all all all all all all
ALKpNO3 0m_2000m all all all all all all all all all all all all all all all
region depth global_no_ms 90S-44S ATL_44S-18S PAC_44S-18S IND_44S-18S ATL_18S-18N EPAC_18S-18N WPAC_18S-18N IND_18S-30N ATL_18N-49N PAC_18N-49N ATL_49N-66N PAC_49N-66N ARC_66N-90N LabSea
DOC 0m all all all all all all all all all all all all all all all
DOC 105m all all all all all all all all all all all all all all all
DOC 350m all all all all all all all all all all all all all all all
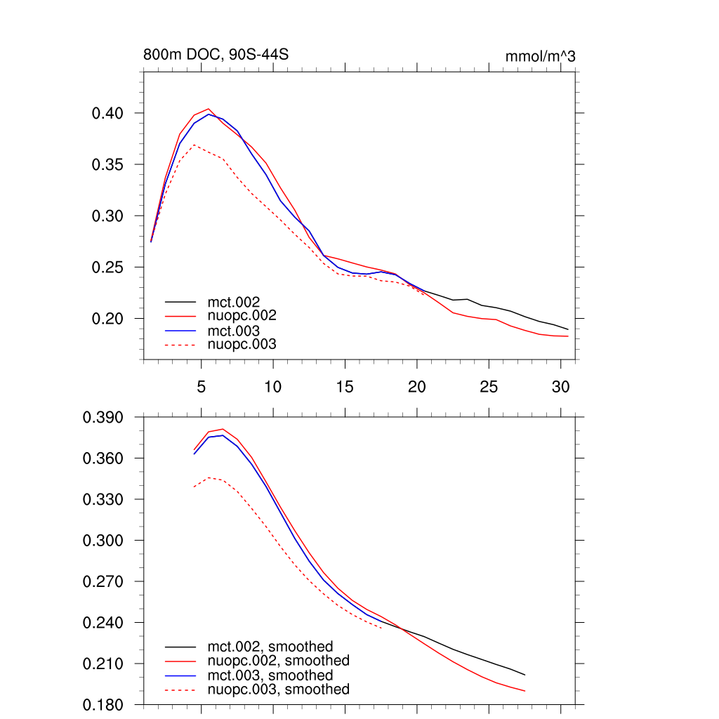
DOC 800m all all all all all all all all all all all all all all all
DOC 1600m all all all all all all all all all all all all all all all
DOC 2400m all all all all all all all all all all all all all all all
DOC 4400m all all all all all all all all all all all all all all all
DOC 0m_300m all all all all all all all all all all all all all all all
DOC 0m_700m all all all all all all all all all all all all all all all
DOC 300m_700m all all all all all all all all all all all all all all all
DOC 0m_2000m all all all all all all all all all all all all all all all
region depth global_no_ms 90S-44S ATL_44S-18S PAC_44S-18S IND_44S-18S ATL_18S-18N EPAC_18S-18N WPAC_18S-18N IND_18S-30N ATL_18N-49N PAC_18N-49N ATL_49N-66N PAC_49N-66N ARC_66N-90N LabSea
DOCr 0m all all all all all all all all all all all all all all all
DOCr 105m all all all all all all all all all all all all all all all
DOCr 350m all all all all all all all all all all all all all all all
DOCr 800m all all all all all all all all all all all all all all all
DOCr 1600m all all all all all all all all all all all all all all all
DOCr 2400m all all all all all all all all all all all all all all all
DOCr 4400m all all all all all all all all all all all all all all all
DOCr 0m_300m all all all all all all all all all all all all all all all
DOCr 0m_700m all all all all all all all all all all all all all all all
DOCr 300m_700m all all all all all all all all all all all all all all all
DOCr 0m_2000m all all all all all all all all all all all all all all all
region depth global_no_ms 90S-44S ATL_44S-18S PAC_44S-18S IND_44S-18S ATL_18S-18N EPAC_18S-18N WPAC_18S-18N IND_18S-30N ATL_18N-49N PAC_18N-49N ATL_49N-66N PAC_49N-66N ARC_66N-90N LabSea
DOP 0m all all all all all all all all all all all all all all all
DOP 105m all all all all all all all all all all all all all all all
DOP 350m all all all all all all all all all all all all all all all
DOP 800m all all all all all all all all all all all all all all all
DOP 1600m all all all all all all all all all all all all all all all
DOP 2400m all all all all all all all all all all all all all all all
DOP 4400m all all all all all all all all all all all all all all all
DOP 0m_300m all all all all all all all all all all all all all all all
DOP 0m_700m all all all all all all all all all all all all all all all
DOP 300m_700m all all all all all all all all all all all all all all all
DOP 0m_2000m all all all all all all all all all all all all all all all
region depth global_no_ms 90S-44S ATL_44S-18S PAC_44S-18S IND_44S-18S ATL_18S-18N EPAC_18S-18N WPAC_18S-18N IND_18S-30N ATL_18N-49N PAC_18N-49N ATL_49N-66N PAC_49N-66N ARC_66N-90N LabSea
DOPr 0m all all all all all all all all all all all all all all all
DOPr 105m all all all all all all all all all all all all all all all
DOPr 350m all all all all all all all all all all all all all all all
DOPr 800m all all all all all all all all all all all all all all all
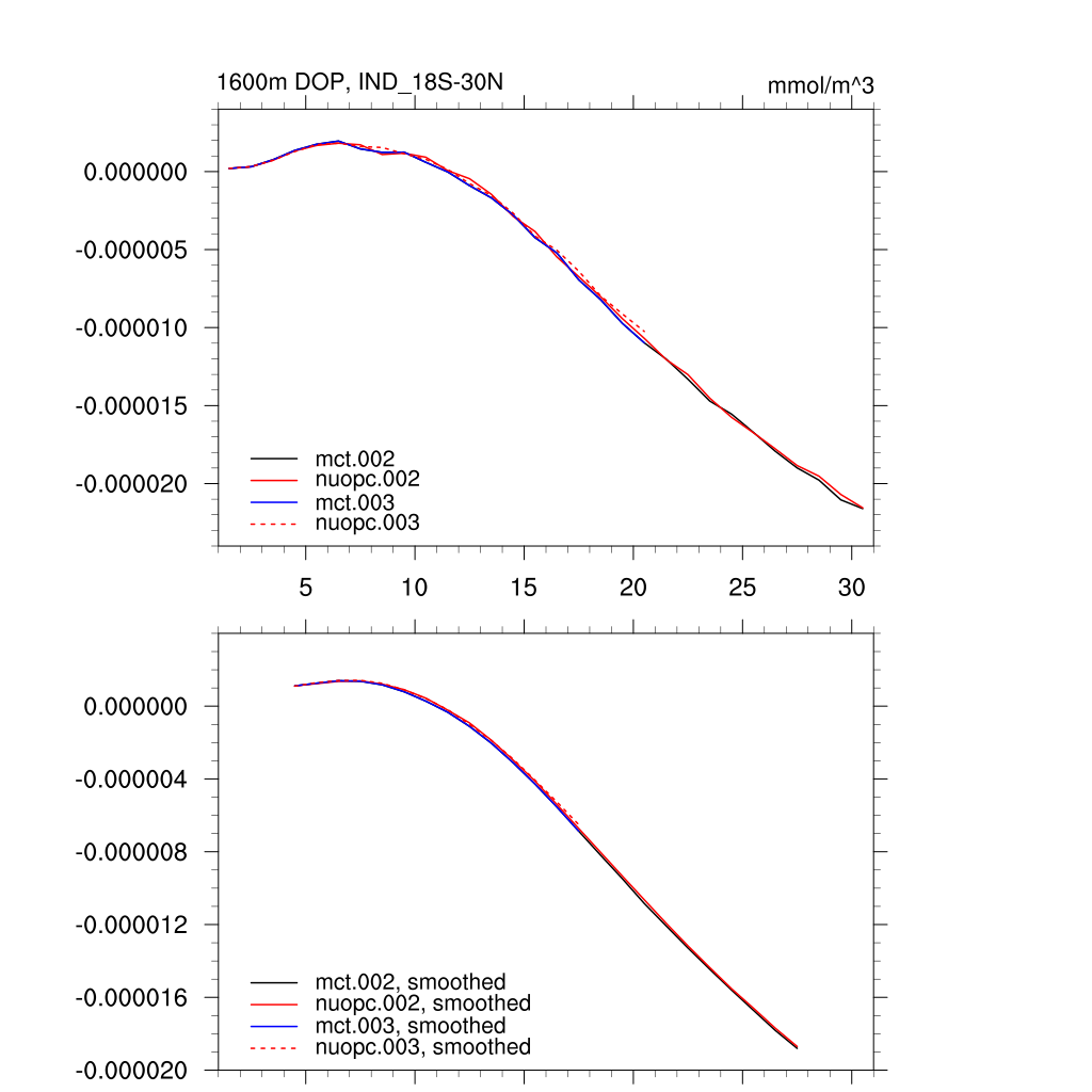
DOPr 1600m all all all all all all all all all all all all all all all
DOPr 2400m all all all all all all all all all all all all all all all
DOPr 4400m all all all all all all all all all all all all all all all
DOPr 0m_300m all all all all all all all all all all all all all all all
DOPr 0m_700m all all all all all all all all all all all all all all all
DOPr 300m_700m all all all all all all all all all all all all all all all
DOPr 0m_2000m all all all all all all all all all all all all all all all


Passive Tracer 2D Variables Averages

region global_no_ms 90S-44S ATL_44S-18S PAC_44S-18S IND_44S-18S ATL_18S-18N EPAC_18S-18N WPAC_18S-18N IND_18S-30N ATL_18N-49N PAC_18N-49N ATL_49N-66N PAC_49N-66N ARC_66N-90N LabSea
FG_CO2 all all all all all all all all all all all all all all all
FG_ALT_CO2 all all all all all all all all all all all all all all all
FG_ANTH_CO2 all all all all all all all all all all all all all all all
FvTOT_DIC all all all all all all all all all all all all all all all
FvTOT_ALK all all all all all all all all all all all all all all all
tend_zint_100m_DIC all all all all all all all all all all all all all all all
tend_zint_100m_DOC all all all all all all all all all all all all all all all
DOC_prod_zint_100m all all all all all all all all all all all all all all all
tend_zint_100m_DOCr all all all all all all all all all all all all all all all
DOCr_remin_zint_100m all all all all all all all all all all all all all all all
Jint_100m_DIC all all all all all all all all all all all all all all all
Jint_100m_DOC all all all all all all all all all all all all all all all
Jint_100m_DOCr all all all all all all all all all all all all all all all
Jint_100m_ALK all all all all all all all all all all all all all all all
photoC_tot_zint all all all all all all all all all all all all all all all
photoC_sp_zint all all all all all all all all all all all all all all all
photoC_diat_zint all all all all all all all all all all all all all all all
photoC_diaz_zint all all all all all all all all all all all all all all all
POC_FLUX_100m all all all all all all all all all all all all all all all
CaCO3_FLUX_100m all all all all all all all all all all all all all all all
SiO2_FLUX_100m all all all all all all all all all all all all all all all
diaz_Nfix all all all all all all all all all all all all all all all
DENITRIF all all all all all all all all all all all all all all all
NITRIF all all all all all all all all all all all all all all all
NOx_FLUX all all all all all all all all all all all all all all all
NHy_FLUX all all all all all all all all all all all all all all all
NHx_SURFACE_EMIS all all all all all all all all all all all all all all all
IRON_FLUX all all all all all all all all all all all all all all all
ATM_FINE_DUST_FLUX_CPL all all all all all all all all all all all all all all all
ATM_COARSE_DUST_FLUX_CPL all all all all all all all all all all all all all all all
SEAICE_DUST_FLUX_CPL all all all all all all all all all all all all all all all
DIC_RIV_FLUX all all all all all all all all all all all all all all all
DOC_RIV_FLUX all all all all all all all all all all all all all all all
DOCr_RIV_FLUX all all all all all all all all all all all all all all all
ALK_RIV_FLUX all all all all all all all all all all all all all all all
NO3_RIV_FLUX all all all all all all all all all all all all all all all
DON_RIV_FLUX all all all all all all all all all all all all all all all
DONr_RIV_FLUX all all all all all all all all all all all all all all all
SiO3_RIV_FLUX all all all all all all all all all all all all all all all
pocToSed all all all all all all all all all all all all all all all
calcToSed all all all all all all all all all all all all all all all
ponToSed all all all all all all all all all all all all all all all
SedDenitrif all all all all all all all all all all all all all all all
bsiToSed all all all all all all all all all all all all all all all
zsatarag all all all all all all all all all all all all all all all
zsatcalc all all all all all all all all all all all all all all all
pCO2SURF all all all all all all all all all all all all all all all
DpCO2 all all all all all all all all all all all all all all all
PH all all all all all all all all all all all all all all all
ATM_CO2 all all all all all all all all all all all all all all all
O2_ZMIN all all all all all all all all all all all all all all all
O2_ZMIN_DEPTH all all all all all all all all all all all all all all all