CICE Output for  case_B1850C5CN
Regional Time Series
 
    NH Regional Time Series 
                  Ice Volume, Snow Volume and Ice Area 
    NH Regions 
    SH Regional Time Series 
                  Ice Volume, Snow Volume and Ice Area 
    SH Regions 
 
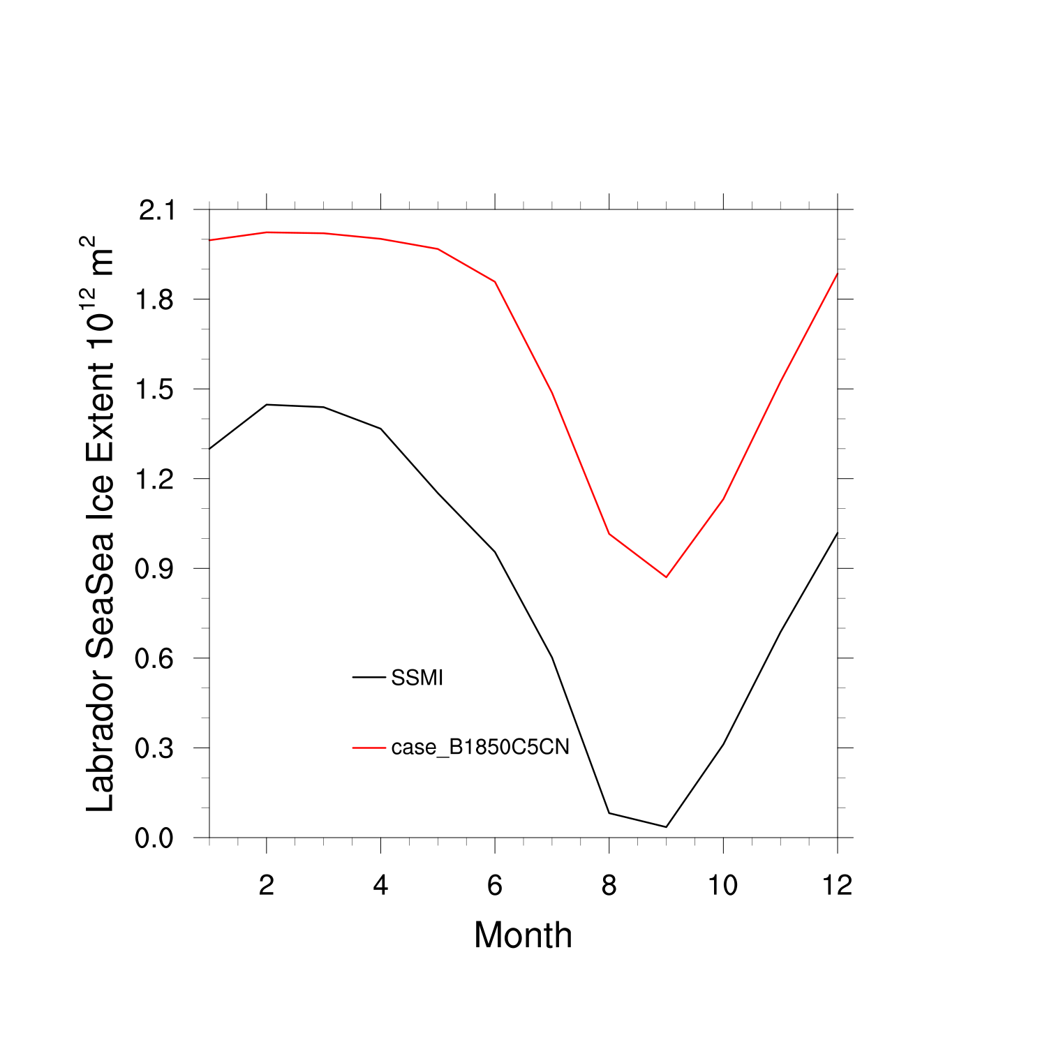
    Labrador Sea: 
   map
    Weddell Sea: 
   map
  
   Monthly Means
   plot
   Monthly Means
   plot
  
   Climatological Monthly Mean Extent vs Obs
   plot
   Climatological Monthly Mean Extent vs Obs
   plot
  
    Annual and Seasonal Means
   JFM
                 AMJ
                 JAS
                 OND
                 ANN
    Annual and Seasonal Means
   JFM
                 AMJ
                 JAS
                 OND
                 ANN
 
    Annual and Seasonal Anomalies
   JFM
                 AMJ
                 JAS
                 OND
                 ANN
    Annual and Seasonal Anomalies
   JFM
                 AMJ
                 JAS
                 OND
                 ANN
 
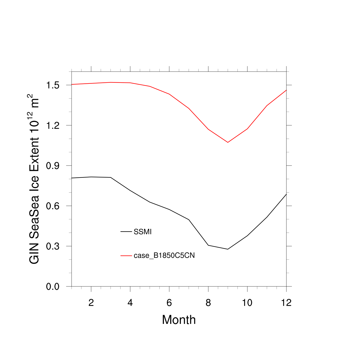
    Greenland Sea: 
   map
    Ross Sea: 
   map
 
   Monthly Means
   plot
   Monthly Means
   plot
  
   Climatological Monthly Mean Extent vs Obs
   plot
   Climatological Monthly Mean Extent vs Obs
   plot
  
    Annual and Seasonal Means
   JFM
                 AMJ
                 JAS
                 OND
                 ANN
    Annual and Seasonal Means
   JFM
                 AMJ
                 JAS
                 OND
                 ANN
 
    Annual and Seasonal Anomalies
   JFM
                 AMJ
                 JAS
                 OND
                 ANN
    Annual and Seasonal Anomalies
   JFM
                 AMJ
                 JAS
                 OND
                 ANN
 
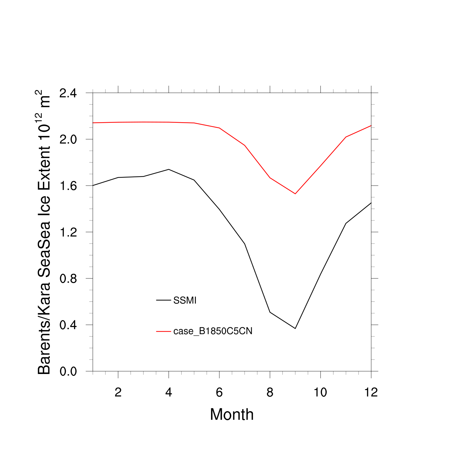
    Kara and Barents Sea: 
   map
    Indian Sector: 
   map
 
   Monthly Means
   plot
   Monthly Means
   plot
  
   Climatological Monthly Mean Extent vs Obs
   plot
   Climatological Monthly Mean Extent vs Obs
   plot
  
    Annual and Seasonal Means
   JFM
                 AMJ
                 JAS
                 OND
                 ANN
    Annual and Seasonal Means
   JFM
                 AMJ
                 JAS
                 OND
                 ANN
 
    Annual and Seasonal Anomalies
   JFM
                 AMJ
                 JAS
                 OND
                 ANN
    Annual and Seasonal Anomalies
   JFM
                 AMJ
                 JAS
                 OND
                 ANN
 
    Arctic Ocean: 
   map
    Pacific Sector: 
   map
 
   Monthly Means
   plot
   Monthly Means
   plot
  
   Climatological Monthly Mean Extent vs Obs
   plot
   Climatological Monthly Mean Extent vs Obs
   plot
  
    Annual and Seasonal Means
   JFM
                 AMJ
                 JAS
                 OND
                 ANN
    Annual and Seasonal Means
   JFM
                 AMJ
                 JAS
                 OND
                 ANN
 
    Annual and Seasonal Anomalies
   JFM
                 AMJ
                 JAS
                 OND
                 ANN
    Annual and Seasonal Anomalies
   JFM
                 AMJ
                 JAS
                 OND
                 ANN
 
    Siberian Sector: 
   map
    Bellingshausen-Amundsen Sea: 
   map
 
   Monthly Means
   plot
   Monthly Means
   plot
  
   Climatological Monthly Mean Extent vs Obs
   plot
   Climatological Monthly Mean Extent vs Obs
   plot
  
    Annual and Seasonal Means
   JFM
                 AMJ
                 JAS
                 OND
                 ANN
    Annual and Seasonal Means
   JFM
                 AMJ
                 JAS
                 OND
                 ANN
 
    Annual and Seasonal Anomalies
   JFM
                 AMJ
                 JAS
                 OND
                 ANN
    Annual and Seasonal Anomalies
   JFM
                 AMJ
                 JAS
                 OND
                 ANN
 
    Beaufort Sea: 
   map
   
   
 
   Monthly Means
   plot
   
   
  
   Climatological Monthly Mean Extent vs Obs
   plot
   
   
  
    Annual and Seasonal Means
   JFM
                 AMJ
                 JAS
                 OND
                 ANN
   
   
 
    Annual and Seasonal Anomalies
   JFM
                 AMJ
                 JAS
                 OND
                 ANN
   
   
 
    Central Arctic Ocean: 
   map
   
   
 
   Monthly Means
   plot
   
   
 
   Climatological Monthly Mean Extent vs Obs
   plot
    
   
  
    Annual and Seasonal Means
   JFM
                 AMJ
                 JAS
                 OND
                 ANN
   
   
 
    Annual and Seasonal Anomalies
   JFM
                 AMJ
                 JAS
                 OND
                 ANN
   
   
 
    Bering Sea: 
   map
   
   
 
   Monthly Means
   plot
   
   
 
   Climatological Monthly Mean Extent vs Obs
   plot
    
   
  
    Annual and Seasonal Means
   JFM
                 AMJ
                 JAS
                 OND
                 ANN
   
   
 
    Annual and Seasonal Anomalies
   JFM
                 AMJ
                 JAS
                 OND
                 ANN
   
   
 
    Sea of Okhotsk: 
   map
   
   
 
   Monthly Means
   plot
   
   
 
   Climatological Monthly Mean Extent vs Obs
   plot
    
   
  
    Annual and Seasonal Means
   JFM
                 AMJ
                 JAS
                 OND
                 ANN
   
   
 
    Annual and Seasonal Anomalies
   JFM
                 AMJ
                 JAS
                 OND
                 ANN
   
   
 
    Canadian Archipelago: 
   map
   
   
 
   Monthly Means
   plot
   
   
 
   Climatological Monthly Mean Extent vs Obs
   plot
    
   
  
    Annual and Seasonal Means
   JFM
                 AMJ
                 JAS
                 OND
                 ANN
   
   
 
    Annual and Seasonal Anomalies
   JFM
                 AMJ
                 JAS
                 OND
                 ANN
   
   
 
    Hudson Bay: 
   map
   
   
 
   Monthly Means
   plot
   
   
 
   Climatological Monthly Mean Extent vs Obs
   plot
    
   
  
    Annual and Seasonal Means
   JFM
                 AMJ
                 JAS
                 OND
                 ANN
   
   
 
    Annual and Seasonal Anomalies
   JFM
                 AMJ
                 JAS
                 OND
                 ANN