bg.e21.B1850.f09_g17.LIGtransient_124.0ka.002
and
b.e21.B1850.f09_g17.CMIP6-piControl.001
DIAG Set 3 - Line plots of DJF, MAM, JJA, SON and ANN zonal means
Surface Variables
DJF
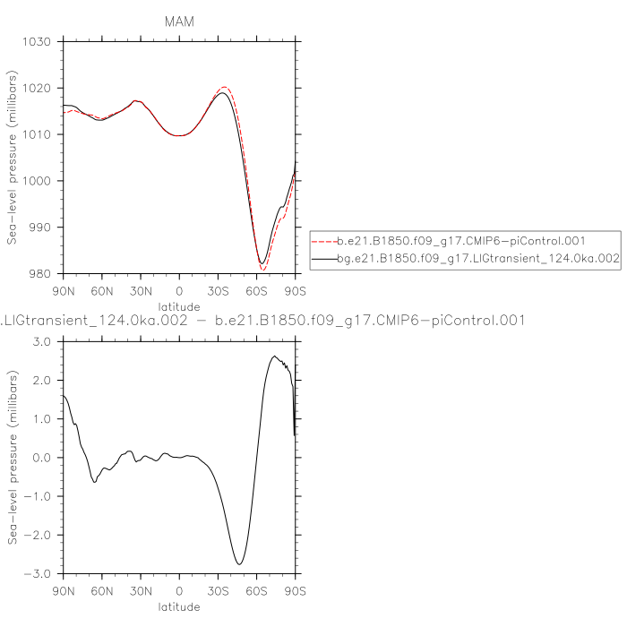
MAM
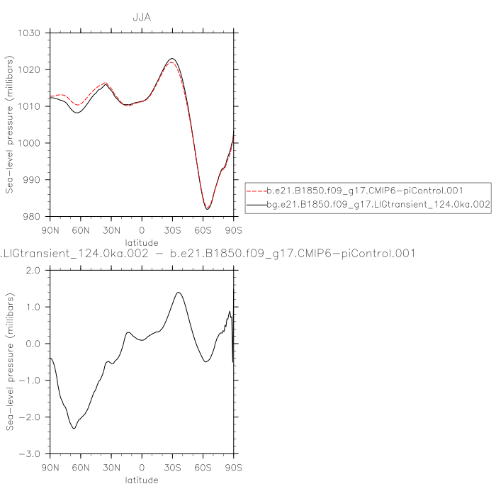
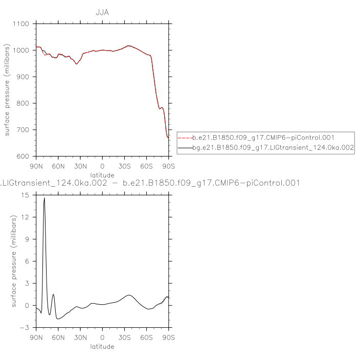
JJA
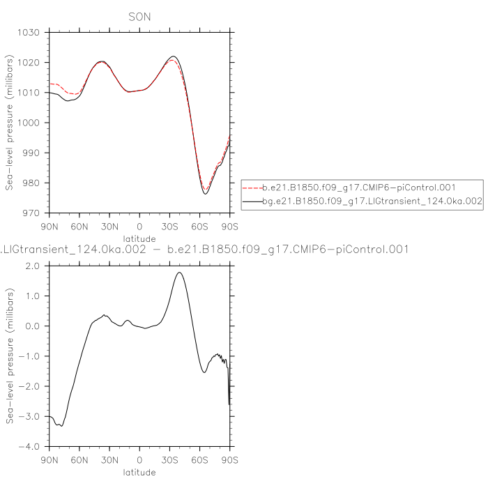
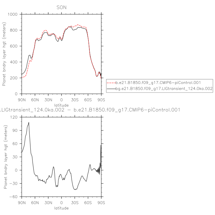
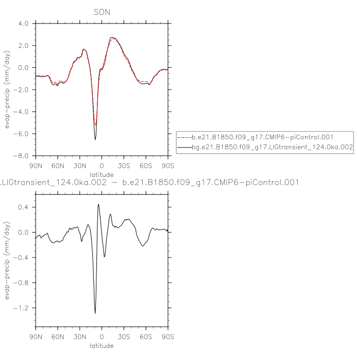
SON
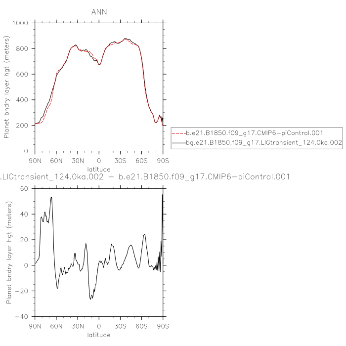
ANN
PBLH
Planetary boundary layer height
plot
plot
plot
plot
plot
PS
Surface pressure
plot
plot
plot
plot
plot
PSL *
Sea level pressure
plot
plot
plot
plot
plot
TAUX OCEAN *
Zonal surface stress (ocean)
plot
plot
plot
plot
plot
TREFHT *
2-meter air temperature
plot
plot
plot
plot
plot
TREFHT LAND *
2-meter air temperature (land)
plot
plot
plot
plot
plot
TS *
Surface temperature
plot
plot
plot
plot
plot
TS LAND *
Surface temperature (land)
plot
plot
plot
plot
plot
Hydrologic Cycle
DJF
MAM
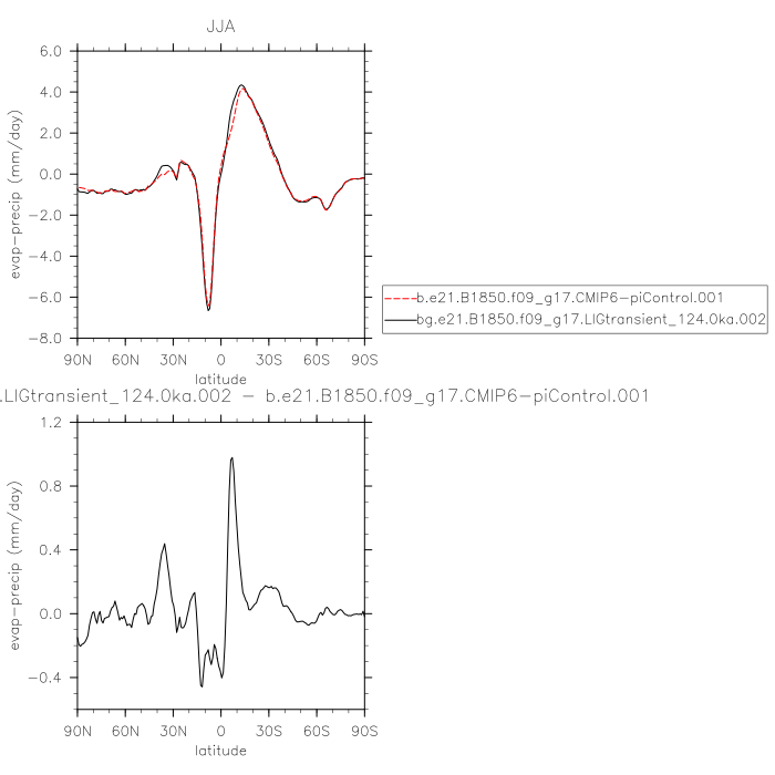
JJA
SON
ANN
EP *
Evaporation - precipiation
plot
plot
plot
plot
plot
PRECT *
Precipitation rate
plot
plot
plot
plot
plot
PREH2O *
Total precipitable water
plot
plot
plot
plot
plot
QFLX *
Surface water flux
plot
plot
plot
plot
plot
Surface Energy Fluxes
DJF
MAM
JJA
SON
ANN
FLDS
Longwave downwelling flux
plot
plot
plot
plot
plot
FLDSC
Clearsky longwave downwelling flux
plot
plot
plot
plot
plot
FLNS *
Net longwave flux
plot
plot
plot
plot
plot
FLNSC *
Clearsky net longwave flux
plot
plot
plot
plot
plot
FSDS
Shortwave downwelling flux
plot
plot
plot
plot
plot
FSDSC
Clearsky SW downwelling flux
plot
plot
plot
plot
plot
FSNS *
Net shortwave flux
plot
plot
plot
plot
plot
FSNSC *
Clearsky net shortwave flux
plot
plot
plot
plot
plot
LHFLX *
Latent heat flux
plot
plot
plot
plot
plot
RESSURF *
Residual energy flux
plot
plot
plot
plot
plot
SHFLX *
Sensible heat flux
plot
plot
plot
plot
plot
Top of Model Energy Fluxes
DJF
MAM
JJA
SON
ANN
FLNT *
Net longwave flux
plot
plot
plot
plot
plot
FLNTC *
Clearsky net longwave flux
plot
plot
plot
plot
plot
FSNT *
Net shortwave flux
plot
plot
plot
plot
plot
FSNTC *
Clearsky net shortwave flux
plot
plot
plot
plot
plot
LWCF *
Longwave cloud forcing
plot
plot
plot
plot
plot
RESTOM
Residual Flux at TOM (fsnt-flnt)
plot
plot
plot
plot
plot
SOLIN
Incoming solar radiation
plot
plot
plot
plot
plot
SWCF *
Shortwave cloud forcing
plot
plot
plot
plot
plot
Cloud Variables
DJF
MAM
JJA
SON
ANN
CLDHGH
High-level cloud cover
plot
plot
plot
plot
plot
CLDLOW
Low-level cloud cover
plot
plot
plot
plot
plot
CLDMED
Mid-level cloud cover
plot
plot
plot
plot
plot
CLDTOT *
Total cloud cover
plot
plot
plot
plot
plot
TGCLDIWP
Total grid-box cloud liquid water path (ice)
plot
plot
plot
plot
plot
TGCLDLWP
Total grid-box cloud liquid water path (liquid)
plot
plot
plot
plot
plot
TICLDIWP
Total integrated in-cloud ice WP
plot plot plot plot plot
TICLDLIQWP
Total integrated in-cloud liquid WP
plot plot plot plot plot
TICLDLWP
Total integrated in-cloud liquid+ice WP
plot plot plot plot plot
Meridional Eddy Fluxes
DJF
MAM
JJA
SON
ANN
VBSTAR_TBSTAR
Stationary Heat Flux
plot
plot
plot
plot
plot
VPTP_BAR
Transient Heat Flux
plot
plot
plot
plot
plot
VBSTAR_QBSTAR
Stationary Moisture Flux
plot
plot
plot
plot
plot
VPQP_BAR
Transient Moisture Flux
plot
plot
plot
plot
plot
VBSTAR_UBSTAR
Stationary Momentum Flux
plot
plot
plot
plot
plot
VPUP_BAR
Transient Momentum Flux
plot
plot
plot
plot
plot
Aerosols
DJF
MAM
JJA
SON
ANN
AODVIS
Aerosol Optical Depth
plot
plot
plot
plot
plot
AODDUST
Dust Optical Depth
plot
plot
plot
plot
plot
CFMIP Observation Simulator Package (COSP) Primary Diagnostics
CALIPSO GOCCP 2007-2010
DJF
MAM
JJA
SON
ANN
CLDTOT_CAL
Total cloud amount
plot plot plot plot plot
CLDLOW_CAL
Low-level cloud amount
plot plot plot plot plot
CLDMED_CAL
Mid-level cloud amount
plot plot plot plot plot
CLDHGH_CAL
High-level cloud amount
plot plot plot plot plot
ISCCP-COSP From D1 Daytime Jul1983-Sep2008
DJF
MAM
JJA
SON
ANN
CLDTOT_ISCCPCOSP
Total cloud amount (tau > 0.3)
plot plot plot plot plot
CLDTHICK_ISCCPCOSP
Optically thick cloud amount (tau > 23.0)
plot plot plot plot plot
MISR L3 CTH-OD V5 Mar2000-Nov2009
DJF
MAM
JJA
SON
ANN
CLDTOT_MISR
Total cloud amount (tau > 0.3)
plot plot plot plot plot
CLDTHICK_MISR
Optically thick cloud amount (tau > 23.0)
plot plot plot plot plot
MODIS-COSP 2003-2010
DJF
MAM
JJA
SON
ANN
CLDTOT_MODIS
Total cloud amount (tau > 0.3)
plot plot plot plot plot
CLDTHICK_MODIS
Optically thick cloud amount (tau > 23.0)
plot plot plot plot plot
Additional COSP Diagnostics
CALIPSO GOCCP 2007-2010
DJF
MAM
JJA
SON
ANN
CLDTOT_CAL
Total cloud amount
plot plot plot plot plot
CLDLOW_CAL
Low-level cloud amount
plot plot plot plot plot
CLDMED_CAL
Mid-level cloud amount
plot plot plot plot plot
CLDHGH_CAL
High-level cloud amount
plot plot plot plot plot
CLOUDSAT-COSP From Level 2 GEOPROF Jun2006-Nov2010
DJF
MAM
JJA
SON
ANN
CLDTOT_CS2
Total cloud amount
plot plot plot plot plot
ISCCP-COSP From D1 Daytime Jul1983-Sep2008
DJF
MAM
JJA
SON
ANN
CLDTOT_ISCCPCOSP
Total cloud amount (tau > 0.3)
plot plot plot plot plot
CLDLOW_ISCCPCOSP
Low-topped cloud amount (tau > 0.3)
plot plot plot plot plot
CLDMED_ISCCPCOSP
Mid-topped cloud amount (tau > 0.3)
plot plot plot plot plot
CLDHGH_ISCCPCOSP
High-topped cloud amount (tau > 0.3)
plot plot plot plot plot
CLDTHICK_ISCCPCOSP
Optically thick cloud amount (tau > 23.0)
plot plot plot plot plot
MEANPTOP_ISCCPCOSP
Mean cloud top pressure
plot plot plot plot plot
MEANCLDALB_ISCCPCOSP
Mean cloud albedo
plot plot plot plot plot
MISR L3 CTH-OD V5 Mar2000-Nov2009
DJF
MAM
JJA
SON
ANN
CLDTOT_MISR
Total cloud amount (tau > 0.3)
plot plot plot plot plot
CLDLOW_MISR
Low-topped cloud amount (tau > 0.3)
plot plot plot plot plot
CLDMED_MISR
Mid-topped cloud amount (tau > 0.3)
plot plot plot plot plot
CLDHGH_MISR
High-topped cloud amount (tau > 0.3)
plot plot plot plot plot
CLDTHICK_MISR
Optically thick cloud amount (tau > 23.0)
plot plot plot plot plot
MODIS-COSP 2003-2010
DJF
MAM
JJA
SON
ANN
CLDTOT_MODIS
Total cloud amount (tau > 0.3)
plot plot plot plot plot
CLDLOW_MODIS
Low-topped cloud amount (tau > 0.3)
plot plot plot plot plot
CLDMED_MODIS
Mid-topped cloud amount (tau > 0.3)
plot plot plot plot plot
CLDHGH_MODIS
High-topped cloud amount (tau > 0.3)
plot plot plot plot plot
CLDTHICK_MODIS
Optically thick cloud amount (tau > 23.0)
plot plot plot plot plot
CLIMODIS
Total ice cloud amount
plot plot plot plot plot
CLWMODIS
Total liquid cloud amount
plot plot plot plot plot
IWPMODIS
Mean ice water path
plot plot plot plot plot
LWPMODIS
Mean liquid water path
plot plot plot plot plot
PCTMODIS
Mean cloud top pressure
plot plot plot plot plot
REFFCLIMODIS
Mean effective radius (ice clouds)
plot plot plot plot plot
REFFCLWMODIS
Mean effective radius (liquid clouds)
plot plot plot plot plot
TAUILOGMODIS
Log-weighted mean optical thickness (ice clouds)
plot plot plot plot plot
TAUWLOGMODIS
Log-weighted mean optical thickness (liquid clouds)
plot plot plot plot plot
TAUTLOGMODIS
Log-weighted mean optical thickness (all clouds)
plot plot plot plot plot
TAUIMODIS
Mean optical thickness (ice clouds)
plot plot plot plot plot
TAUWMODIS
Mean optical thickness (liquid clouds)
plot plot plot plot plot
TAUTMODIS
Mean optical thickness (all clouds)
plot plot plot plot plot
* WGNE diagnostic variable