CICE Output for  bg.e21.B1850.f09_g17.LIGtransient_121.0ka.002
Hemisphere time series.
 
    Time Series of Ice Volume, Snow Volume and Ice Area
    NH 
    SH 
  
   Monthly Means
   plot
   plot
 
    Monthly Mean Ice Volume vs. PIOMAS (20thC)
   ----
   ----
  
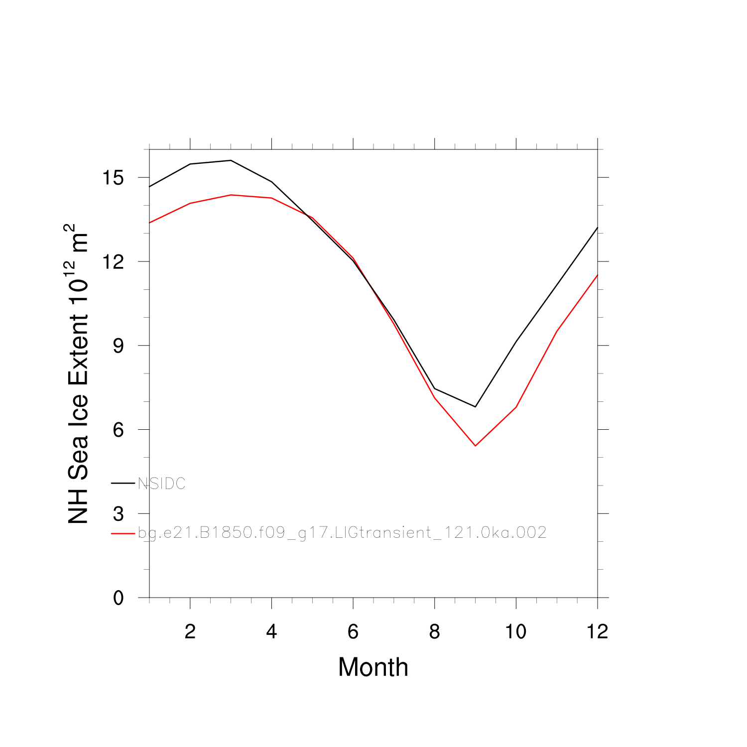
   Climatological Monthly Mean Extent vs Obs
   plot
   plot
 
    Annual and Seasonal Means
   JFM
                 AMJ
                 JAS
                 OND
                 ANN
   JFM
                 AMJ
                 JAS
                 OND
                 ANN
 
    Annual and Seasonal Means vs. LENS members (20thC)
   ----
                 ----
                 ----
                 ----
                 ----
   ----
                 ----
                 ----
                 ----
                 ----
 
    Annual and Seasonal Ice Volume vs. PIOMAS (20thC)
   ----
                 ----
                 ----
                 ----
                 ----
   ----
                 ----
                 ----
                 ----
                 ----
 
    Annual and Seasonal Anomalies
   JFM
                 AMJ
                 JAS
                 OND
                 ANN
   JFM
                 AMJ
                 JAS
                 OND
                 ANN