b.e20.BHIST.f09_g16.20thC.125.02
and
b.e20.B1850.f09_g16.pi_control.all.125
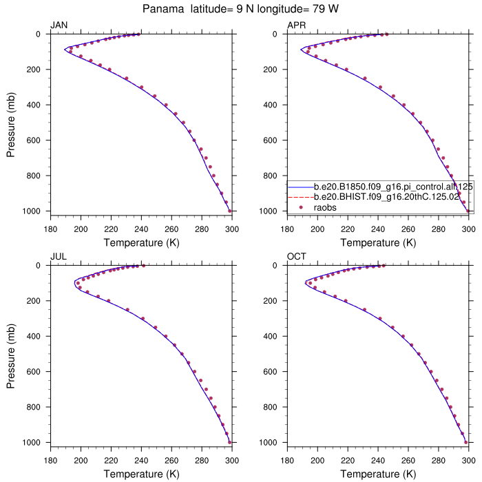
Set 12 - Vertical Profiles at 17 selected raobs stations
| Station Name | T | Q | H |
|---|---|---|---|
| Thule Greenland | plot | plot | plot |
| Resolute NWT Canada | plot | plot | plot |
| Ship P Gulf of Alaska | plot | plot | plot |
| Midway Island (N Pacific) | plot | plot | plot |
| Northern Great Plains USA | plot | plot | plot |
| San Francisco Calif USA | plot | plot | plot |
| Western Europe | plot | plot | plot |
| Miami Florida USA | plot | plot | plot |
| Panama Central America | plot | plot | plot |
| Hawaii (Eq Pacific) | plot | plot | plot |
| Marshall Islands (Eq Pacific) | plot | plot | plot |
| Yap Island (Eq Pacific) | plot | plot | plot |
| Truk Island (Eq Pacific) | plot | plot | plot |
| Diego Garcia (Eq Indian) | plot | plot | plot |
| Ascension Island (Eq Atlantic) | plot | plot | plot |
| Easter Island (S Pacific) | plot | plot | plot |
| McMurdo Antarctica | plot | plot | plot |