CICE Output for b.e21.BCO2x4.f19_g17.CMIP6-abrupt4xCO2-2deg.001


Hemisphere time series.
Time Series of Ice Volume, Snow Volume and Ice Area NH SH
Monthly Means plot plot
Monthly Mean Ice Volume vs. PIOMAS (20thC) ---- ----
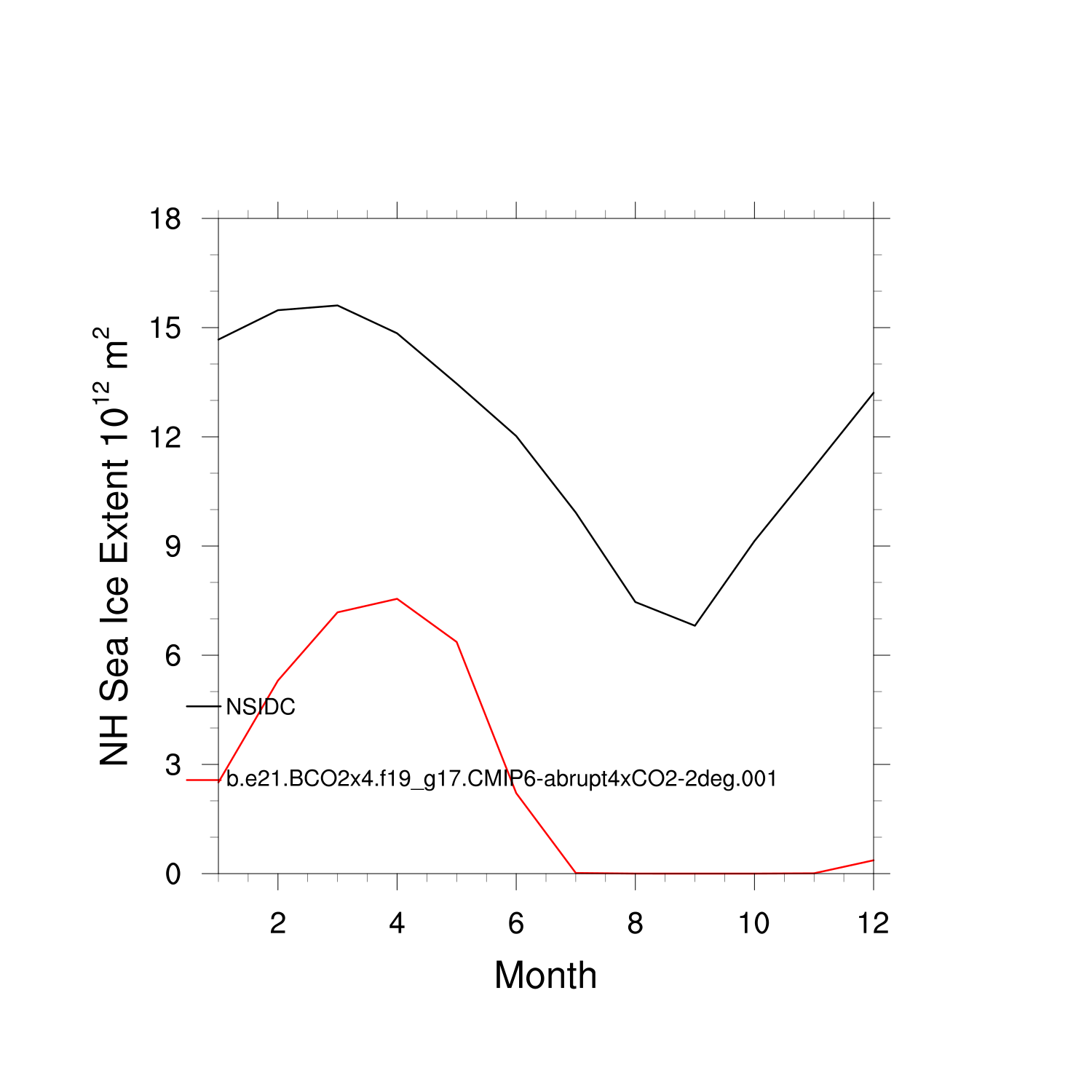
Climatological Monthly Mean Extent vs Obs plot plot
Annual and Seasonal Means JFM AMJ JAS OND ANN JFM AMJ JAS OND ANN
Annual and Seasonal Means vs. LENS members (20thC) ---- ---- ---- ---- ---- ---- ---- ---- ---- ----
Annual and Seasonal Ice Volume vs. PIOMAS (20thC) ---- ---- ---- ---- ---- ---- ---- ---- ---- ----
Annual and Seasonal Anomalies JFM AMJ JAS OND ANN JFM AMJ JAS OND ANN

Plots Created
Thu Dec 12 12:02:59 2019