CVDP logo
  • Methodology and Definitions

  • Metrics: Individual Tables
  • Namelists: Input | Derived
  • Created: Mon Dec 22 02:24:58 PM MST 2025
    CVDP Version 6.1.0
    Trend Removal: |
  • Individual Member Mode

CESM3 267-273 piC (detrended)

Coupled Modes of Variability

ENSO Spatial Composites
El Niño - La Niña
SST/TAS/PSL
El Niño - La Niña
PR
El Niño - La Niña
ZOS
El Niño SST/TAS/PSL
El Niño PR
El Niño ZOS
La Niña SST/TAS/PSL
La Niña PR
La Niña ZOS
El Niño Hovmöller
La Niña Hovmöller
Niño3.4 Timeseries Monthly Std. Dev.
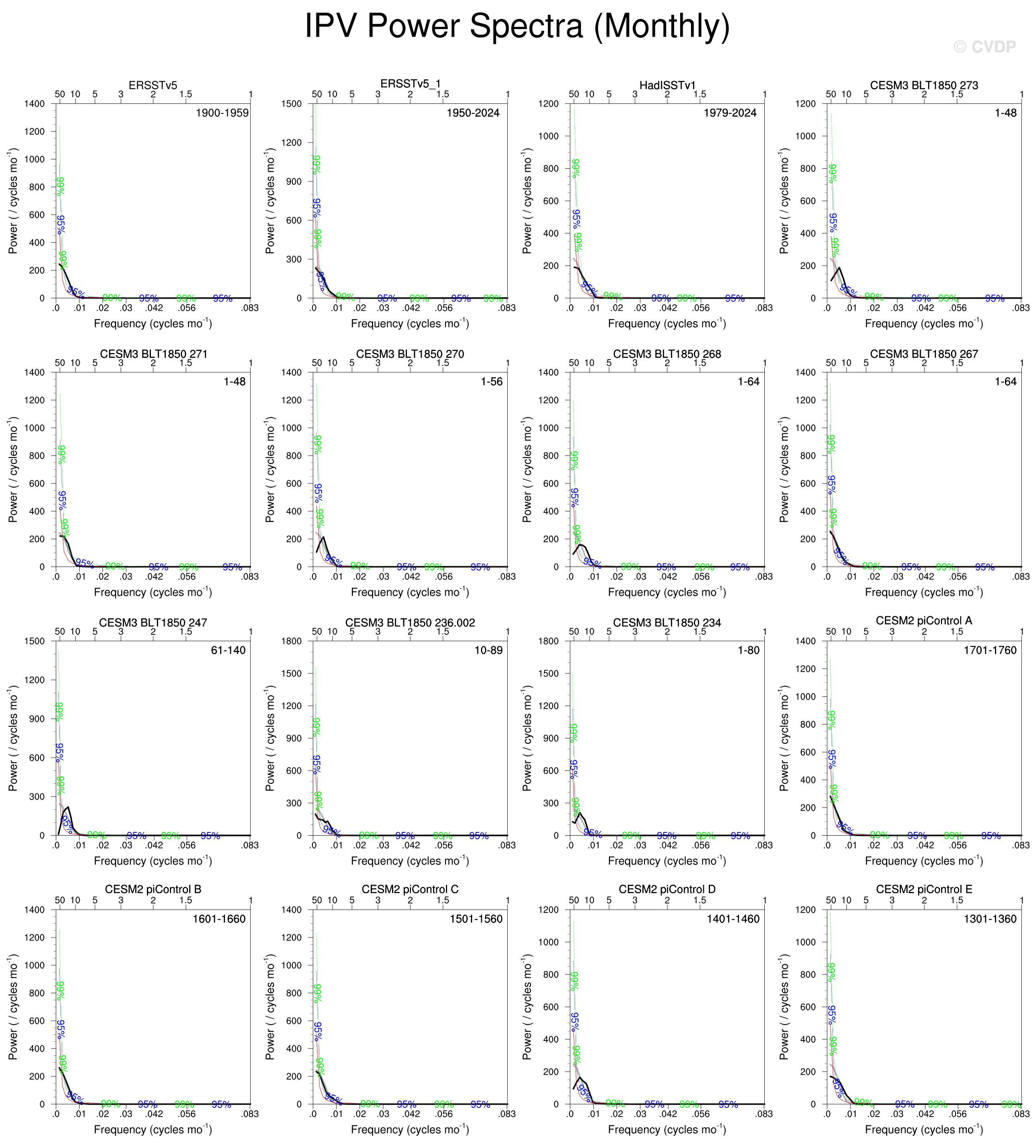
Power Spectra
Autocorrelation Running Standard Deviation
AMV Regr: Timeseries Power Spectra
Regr LP: Timeseries
PDV Regr: Timeseries Power Spectra
IPV Standard: Timeseries Power Spectra
Henley: Timeseries Power Spectra
AMOC
Timeseries
Spectra AMV/AMOC Lag Correlations

Global Timeseries

SST DJF JFM MAM JJA JAS SON ANN
TAS DJF JFM MAM JJA JAS SON ANN
PR DJF JFM MAM JJA JAS SON ANN
PR
(land-only)
DJF JFM MAM JJA JAS SON ANN

Regional Timeseries

Atlantic SST Meridional Mode
Timeseries  
Atlantic Niño SST
Timeseries  
North Atlantic SST
Timeseries  
Tropical North Atlantic SST
Timeseries  
Tropical South Atlantic SST
Timeseries  
niño1+2 SST
Timeseries 
niño3 SST
Timeseries  
niño3.4 SST
Timeseries  
niño4 SST
Timeseries  
North Pacific PSL Index (NPI)
Timeseries  
North Pacific SST Meridional Mode
Timeseries  
South Pacific SST Meridional Mode
Timeseries  
Indian Ocean SST Dipole
Timeseries  
Tropical Indian Ocean SST
Timeseries  
Southern Ocean SST
Timeseries