b.e21.BRCP85.f09_g17.cesm2-cmip5.101
and
OBS data (info)
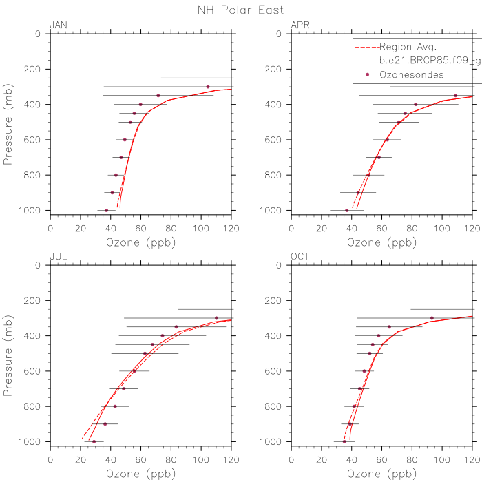
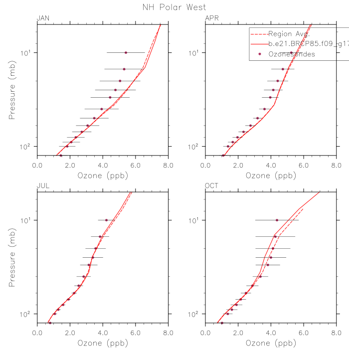
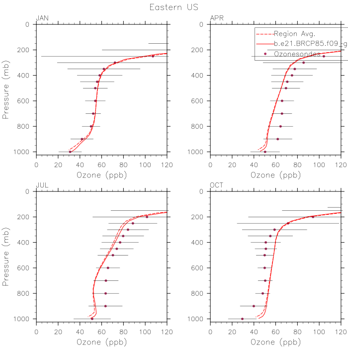
Set 3 Chemistry - Ozone Profiles and Seasonal Cycles for different Regions from selected Ozonesonde stations
| Region Name | Profiles (Trop) | Profiles (Strat) | Seasonal Cycle | Taylor Diagram |
|---|---|---|---|---|
| NH Polar West | plot | plot | plot | plot |
| NH Polar East | plot | plot | plot | |
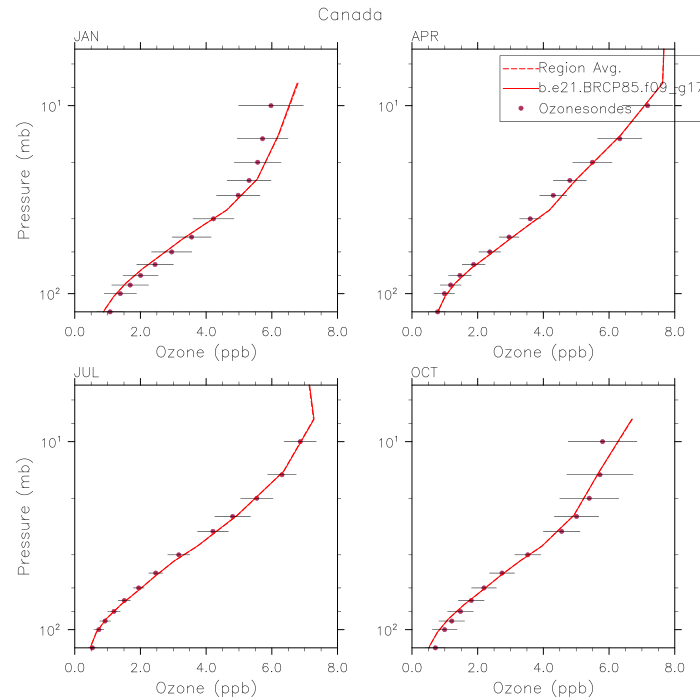
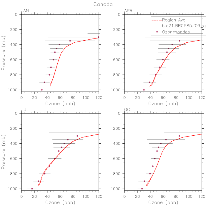
| Canada | plot | plot | plot | |
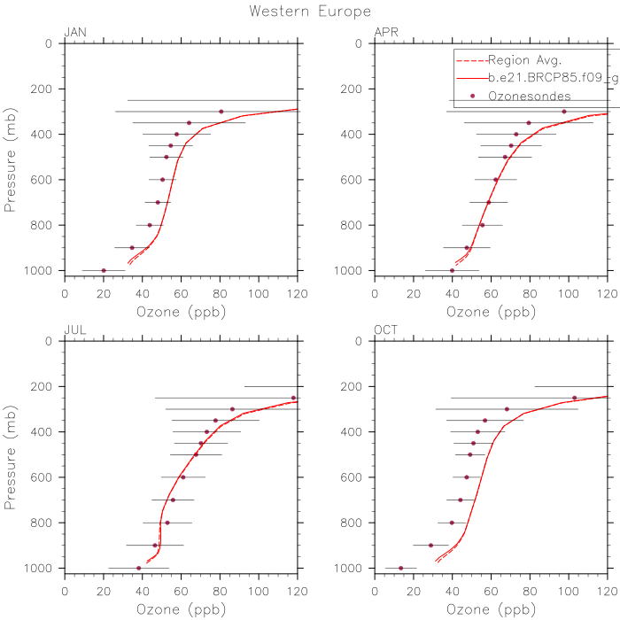
| West Europe | plot | plot | plot | |
| Eastern US | plot | plot | plot | |
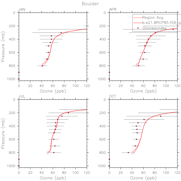
| Boulder | plot | plot | plot | |
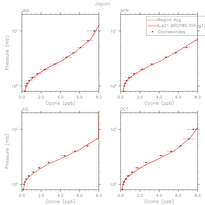
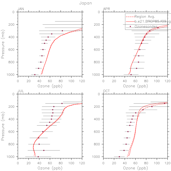
| Japan | plot | plot | plot | |
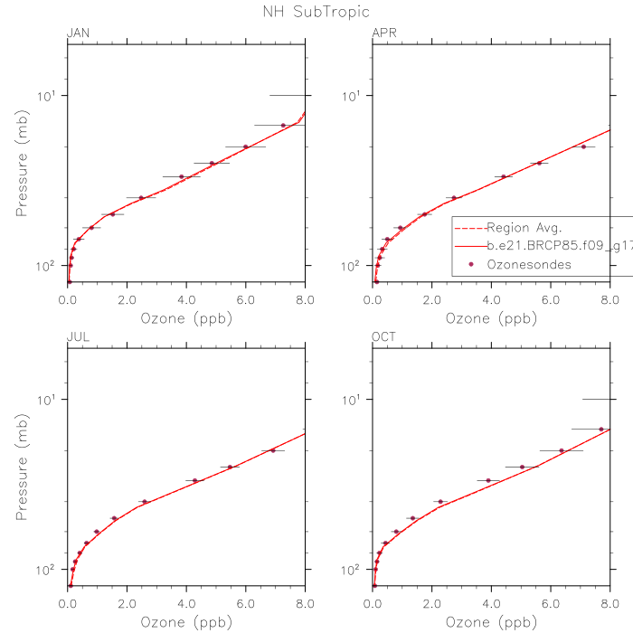
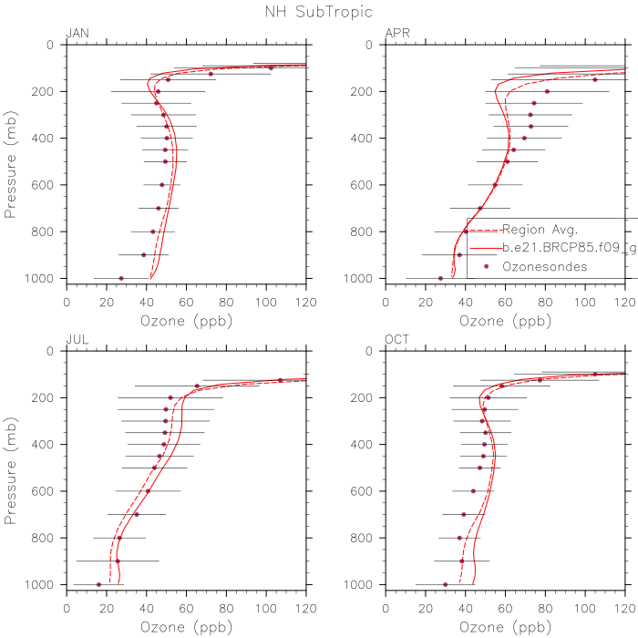
| NH Sub-Tropics | plot | plot | plot | |
| WPacific/EIndian | plot | plot | plot | |
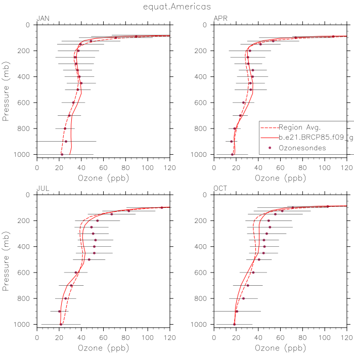
| equat.Americas | plot | plot | plot | |
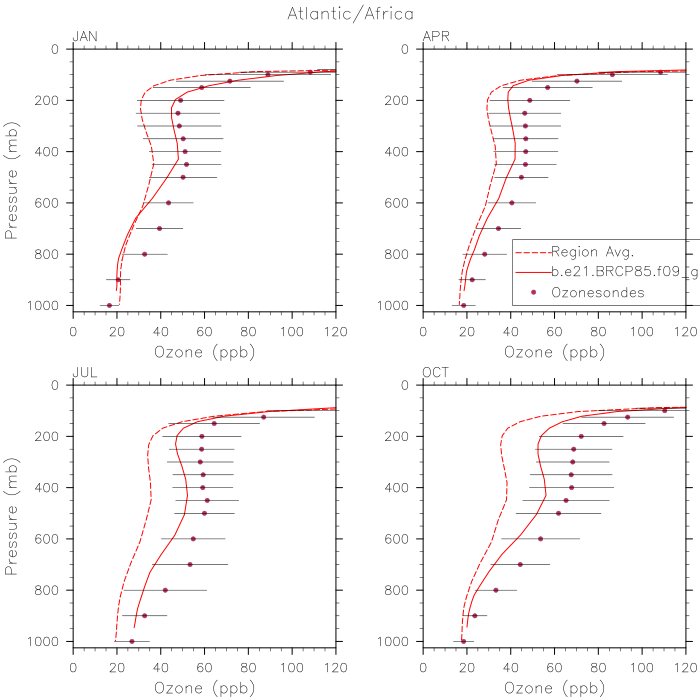
| Atlantic/Africa | plot | plot | plot | |
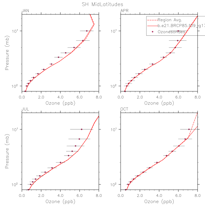
| SH Mid-Latitudes | plot | plot | plot | |
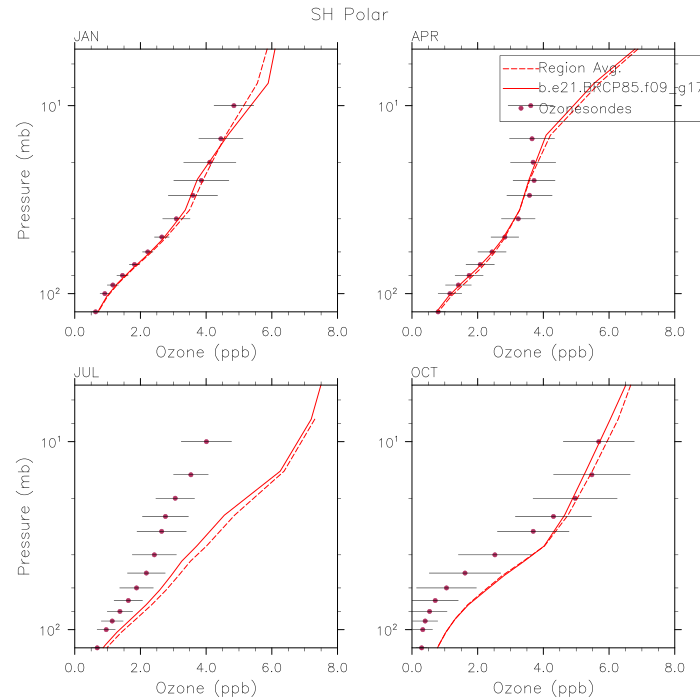
| SH Polar | plot | plot | plot | |