b.e21.BW1850.f09_g17.CMIP6-piControl.001
and
OBS data (info)
DIAG WSET2 - WAWG seasonal cycle line plots
| ERA-Interim Reanalysis 1989-2005 | 60S-90S | 55S-65S | 10S-10N | 55N-65N | 60N-90N | |||
|---|---|---|---|---|---|---|---|---|
| U, 10 Hpa | Zonal Wind | plot | plot | plot | plot | plot | ||
| H2O, 85 hPa | Water Vapor | plot | plot | plot | plot | plot | ||
| T, 85 hPa | Temperature | plot | plot | plot | plot | plot | ||
| T, Tropopause | Temperature | plot | plot | plot | plot | plot | ||
| MERRA Reanalysis 1975-2015 | 60S-90S | 55S-65S | 10S-10N | 55N-65N | 60N-90N | |||
| U, 10 Hpa | Zonal Wind | plot | plot | plot | plot | plot | ||
| H2O, 85 hPa | Water Vapor | plot | plot | plot | plot | plot | ||
| T, 85 hPa | Temperature | plot | plot | plot | plot | plot | ||
| T, Tropopause | Temperature | plot | plot | plot | plot | plot | ||
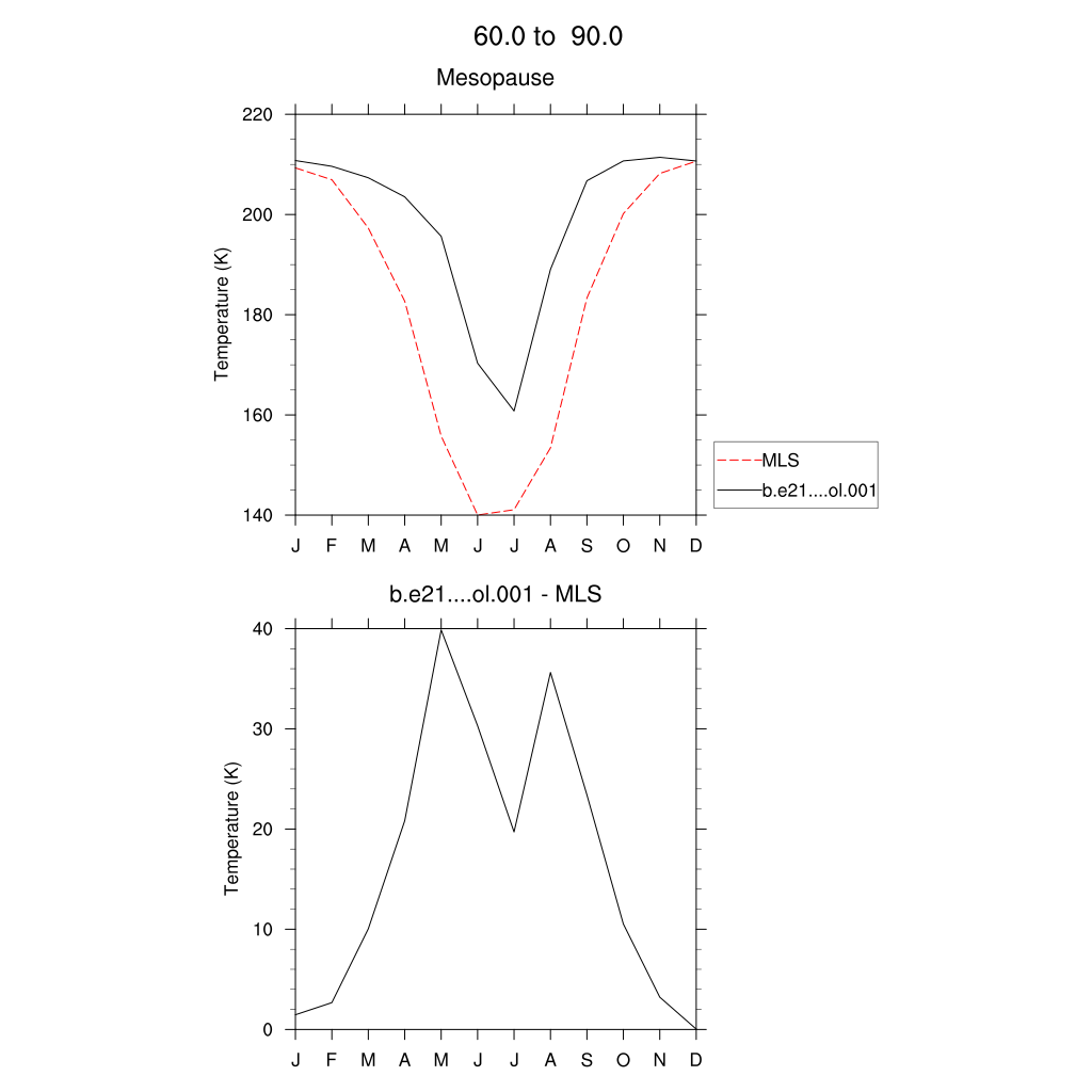
| MLS 2004-2012 | 60S-90S | 55S-65S | 10S-10N | 55N-65N | 60N-90N | |||
| H2O, 85 hPa | Water Vapor | plot | plot | plot | plot | plot | ||
| T, 85 hPa | Temperature | plot | plot | plot | plot | plot | ||
| T, Tropopause | Temperature | plot | plot | plot | plot | plot | ||
| T, Mesopause | Temperature | plot | plot | plot | plot | plot | ||