b.e21.BW1850.f09_g17.CMIP6-piControl.001
and
b.e20.BWsc1850.f09_g17.001
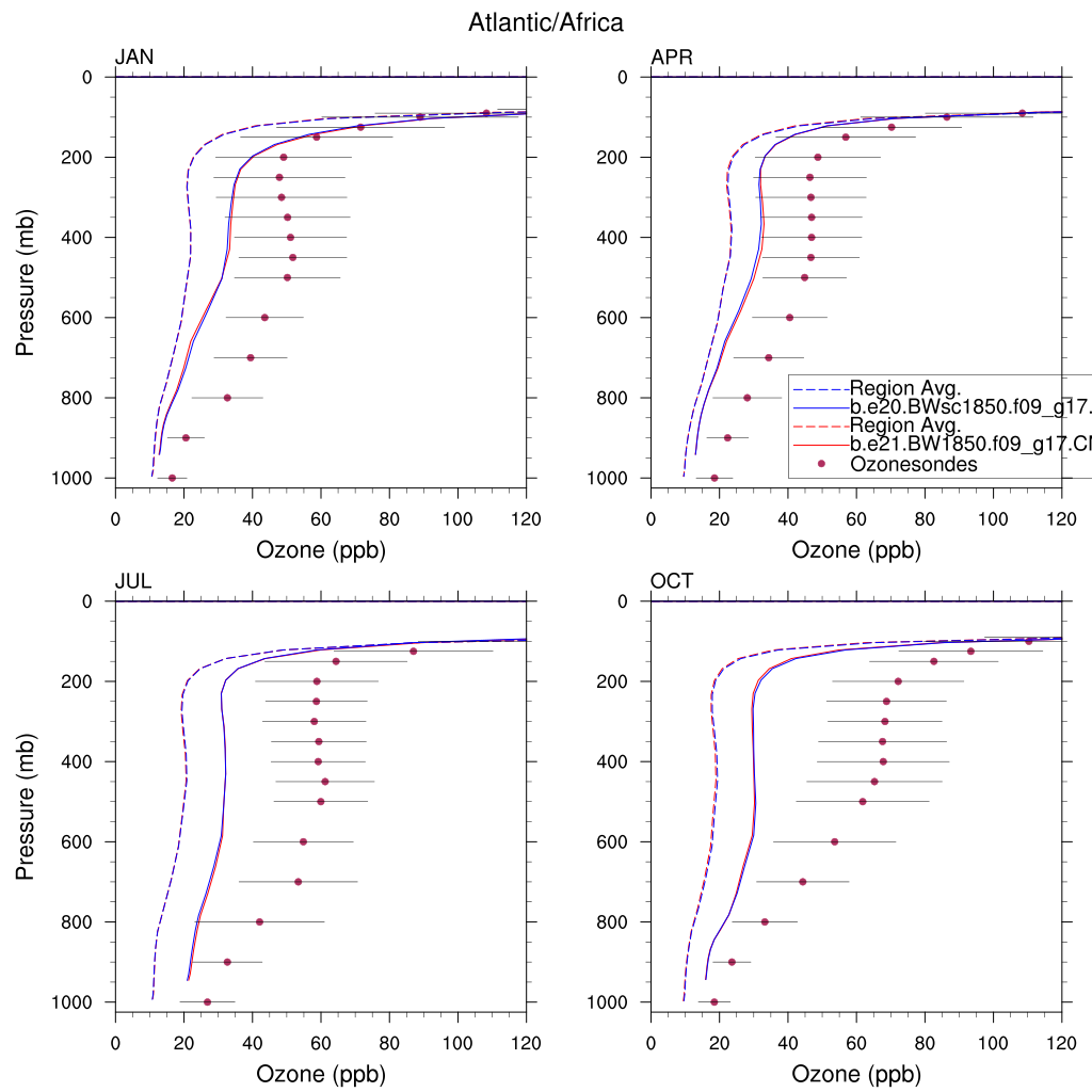
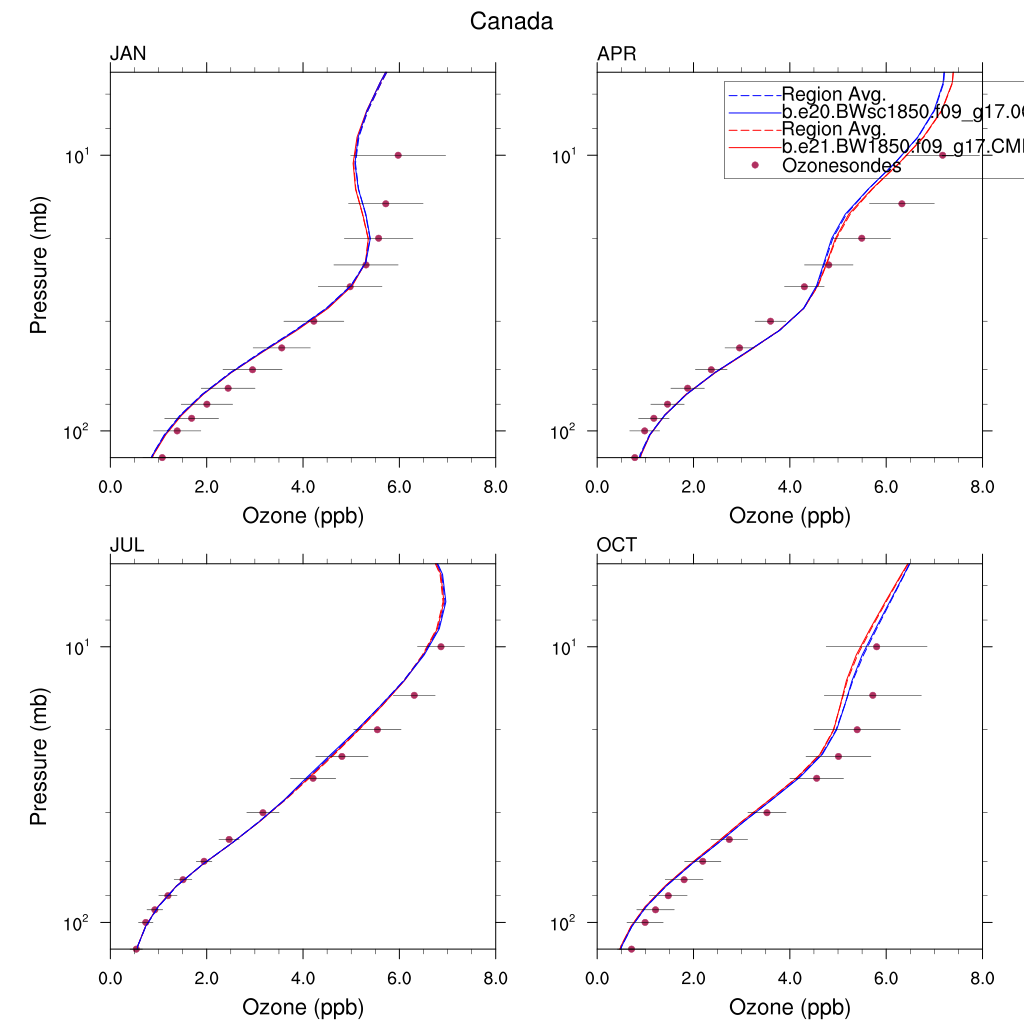
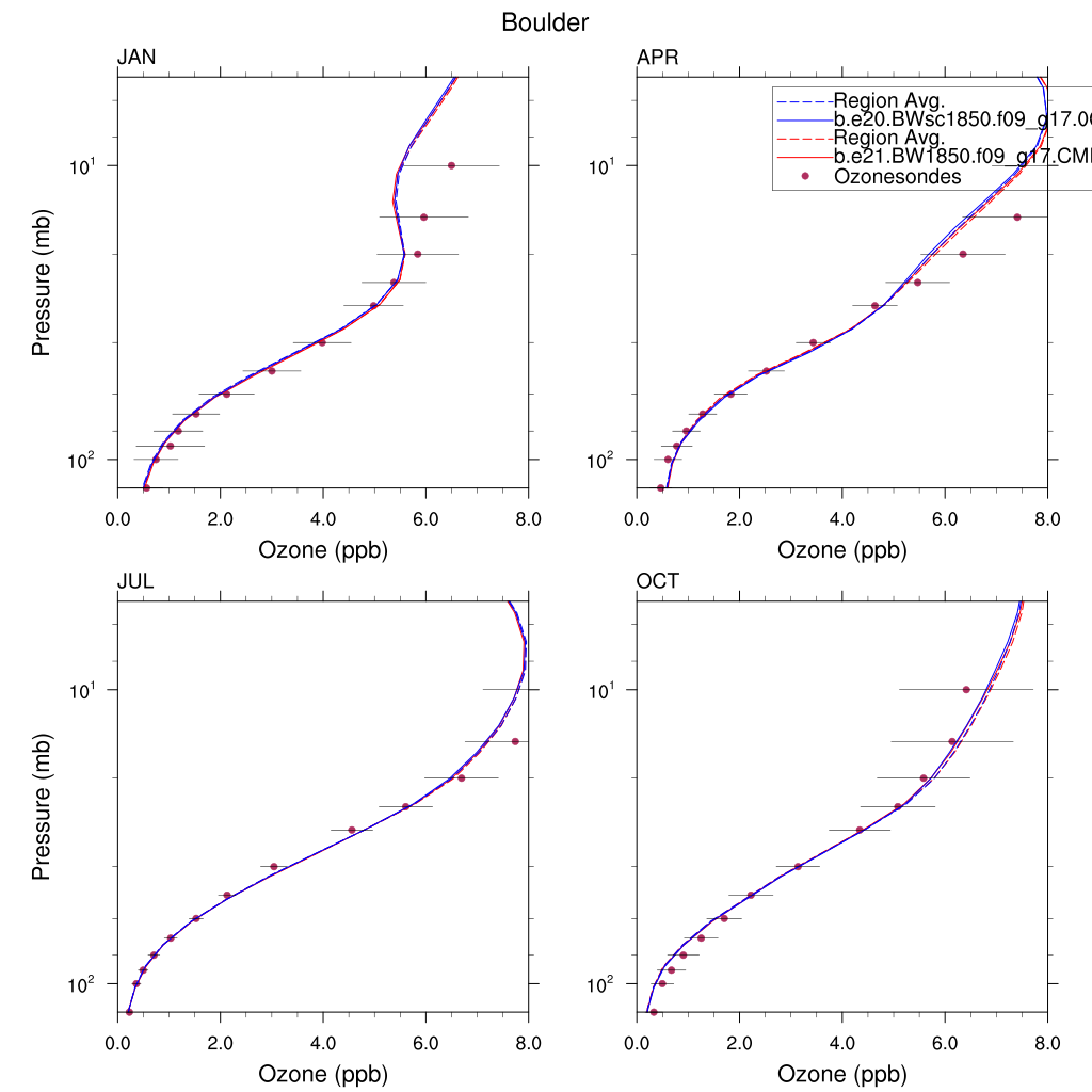
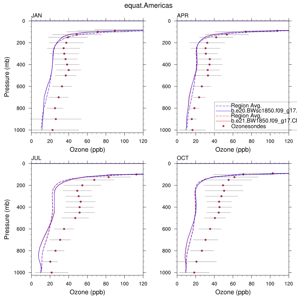
Set 3 Chemistry - Ozone Profiles and Seasonal Cycles for different Regions from selected Ozonesonde stations
| Region Name | Profiles (Trop) | Profiles (Strat) | Seasonal Cycle | Taylor Diagram |
|---|---|---|---|---|
| NH Polar West | plot | plot | plot | plot |
| NH Polar East | plot | plot | plot | |
| Canada | plot | plot | plot | |
| West Europe | plot | plot | plot | |
| Eastern US | plot | plot | plot | |
| Boulder | plot | plot | plot | |
| Japan | plot | plot | plot | |
| NH Sub-Tropics | plot | plot | plot | |
| WPacific/EIndian | plot | plot | plot | |
| equat.Americas | plot | plot | plot | |
| Atlantic/Africa | plot | plot | plot | |
| SH Mid-Latitudes | plot | plot | plot | |
| SH Polar | plot | plot | plot | |