CICE Output for b.e21.BWCO2x4.f09_g17.CMIP6-abrupt4xCO2-WACCM.001


Hemisphere time series.
Time Series of Ice Volume, Snow Volume and Ice Area NH SH
Monthly Means plot plot
Climatological Monthly Mean Extent vs Obs plot plot
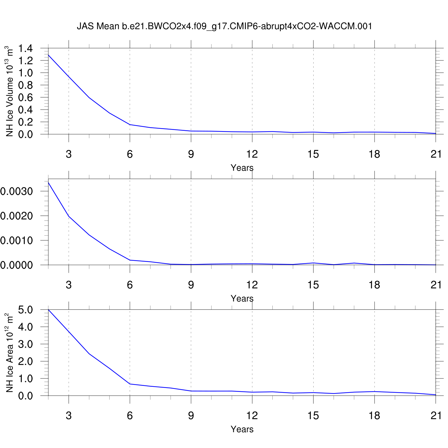
Annual and Seasonal Means JFM AMJ JAS OND ANN JFM AMJ JAS OND ANN
Annual and Seasonal Means vs. LENS members (20thC) ---- ---- ---- ---- ---- ---- ---- ---- ---- ----
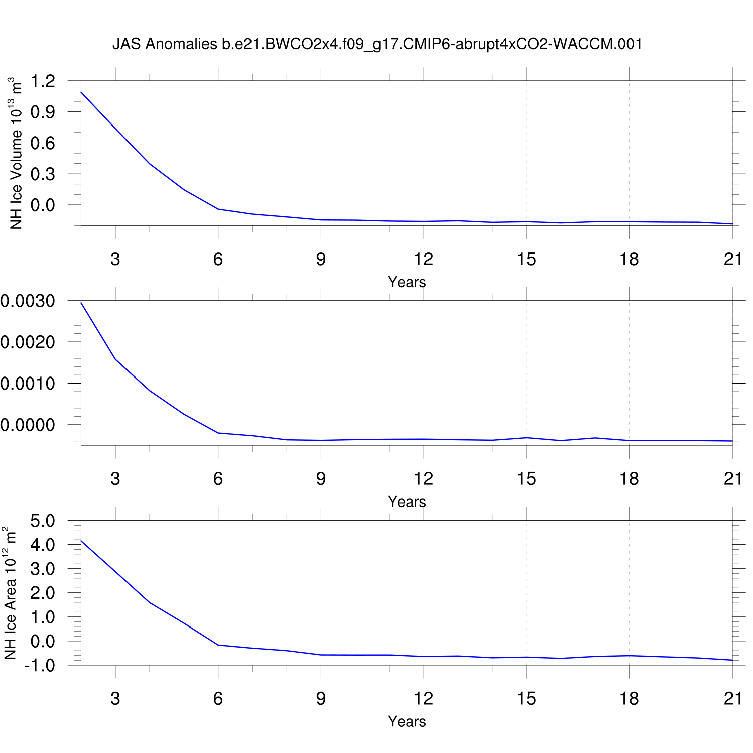
Annual and Seasonal Anomalies JFM AMJ JAS OND ANN JFM AMJ JAS OND ANN

Plots Created
Tue Nov 13 13:18:31 2018