CICE Output for b.e21.BWSSP585cmip6.f09_g17.CMIP6-SSP5-8.5-WACCM.004


Hemisphere time series.
Time Series of Ice Volume, Snow Volume and Ice Area NH SH
Monthly Means plot plot
Monthly Mean Ice Volume vs. PIOMAS (20thC) ---- ----
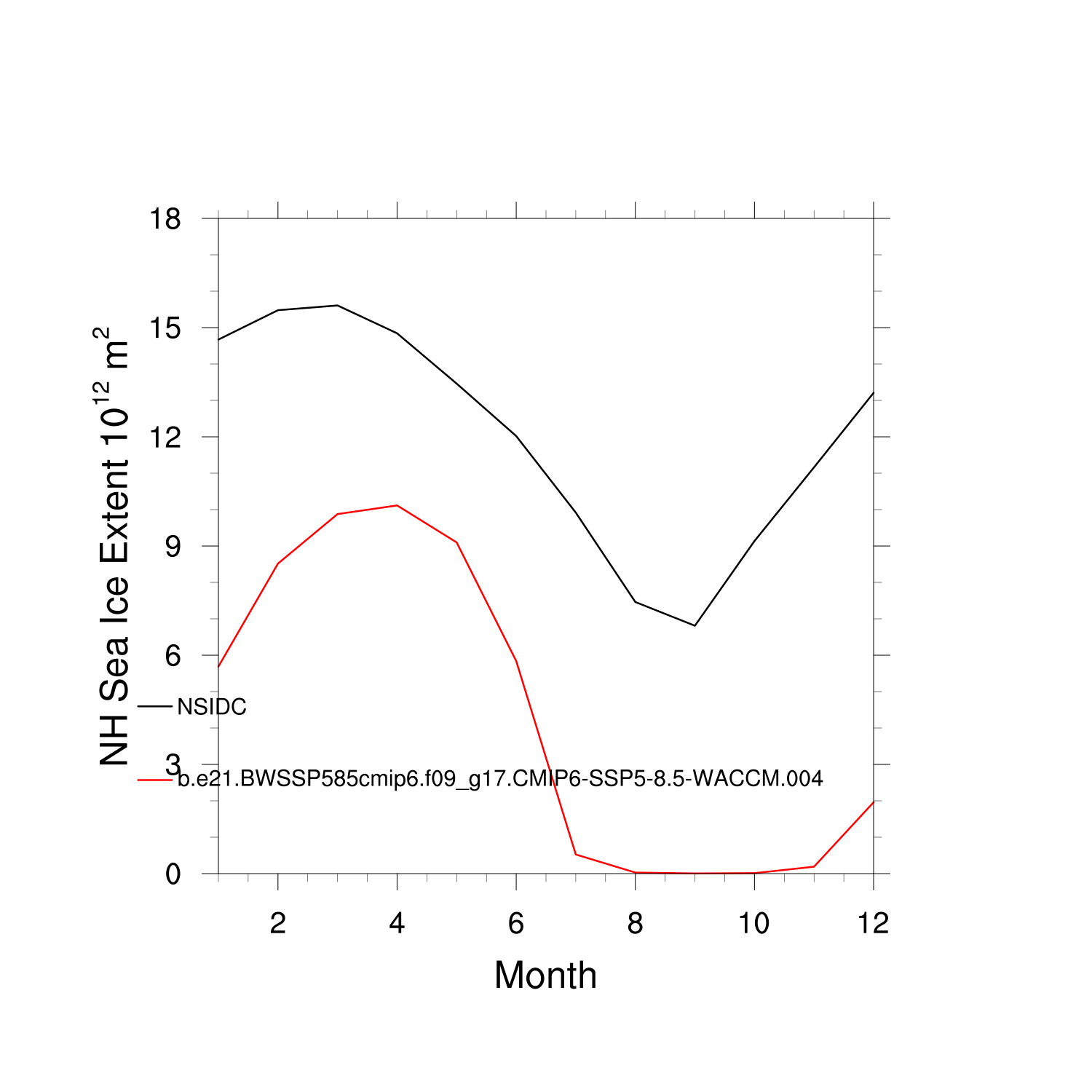
Climatological Monthly Mean Extent vs Obs plot plot
Annual and Seasonal Means JFM AMJ JAS OND ANN JFM AMJ JAS OND ANN
Annual and Seasonal Means vs. LENS members (20thC) ---- ---- ---- ---- ---- ---- ---- ---- ---- ----
Annual and Seasonal Ice Volume vs. PIOMAS (20thC) ---- ---- ---- ---- ---- ---- ---- ---- ---- ----
Annual and Seasonal Anomalies JFM AMJ JAS OND ANN JFM AMJ JAS OND ANN

Plots Created
Wed Jan 22 18:04:13 2020