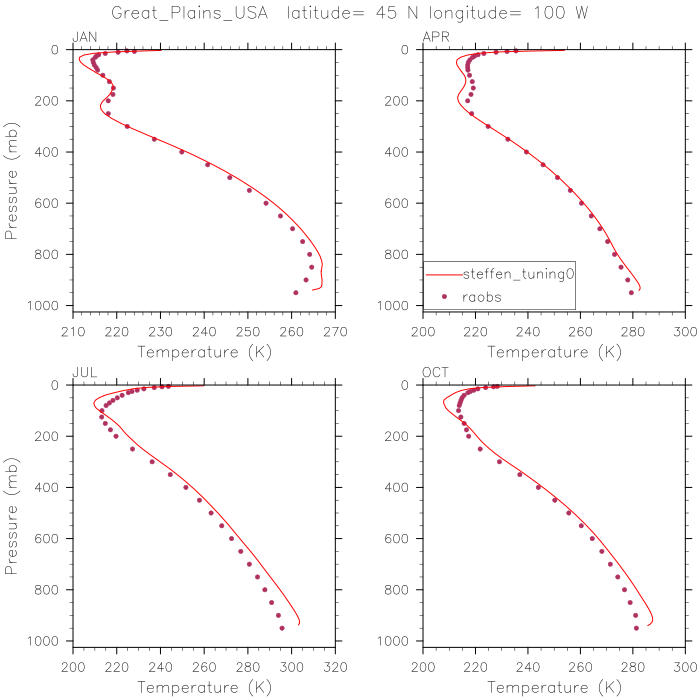
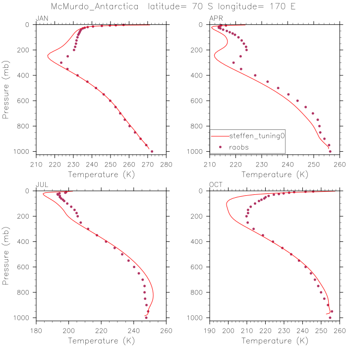
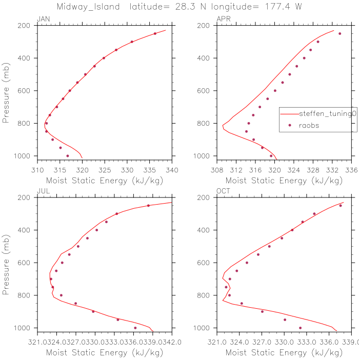
steffen_tuning0Set 12 - Vertical Profiles at 17 selected raobs stations
| Station Name | T | Q | H |
|---|---|---|---|
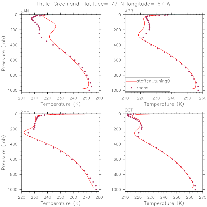
| Thule Greenland | plot | plot | plot |
| Resolute NWT Canada | plot | plot | plot |
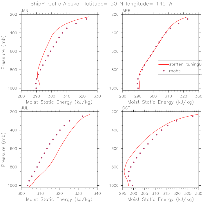
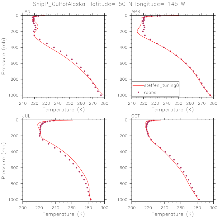
| Ship P Gulf of Alaska | plot | plot | plot |
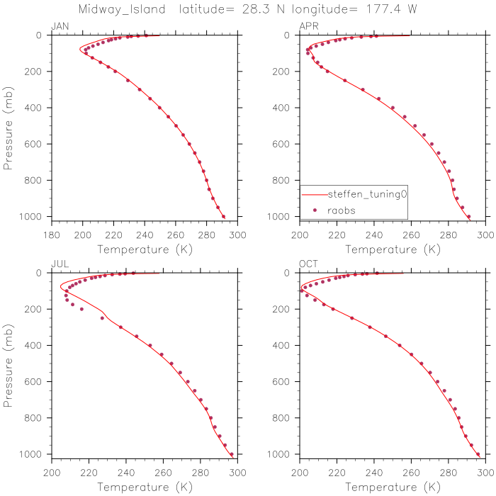
| Midway Island (N Pacific) | plot | plot | plot |
| Northern Great Plains USA | plot | plot | plot |
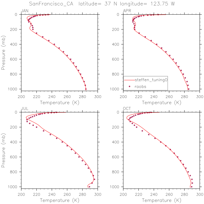
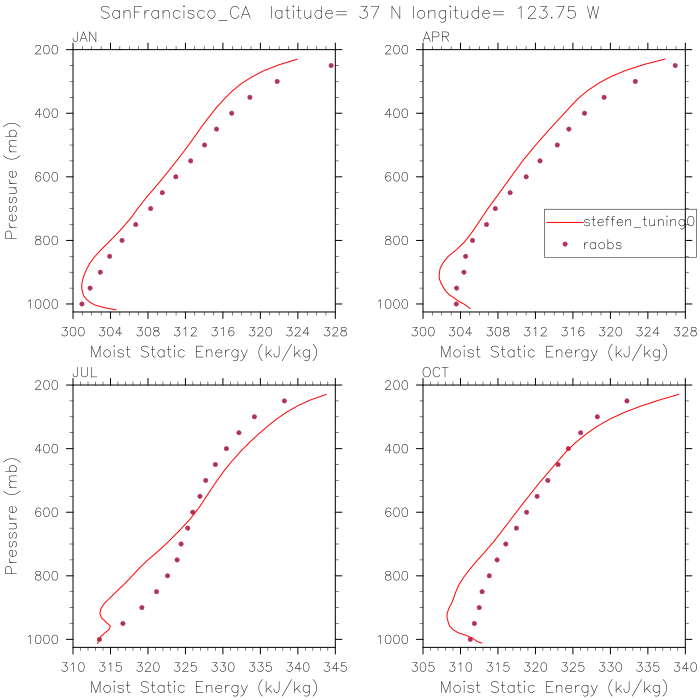
| San Francisco Calif USA | plot | plot | plot |
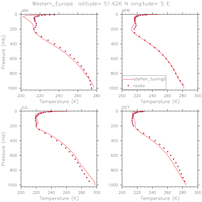
| Western Europe | plot | plot | plot |
| Miami Florida USA | plot | plot | plot |
| Panama Central America | plot | plot | plot |
| Hawaii (Eq Pacific) | plot | plot | plot |
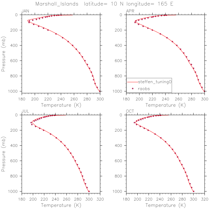
| Marshall Islands (Eq Pacific) | plot | plot | plot |
| Yap Island (Eq Pacific) | plot | plot | plot |
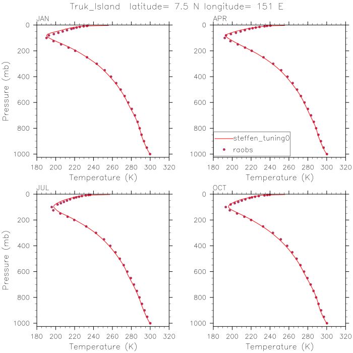
| Truk Island (Eq Pacific) | plot | plot | plot |
| Diego Garcia (Eq Indian) | plot | plot | plot |
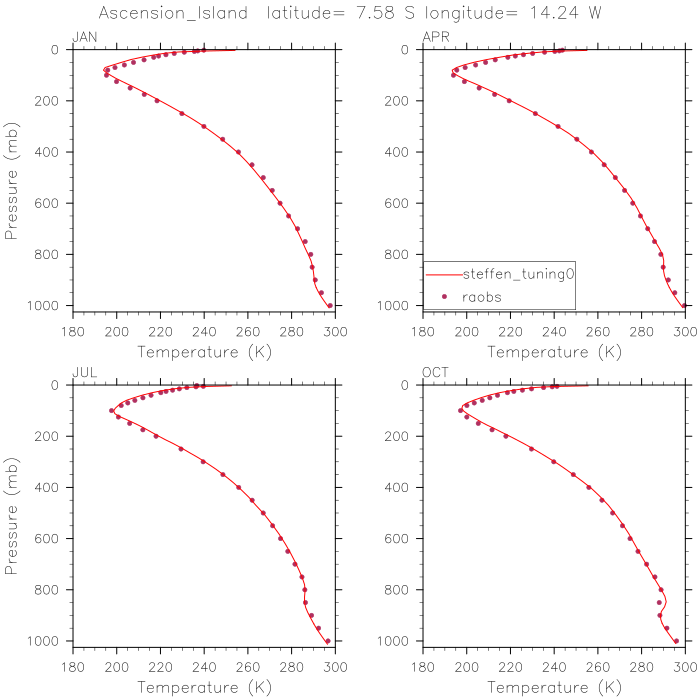
| Ascension Island (Eq Atlantic) | plot | plot | plot |
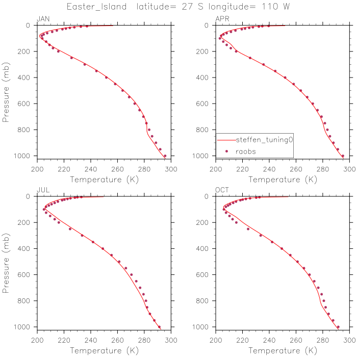
| Easter Island (S Pacific) | plot | plot | plot |
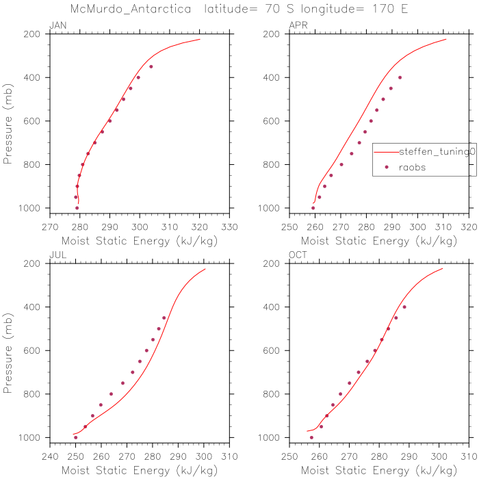
| McMurdo Antarctica | plot | plot | plot |