Set 3

f.e12.FAMIPC5.ne120_g16.rcp4.5.001
and
f.e12.FAMIPC5.ne30_g16.rcp4.5.001

Back to diagnostic sets

DIAG Set 3 - Line plots of DJF, MAM, JJA, SON and ANN zonal means



Surface Variables DJF MAM JJA SON ANN
PBLH Planetary boundary layer height plot plot plot plot plot
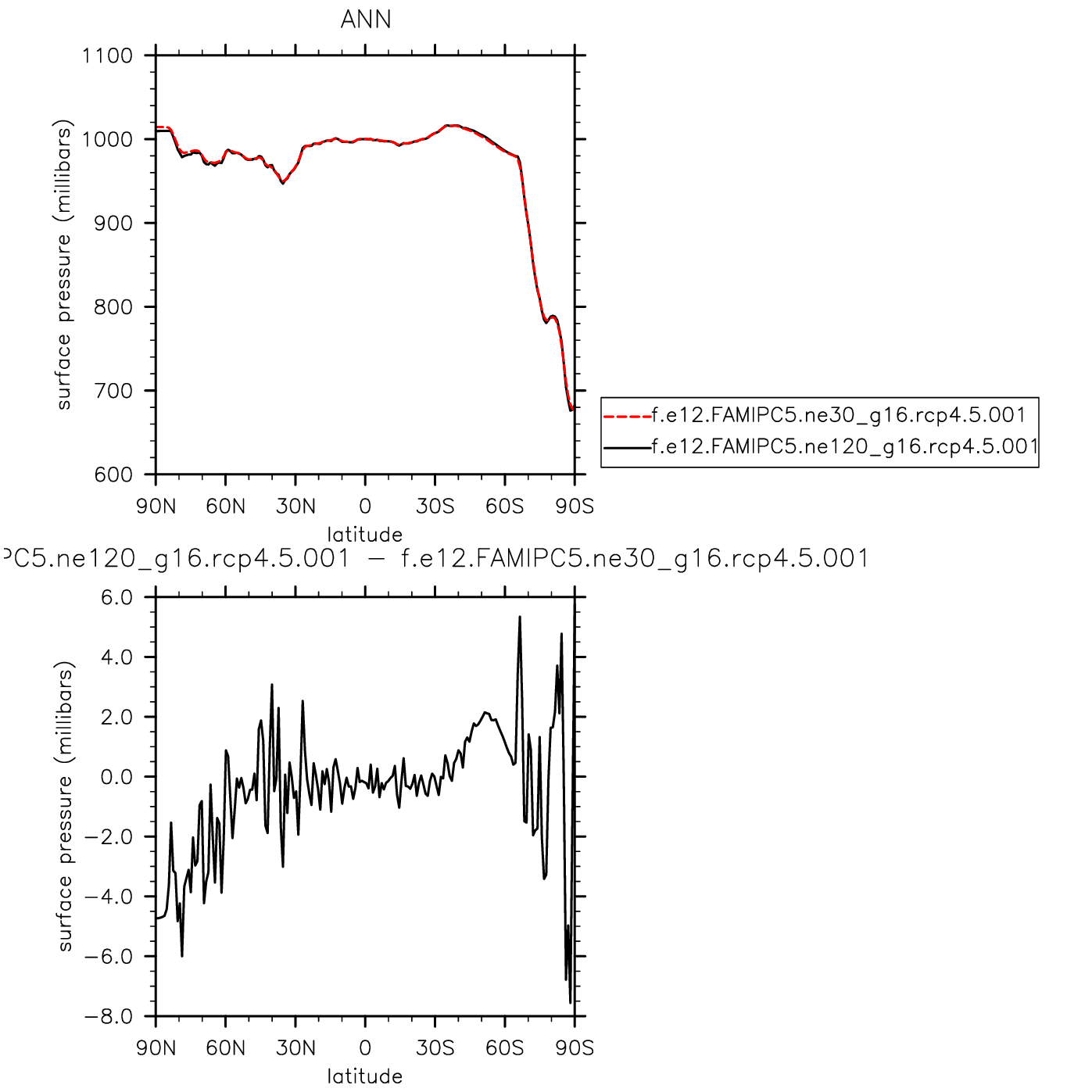
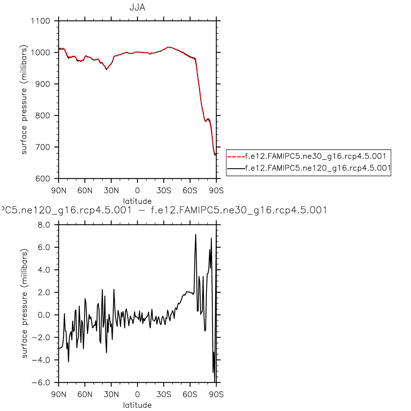
PS Surface pressure plot plot plot plot plot
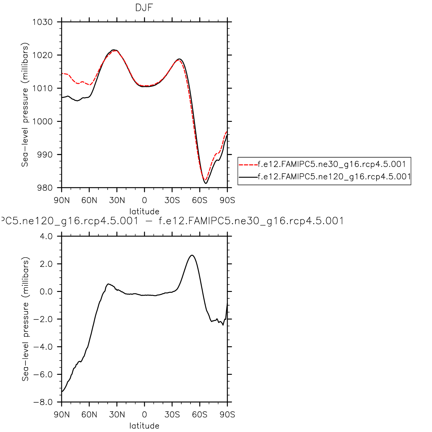
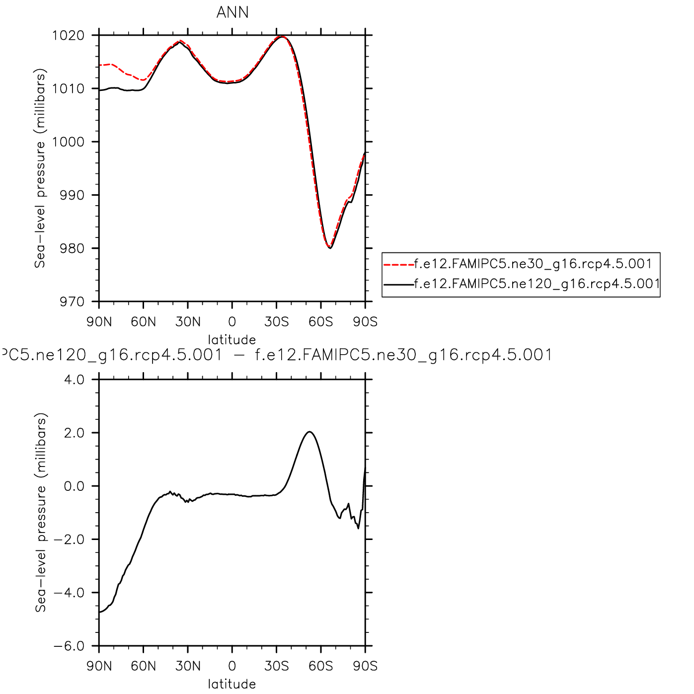
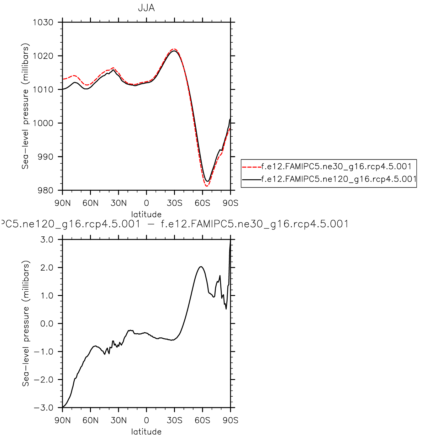
PSL * Sea level pressure plot plot plot plot plot
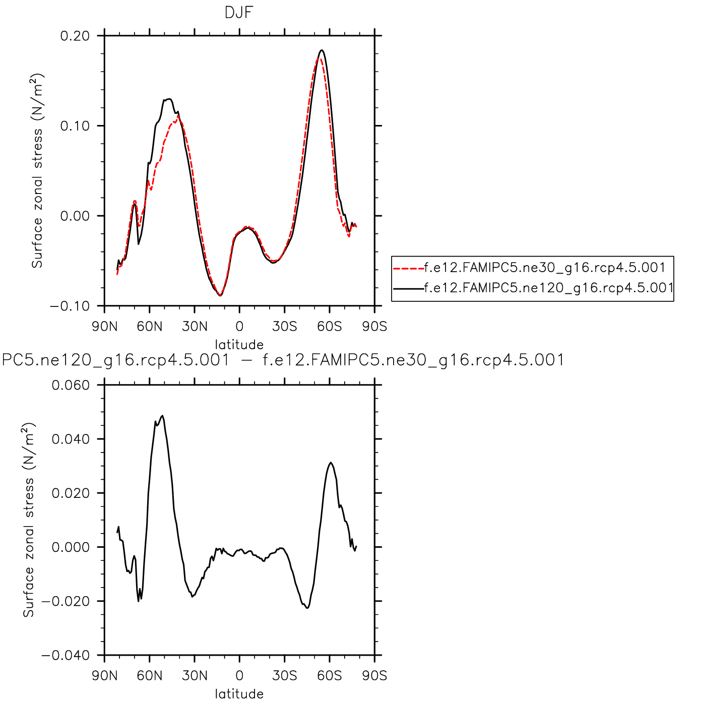
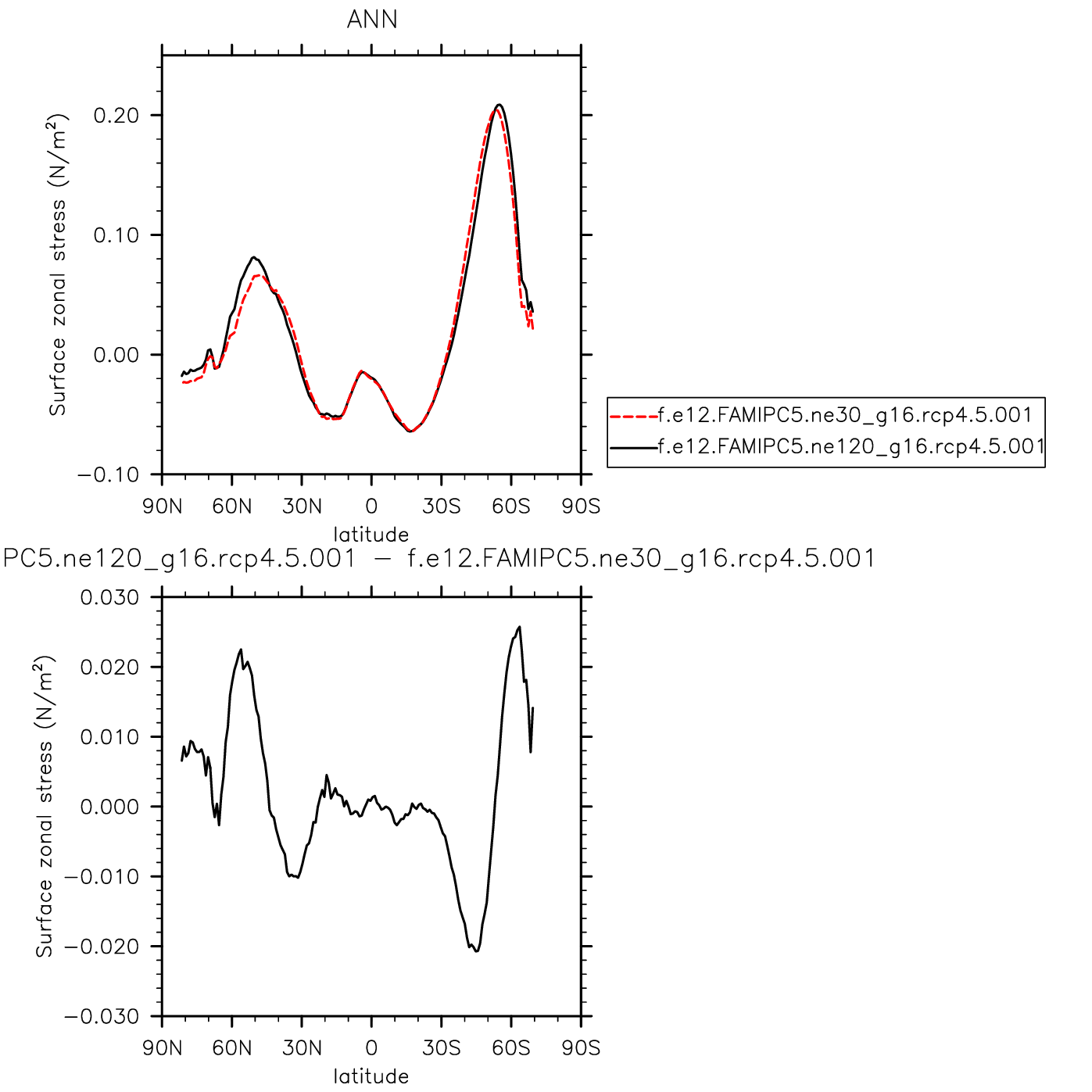
TAUX OCEAN * Zonal surface stress (ocean) plot plot plot plot plot
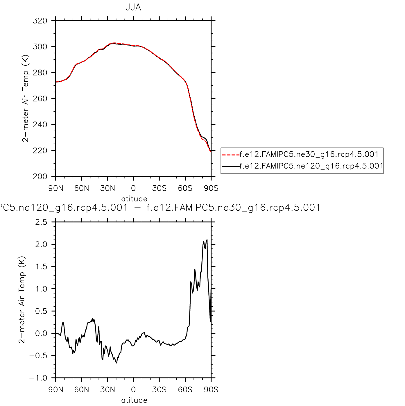
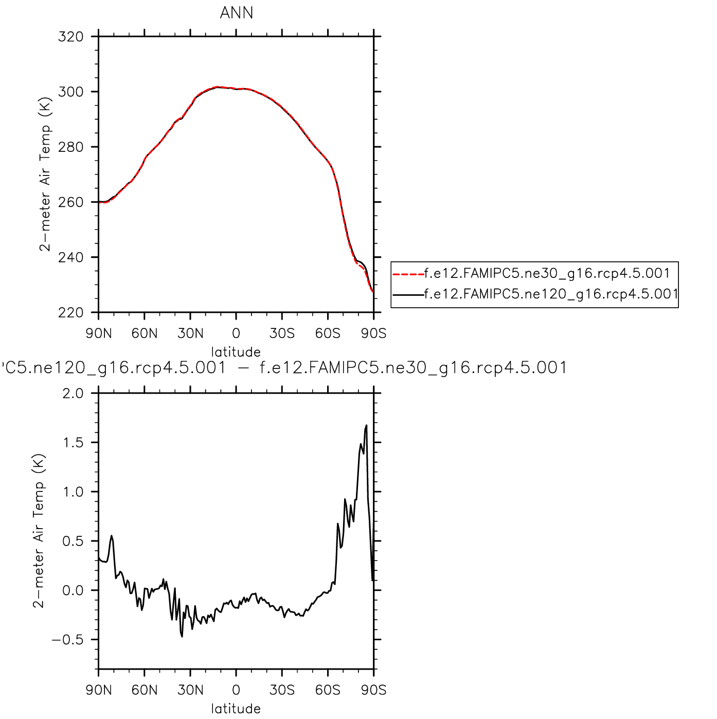
TREFHT * 2-meter air temperature plot plot plot plot plot
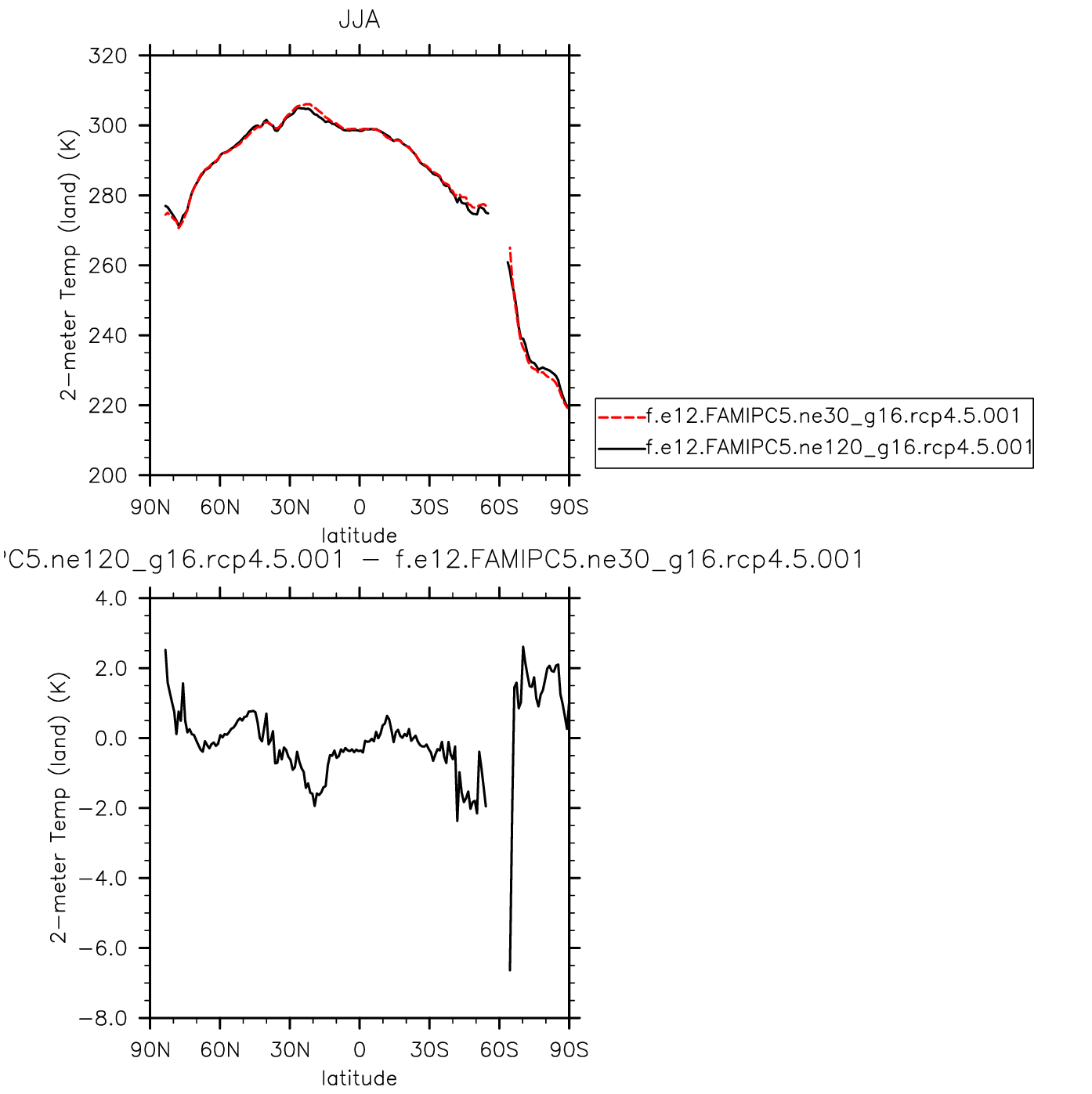
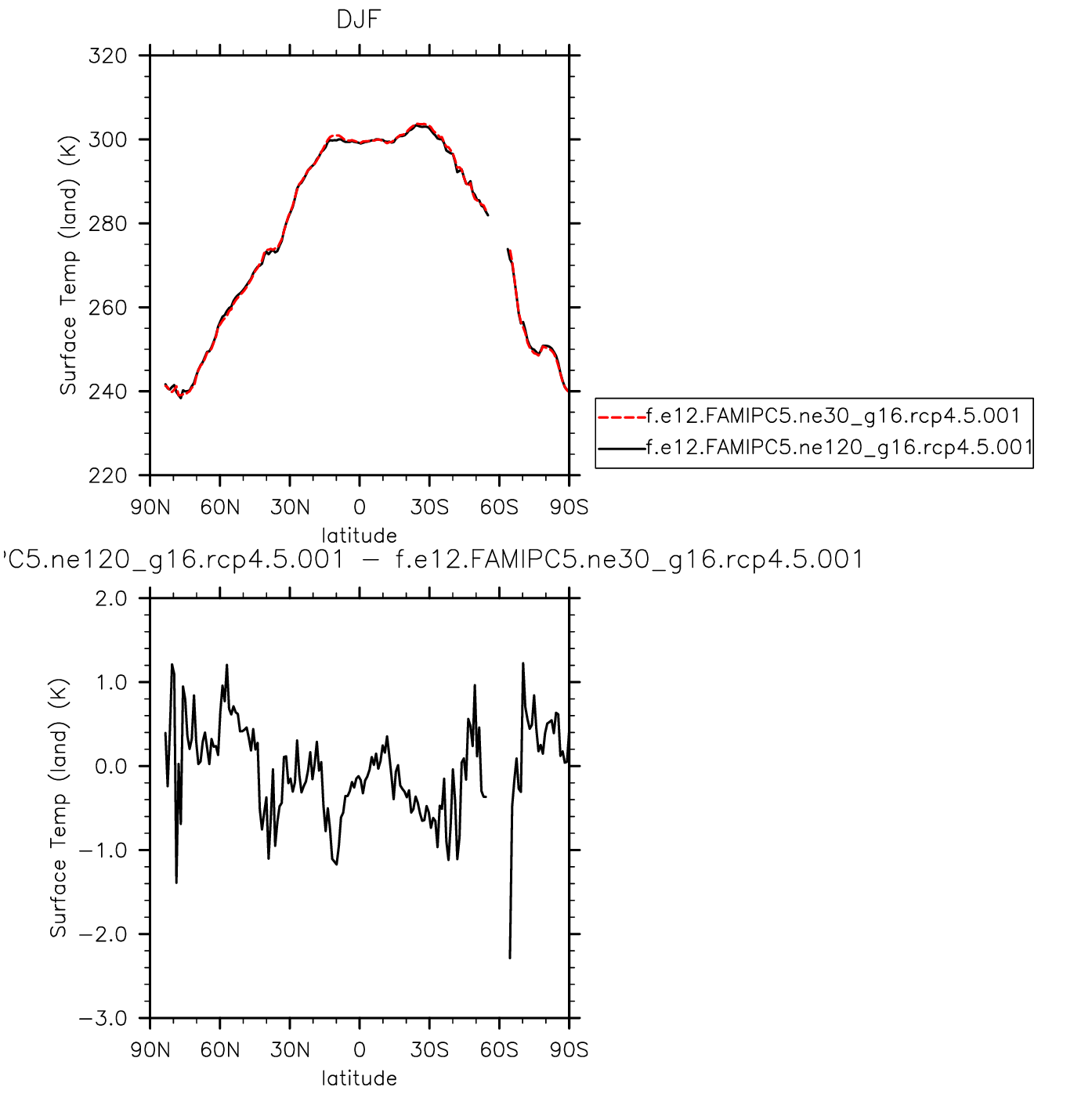
TREFHT LAND * 2-meter air temperature (land) plot plot plot plot plot
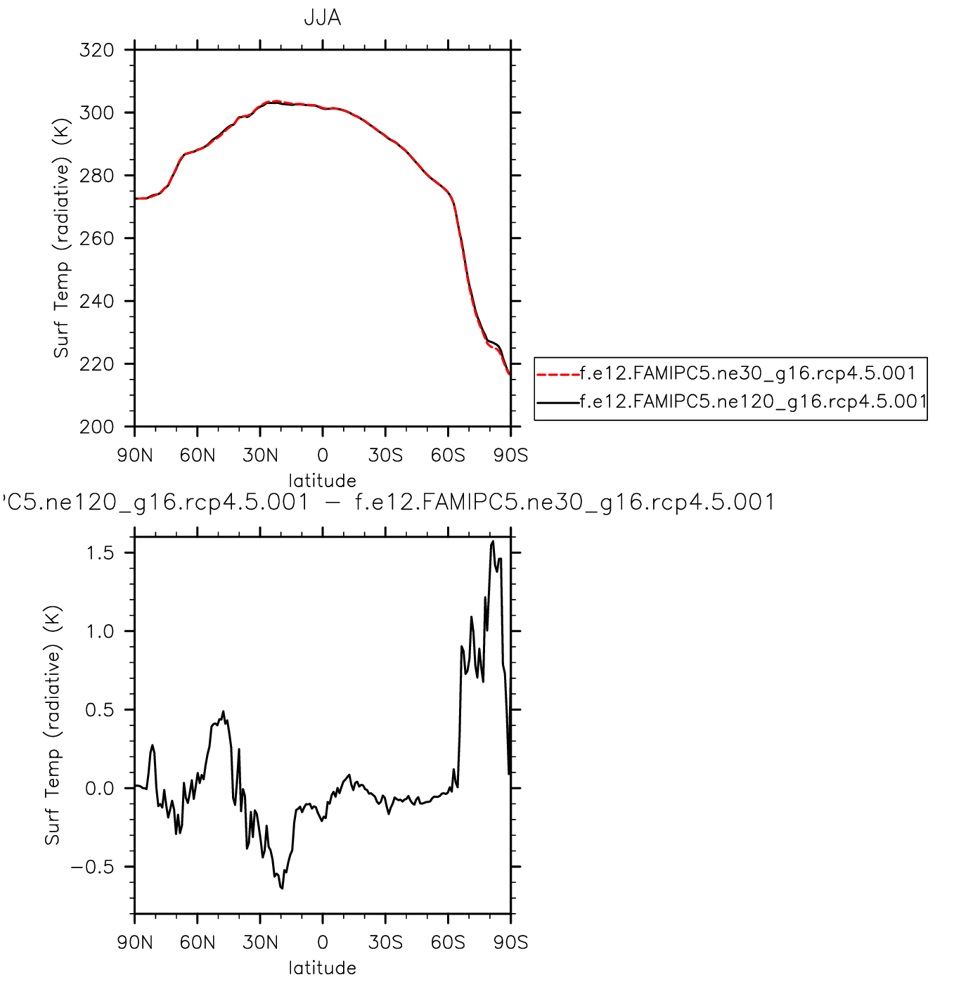
TS * Surface temperature plot plot plot plot plot
TS LAND * Surface temperature (land) plot plot plot plot plot

Hydrologic Cycle DJF MAM JJA SON ANN
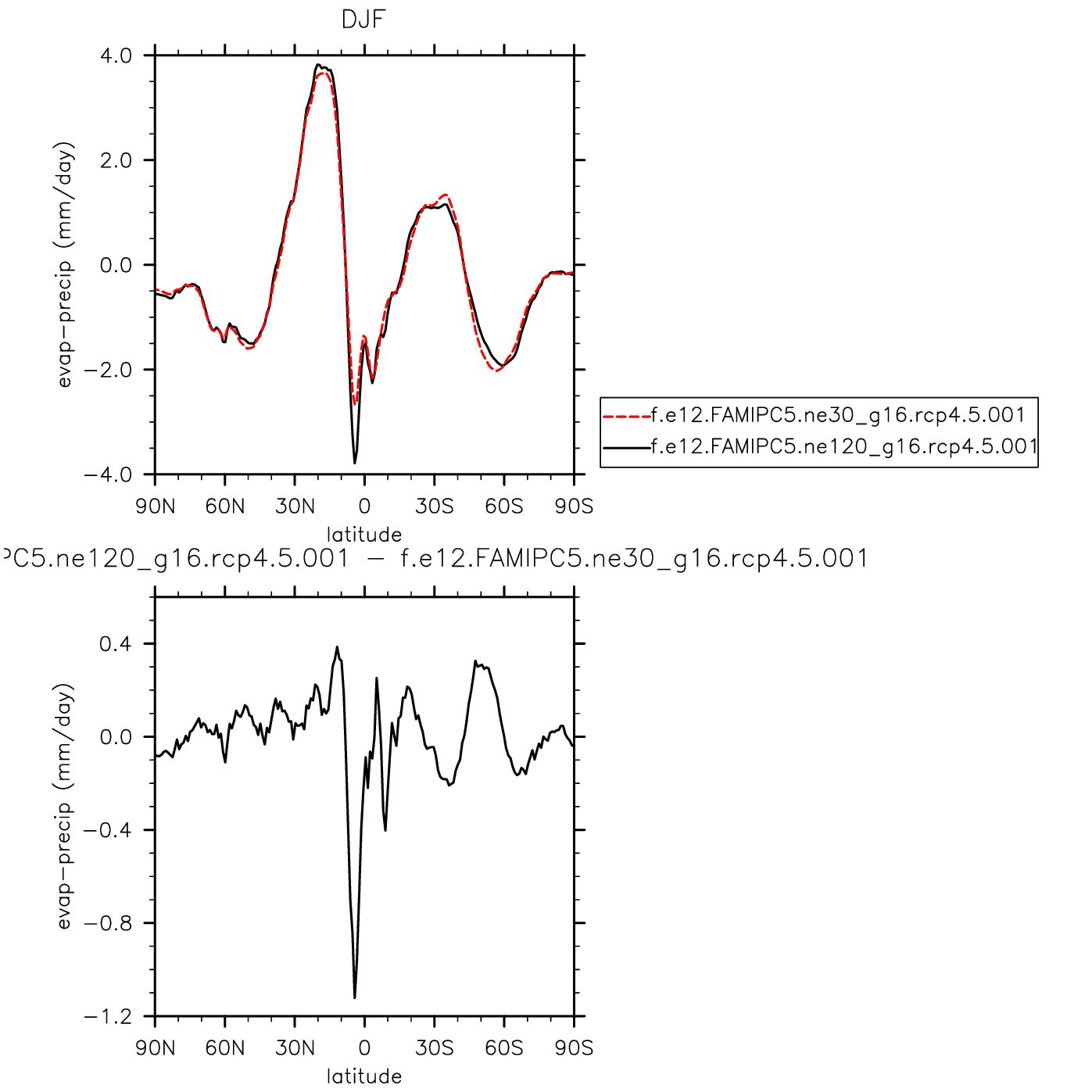
EP * Evaporation - precipiation plot plot plot plot plot
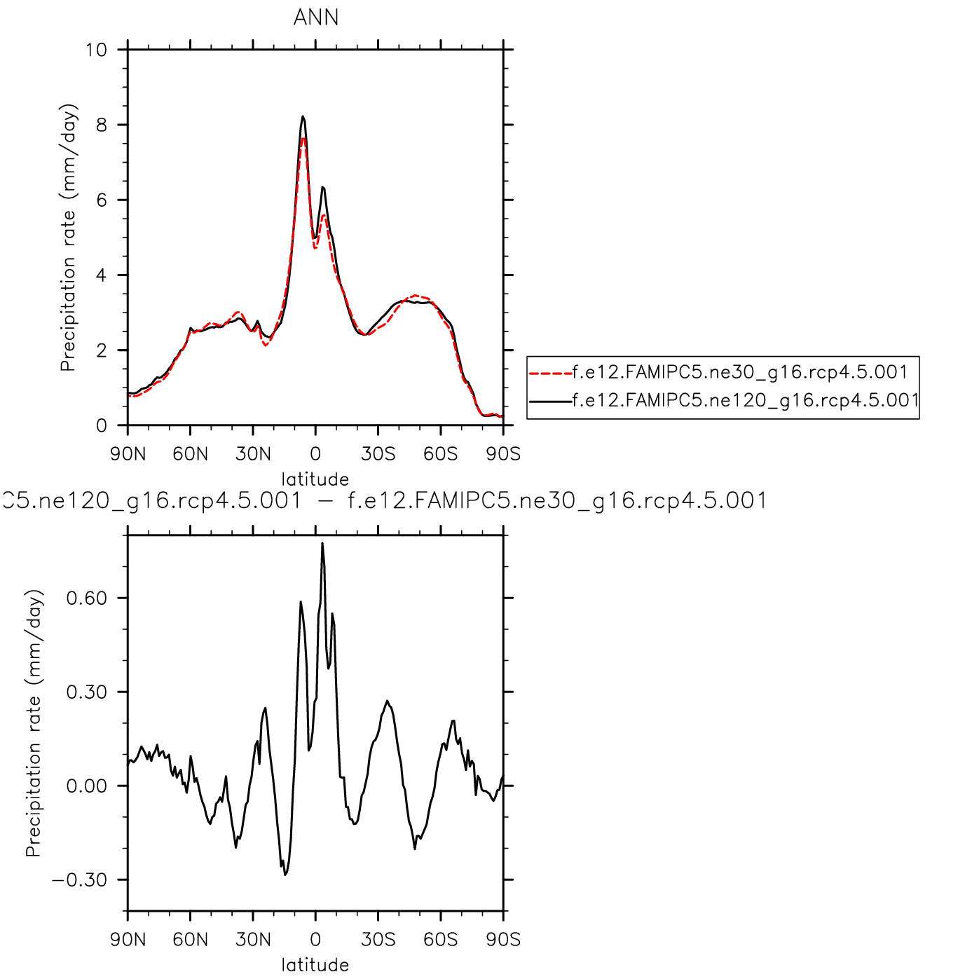
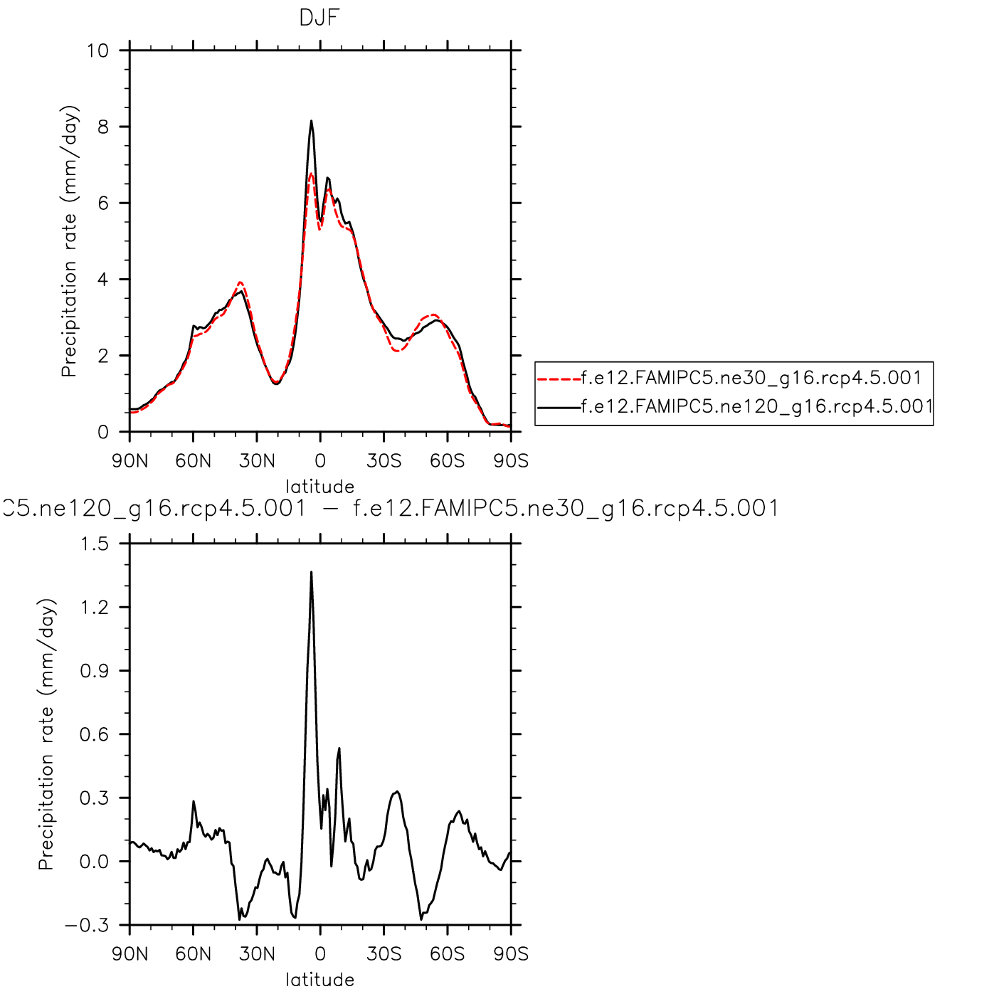
PRECT * Precipitation rate plot plot plot plot plot
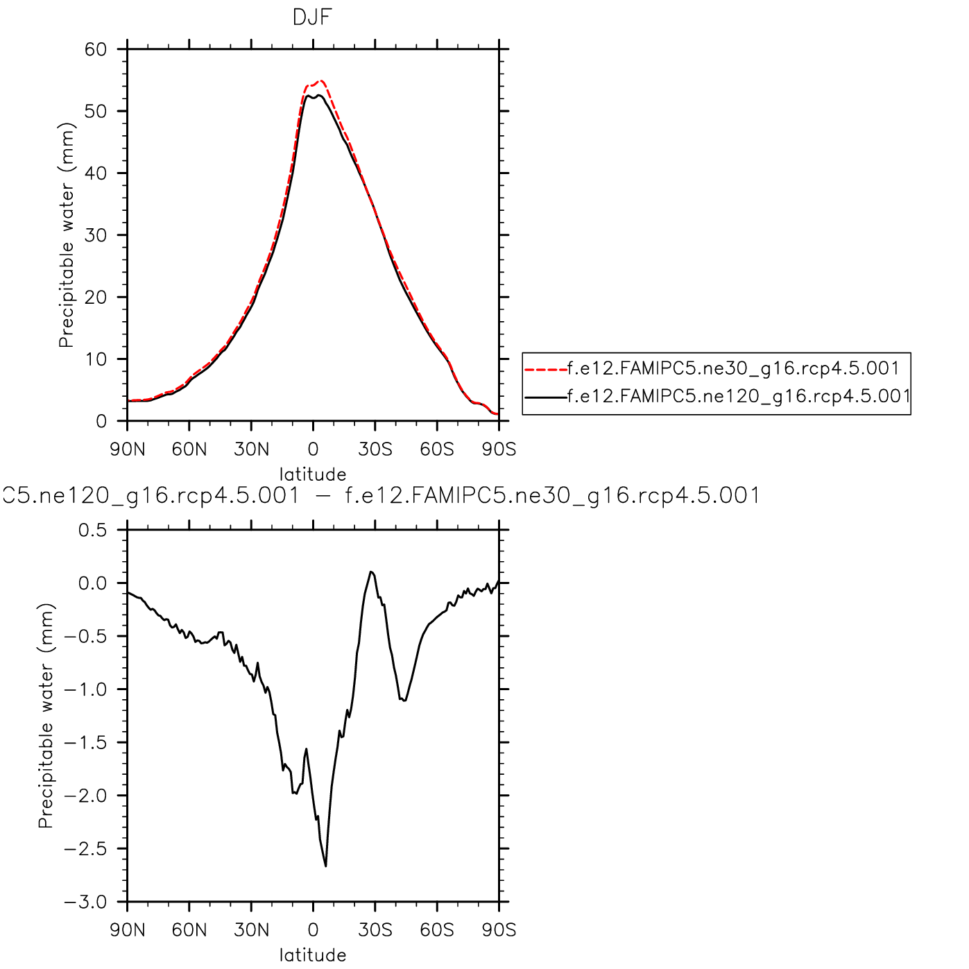
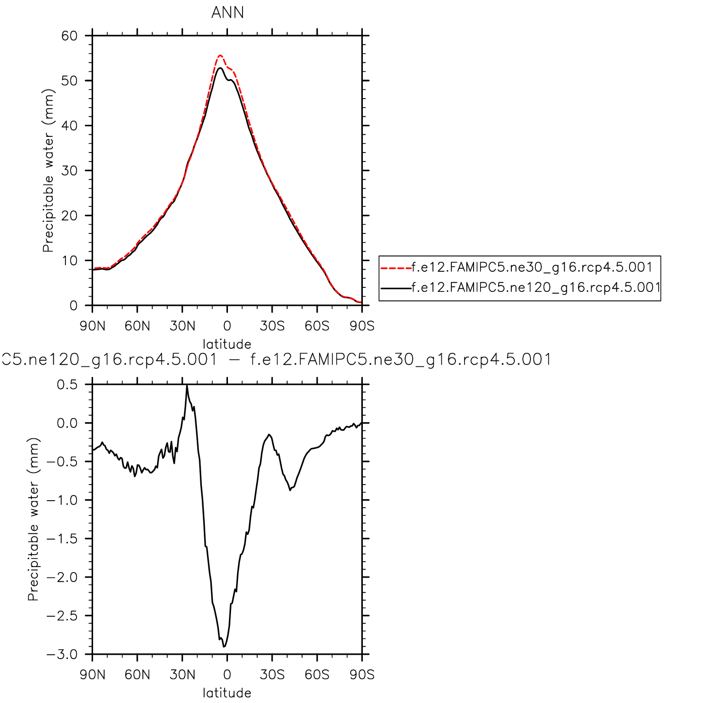
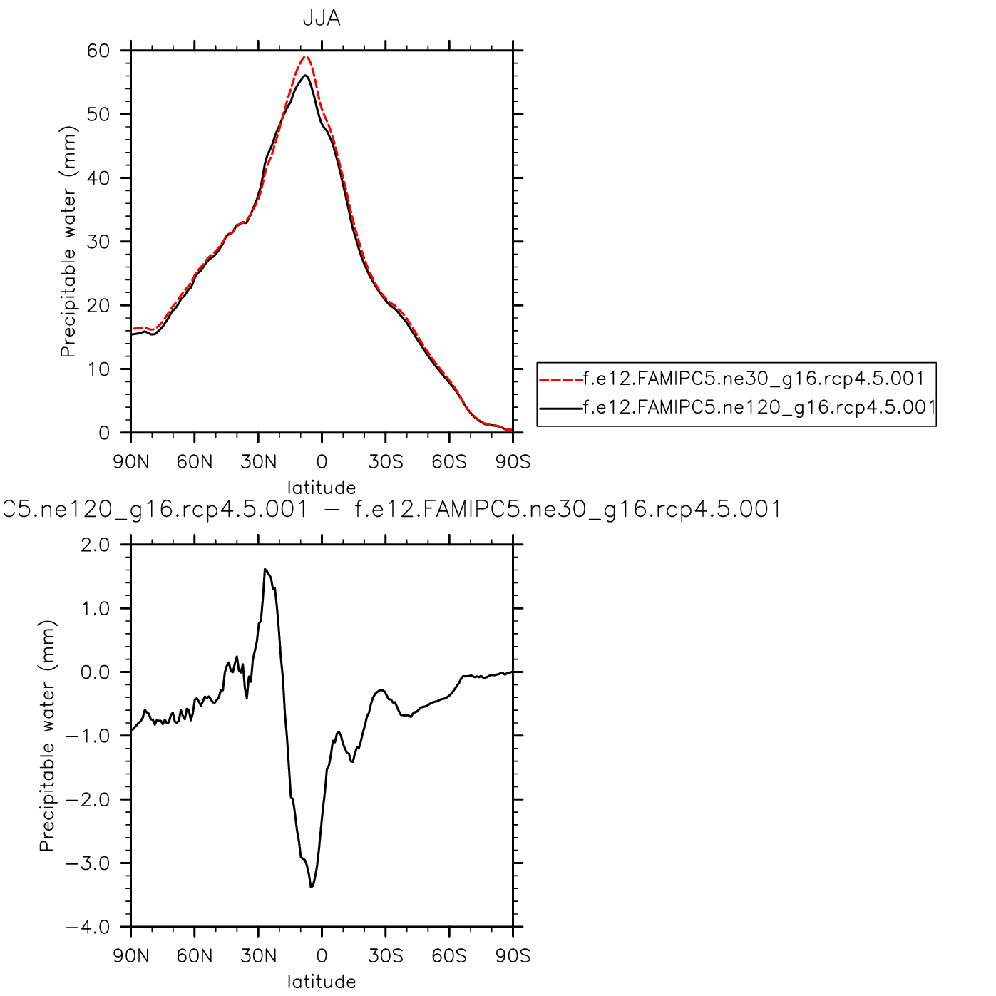
PREH2O * Total precipitable water plot plot plot plot plot
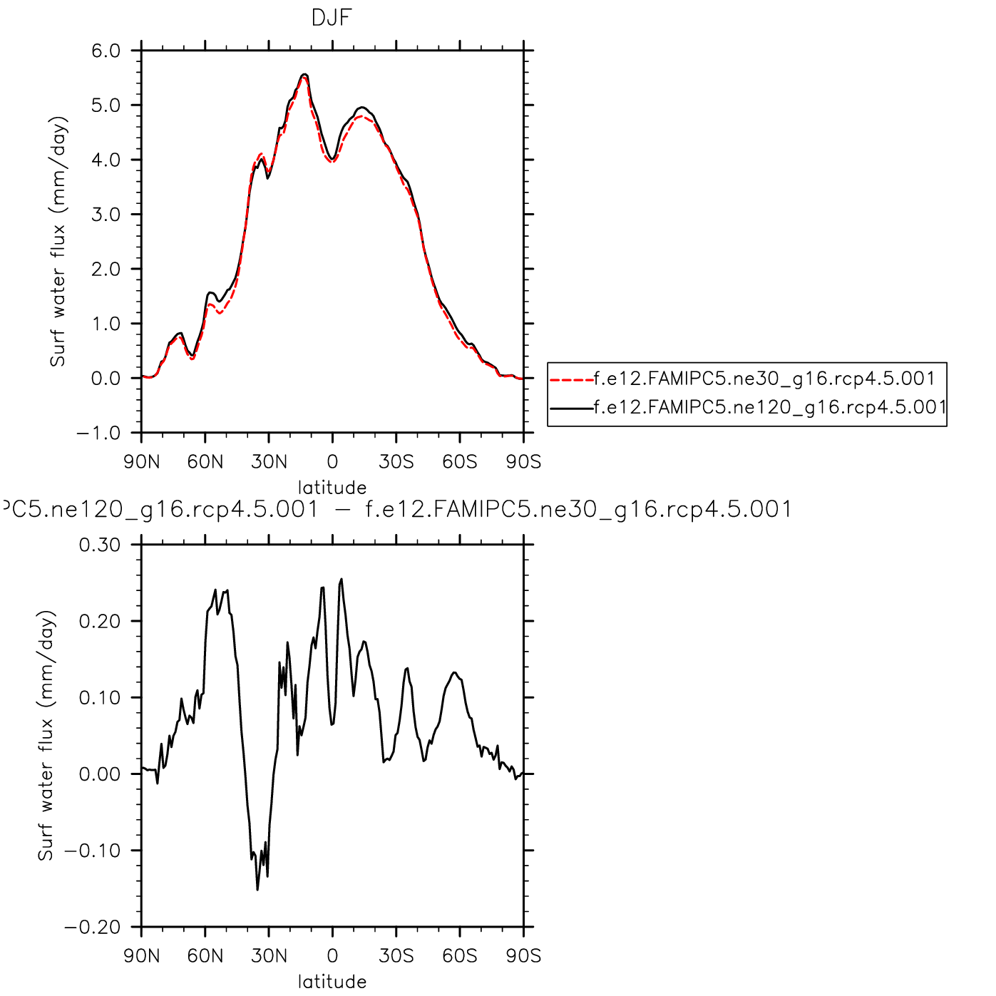
QFLX * Surface water flux plot plot plot plot plot

Surface Energy Fluxes DJF MAM JJA SON ANN
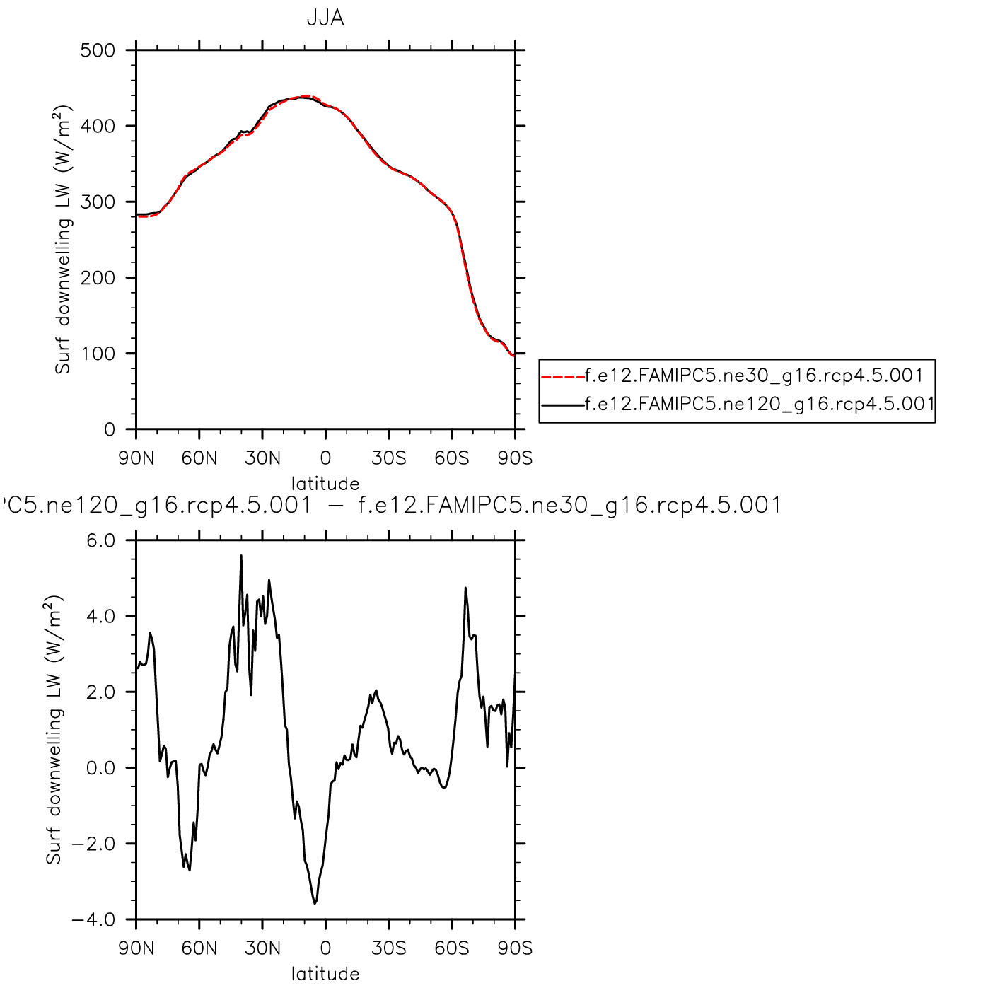
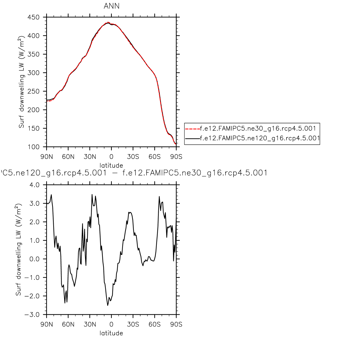
FLDS Longwave downwelling flux plot plot plot plot plot
FLDSC Clearsky longwave downwelling flux plot plot plot plot plot
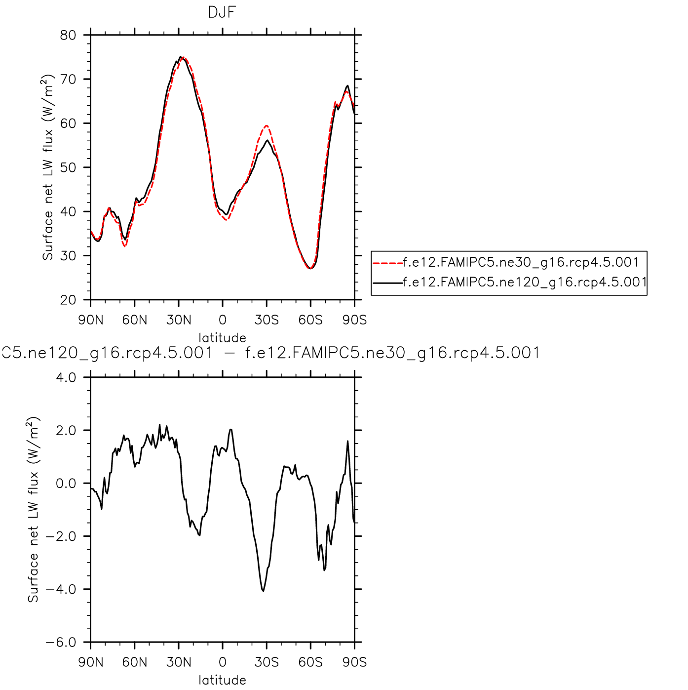
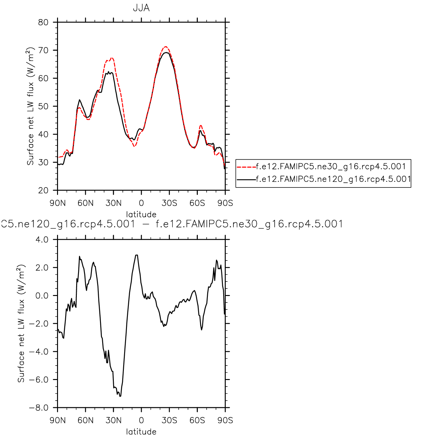
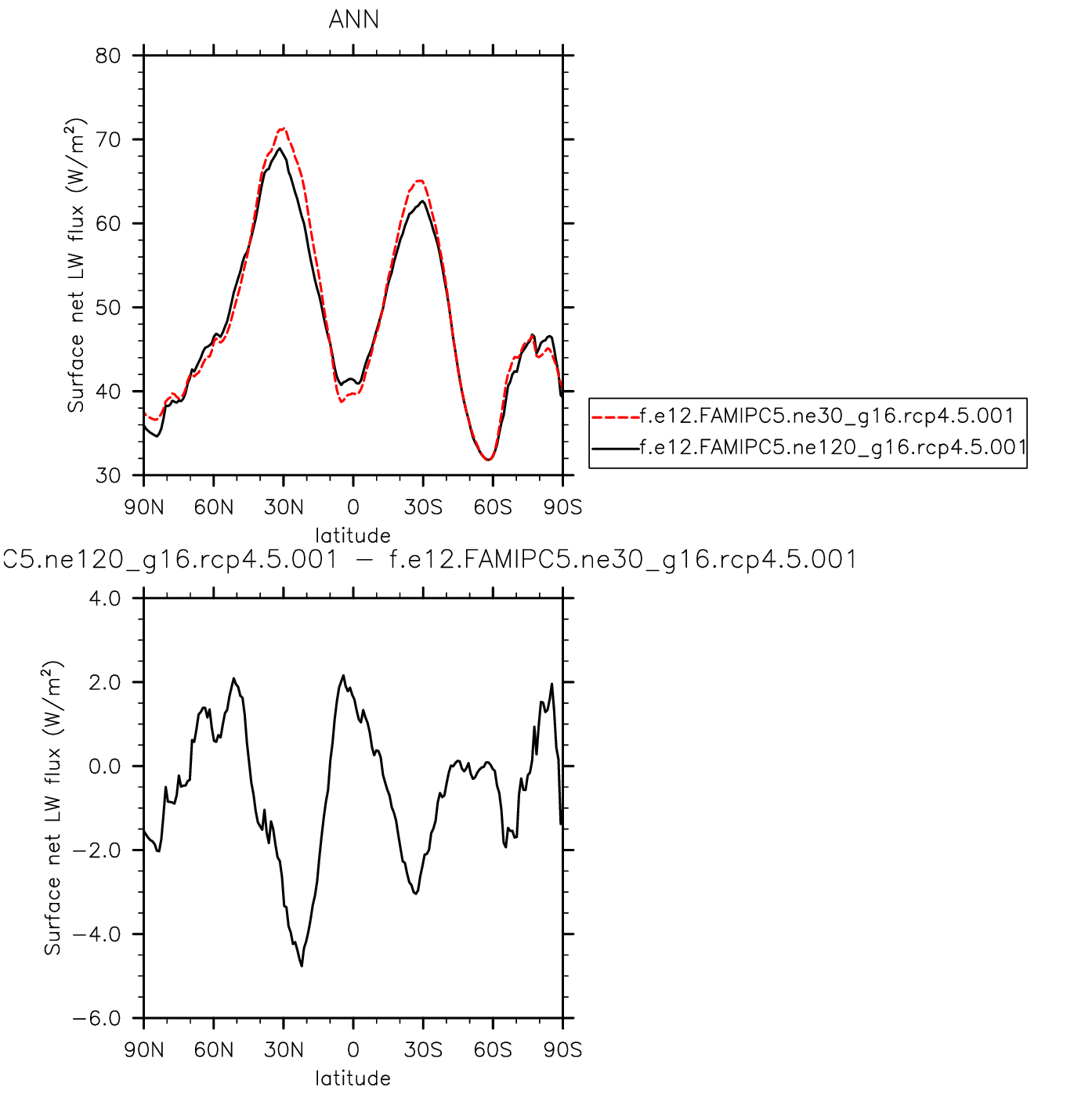
FLNS * Net longwave flux plot plot plot plot plot
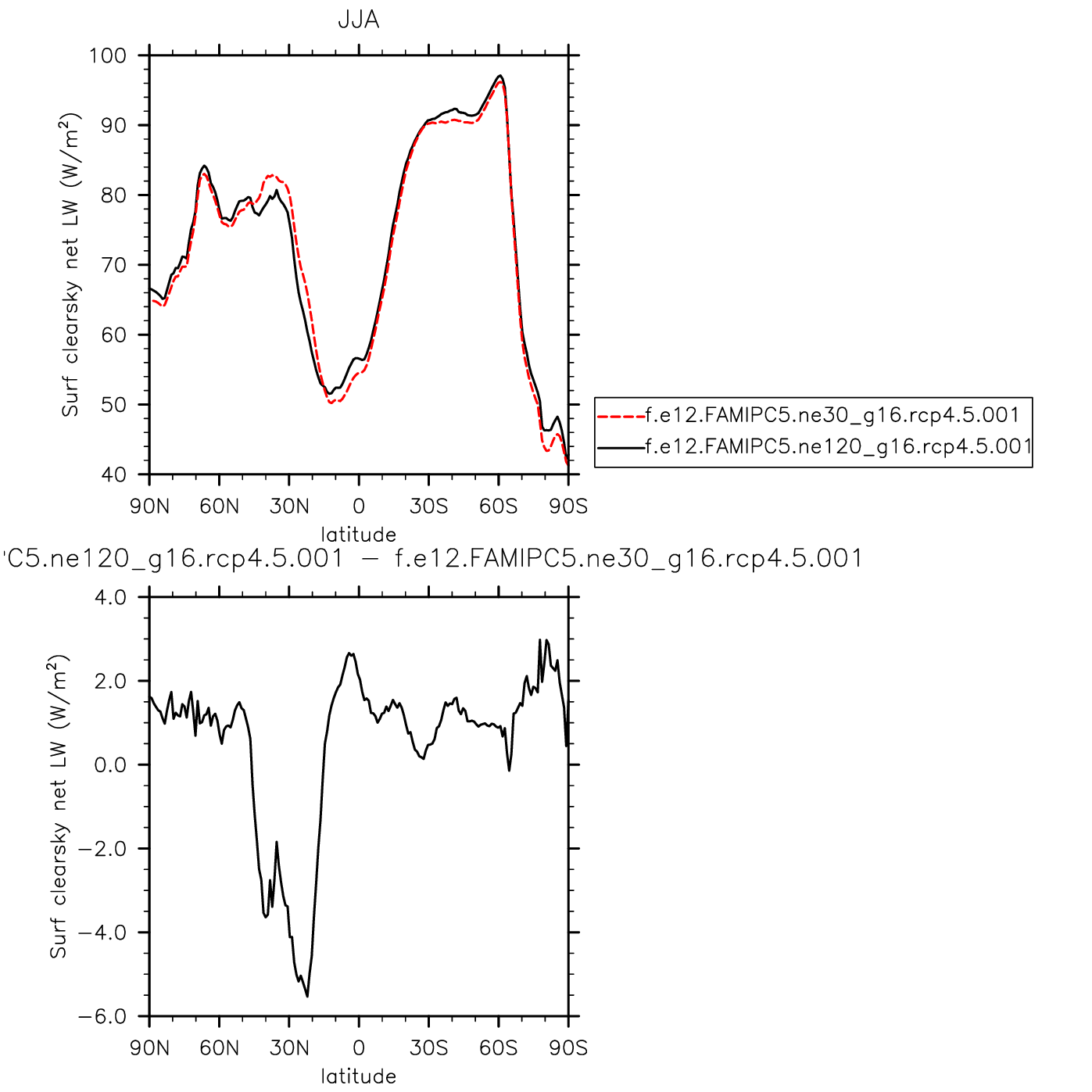
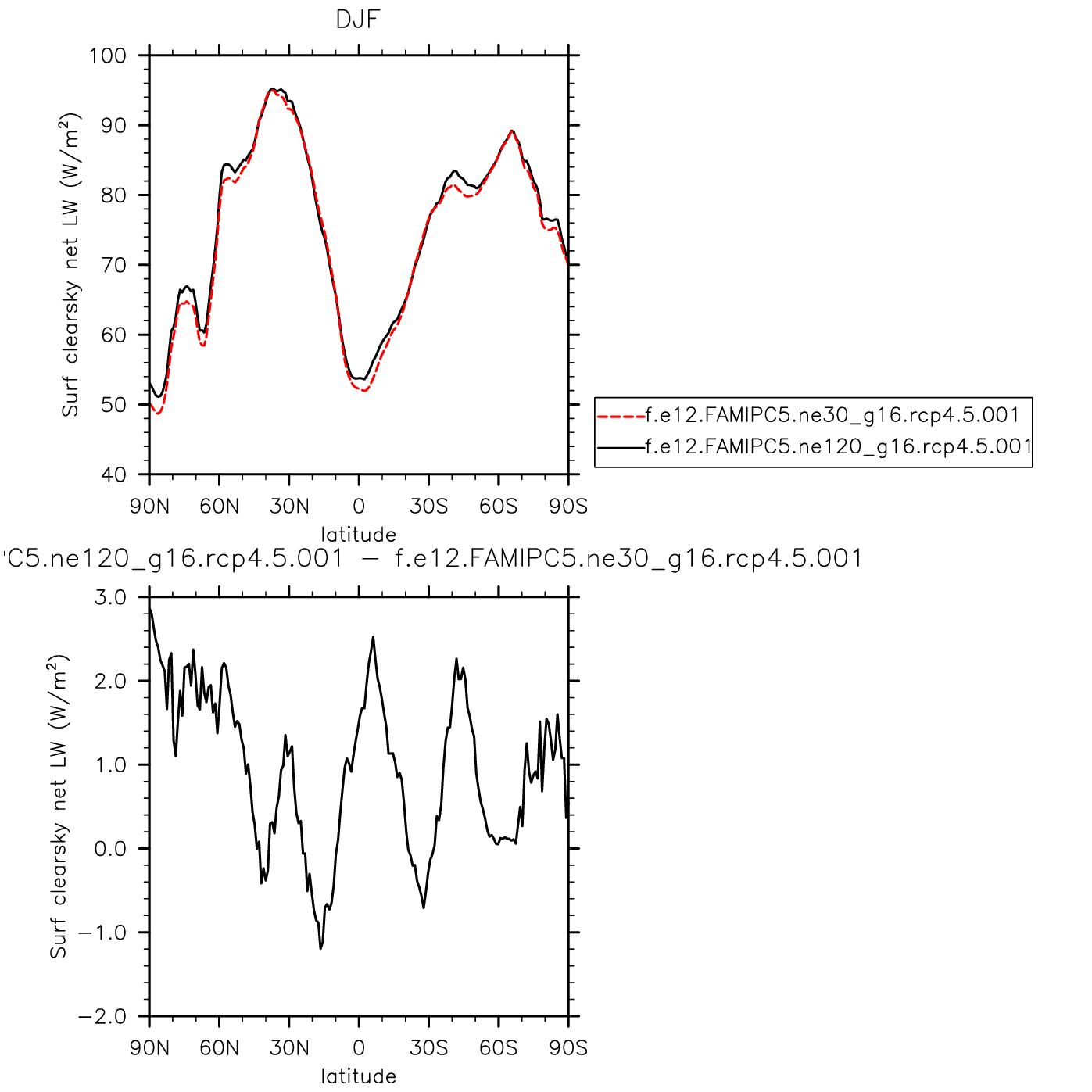
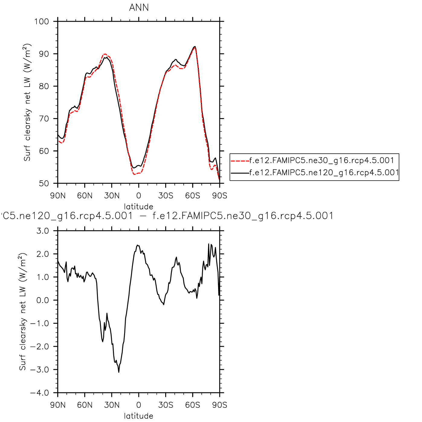
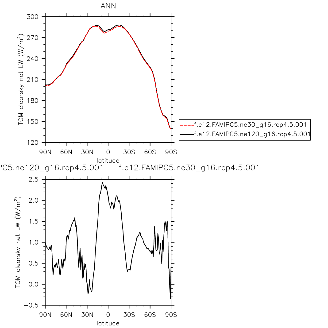
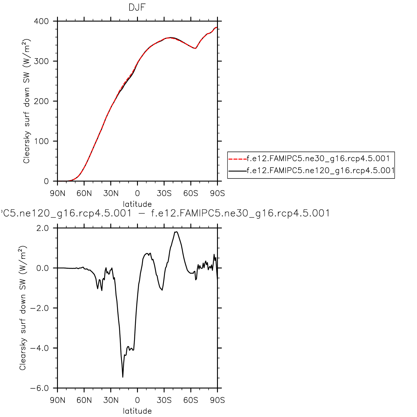
FLNSC * Clearsky net longwave flux plot plot plot plot plot
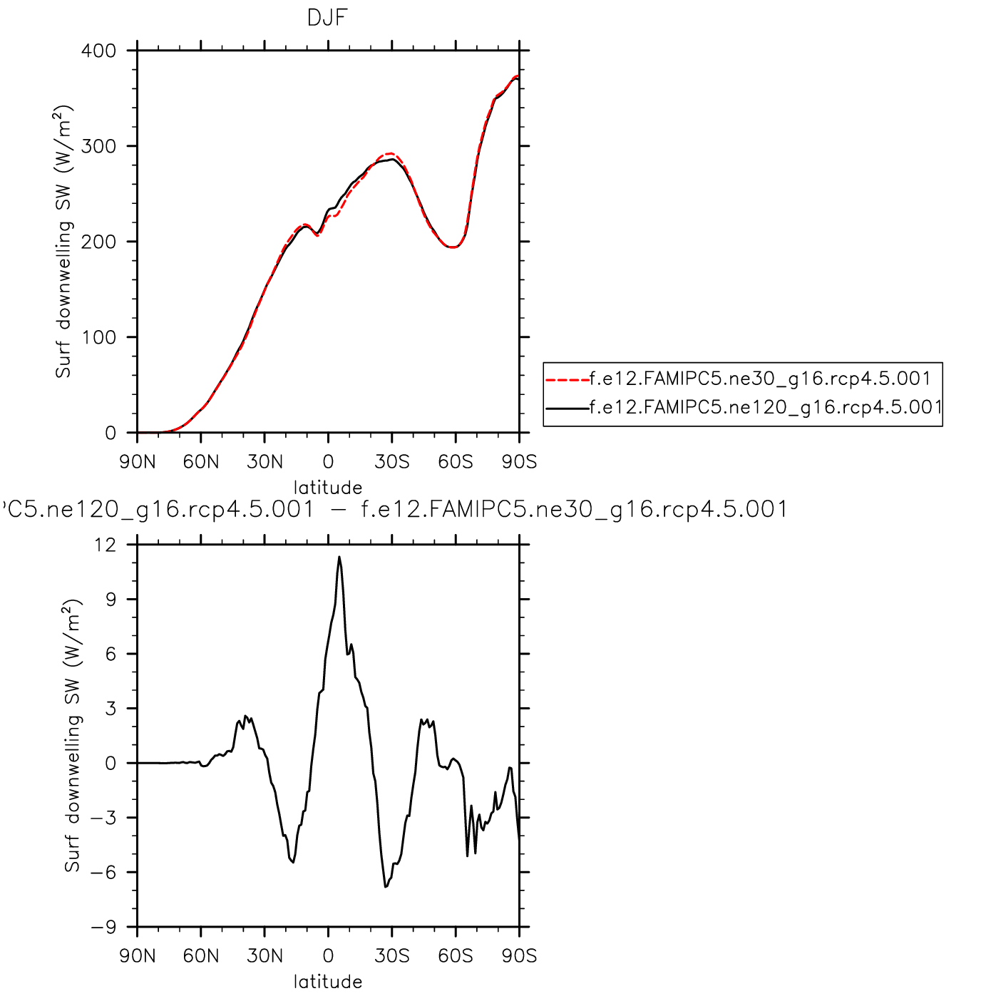
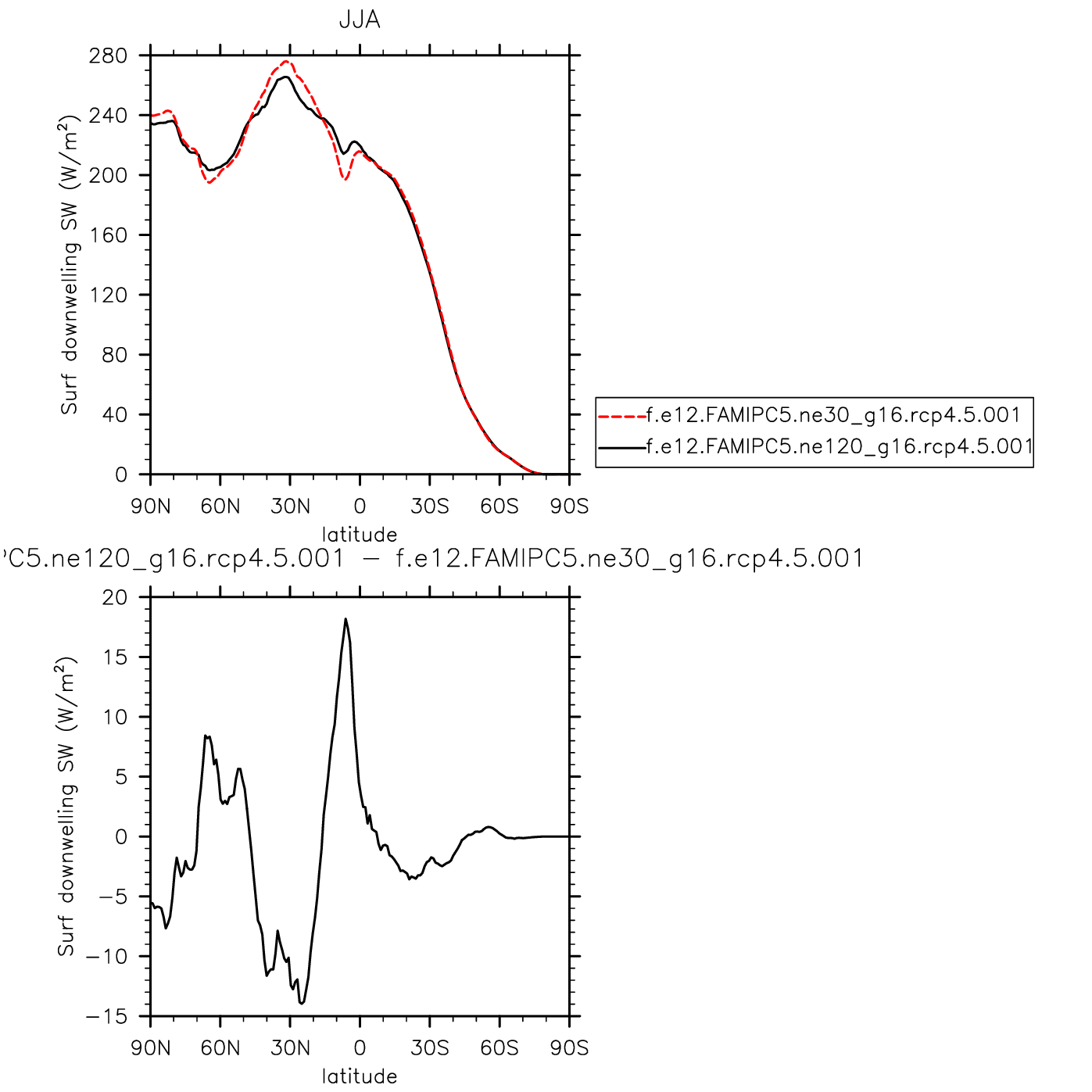
FSDS Shortwave downwelling flux plot plot plot plot plot
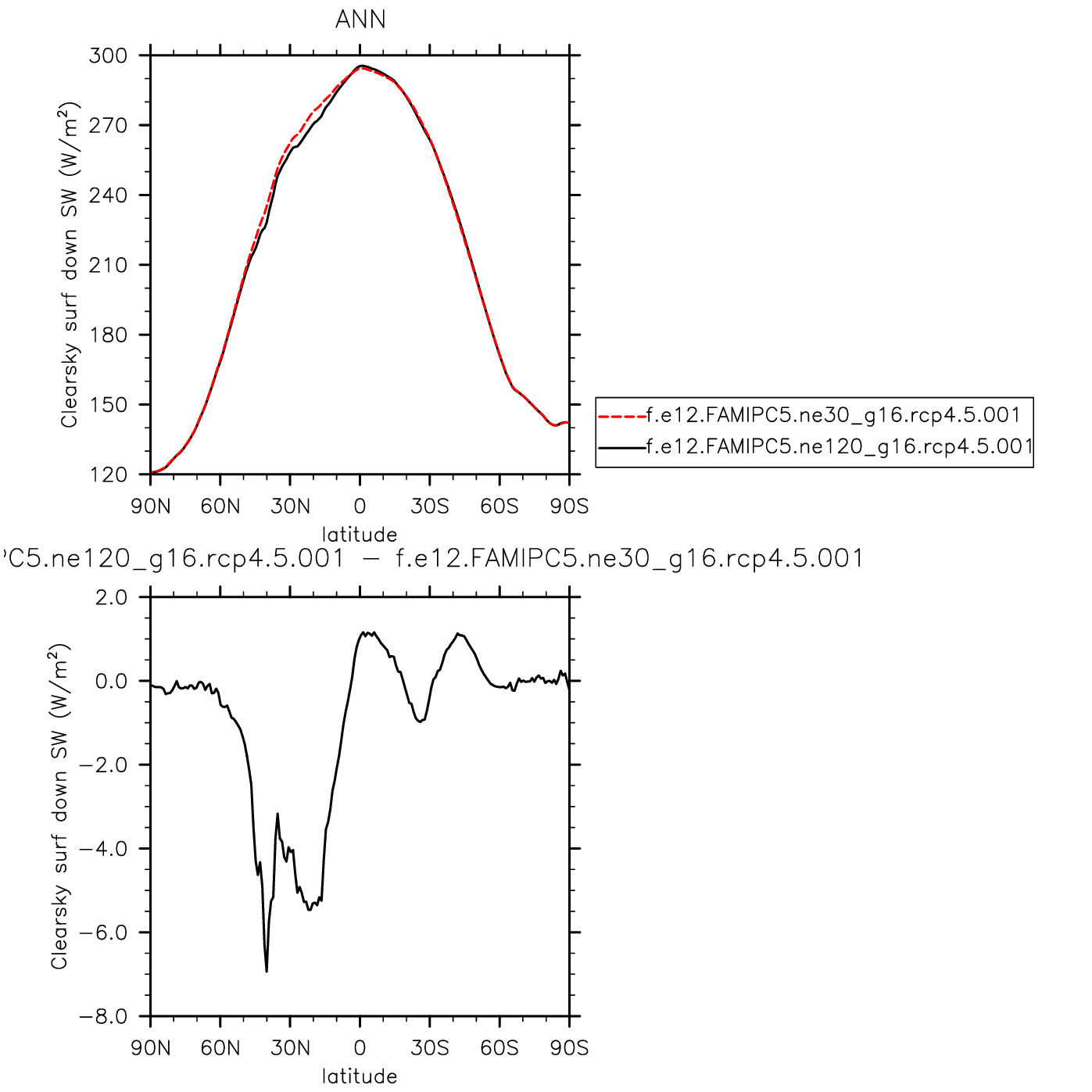
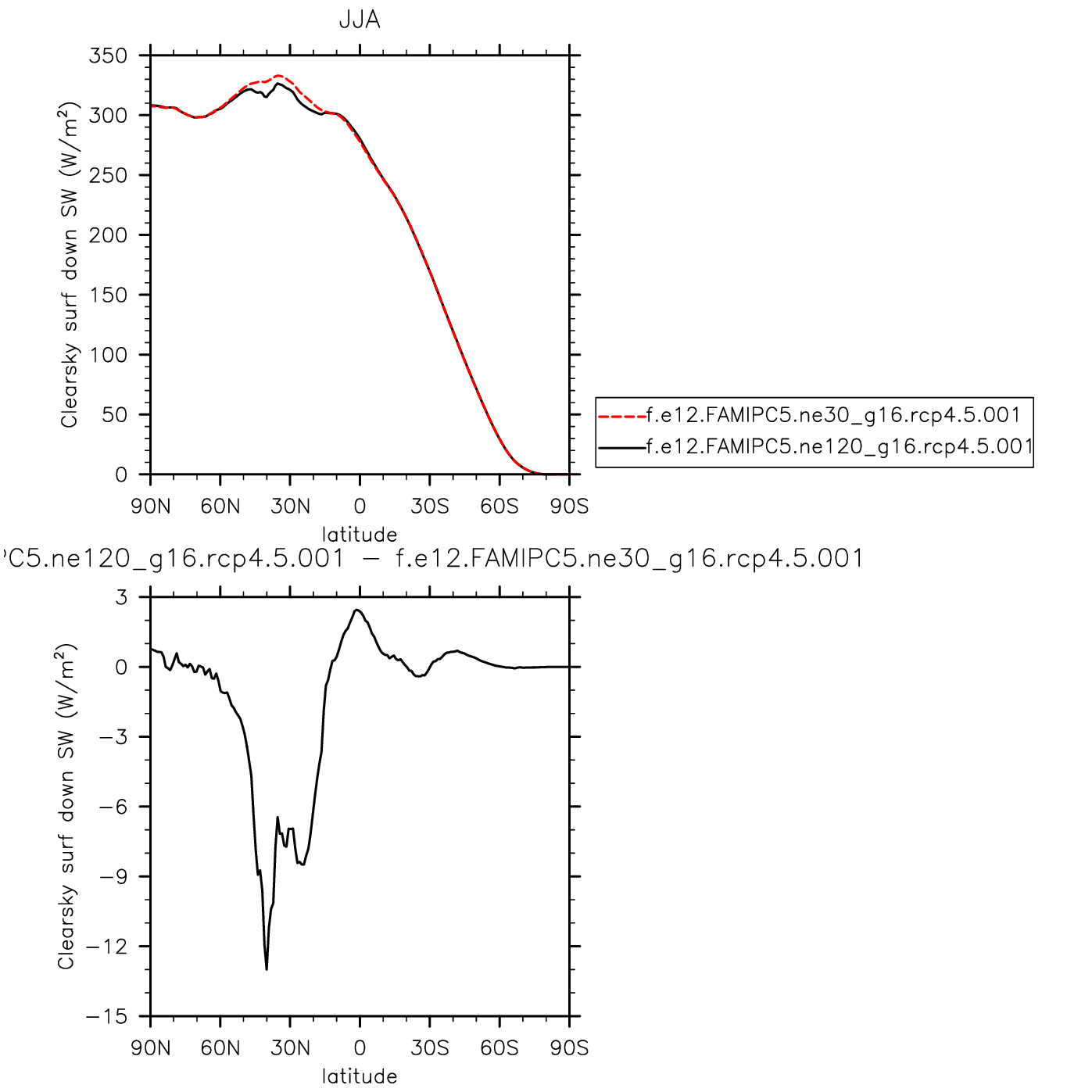
FSDSC Clearsky SW downwelling flux plot plot plot plot plot
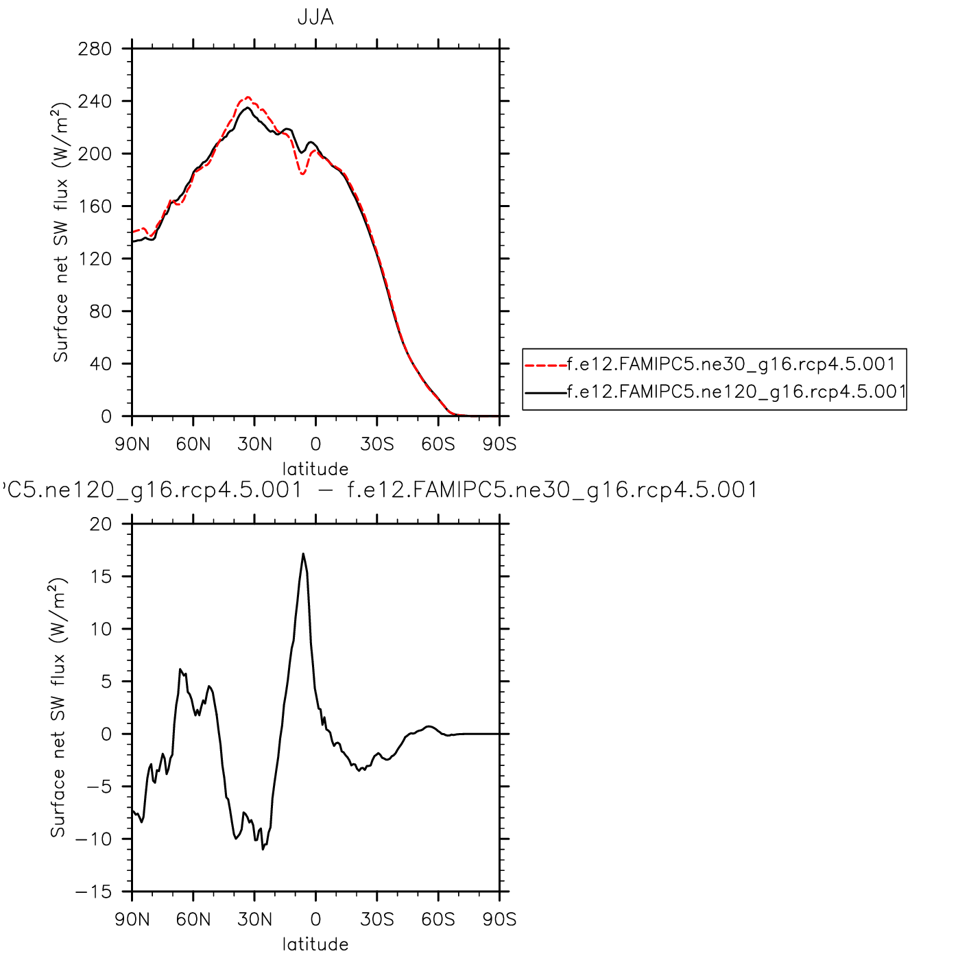
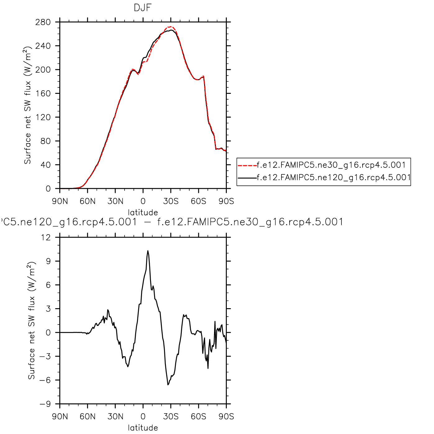
FSNS * Net shortwave flux plot plot plot plot plot
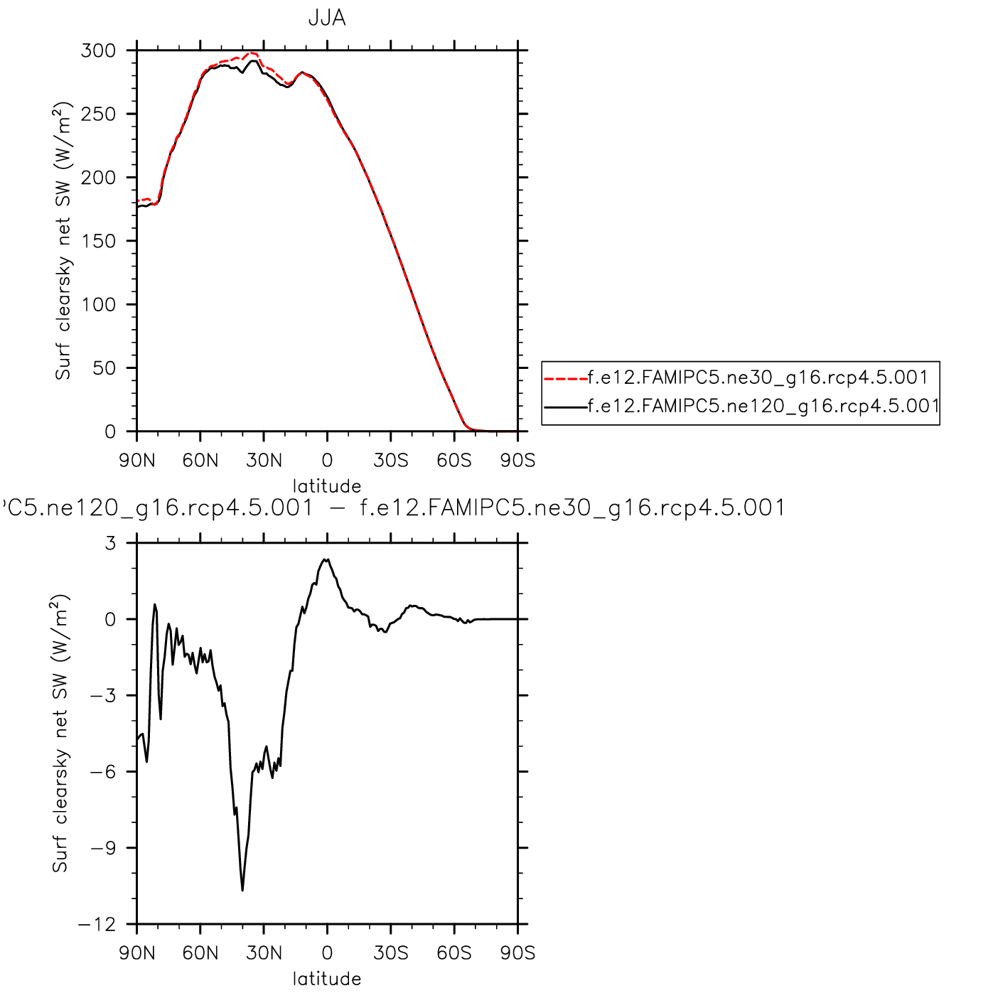
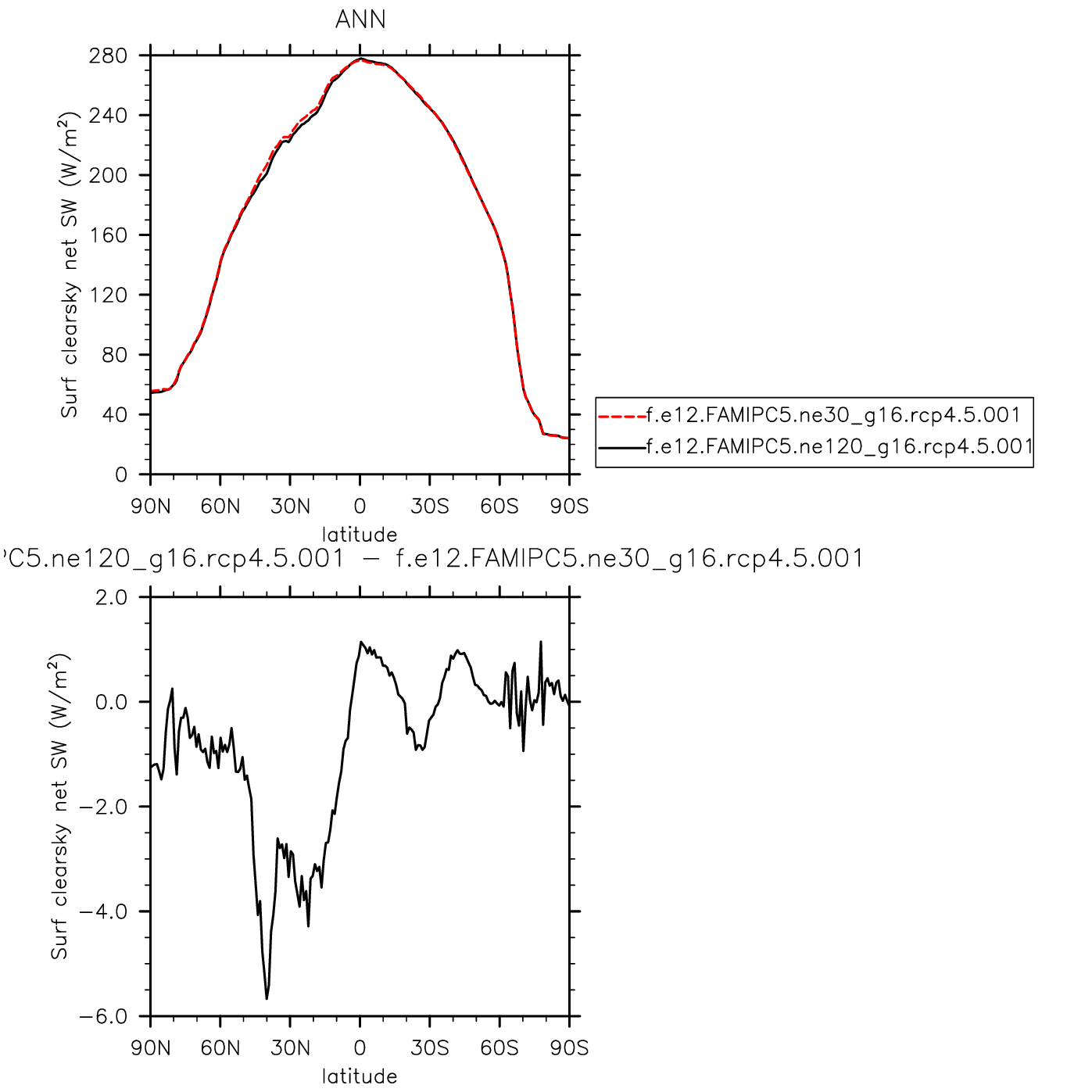
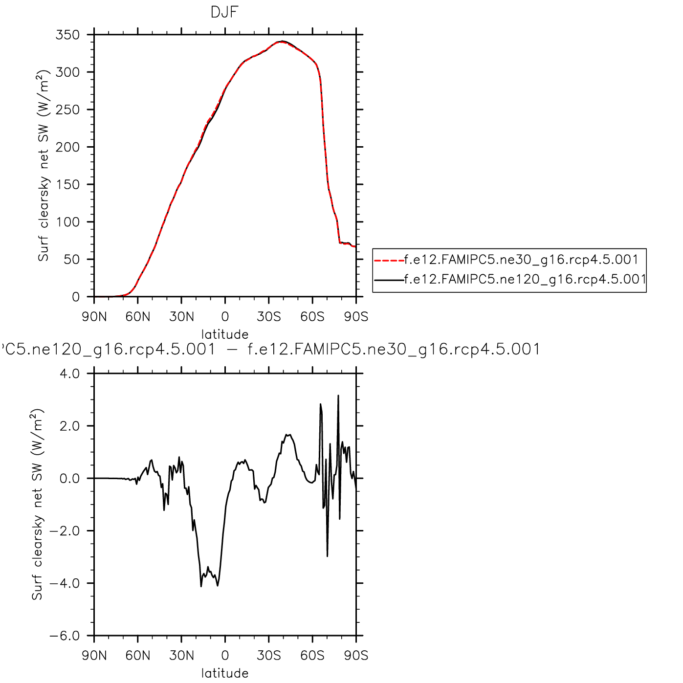
FSNSC * Clearsky net shortwave flux plot plot plot plot plot
LHFLX * Latent heat flux plot plot plot plot plot
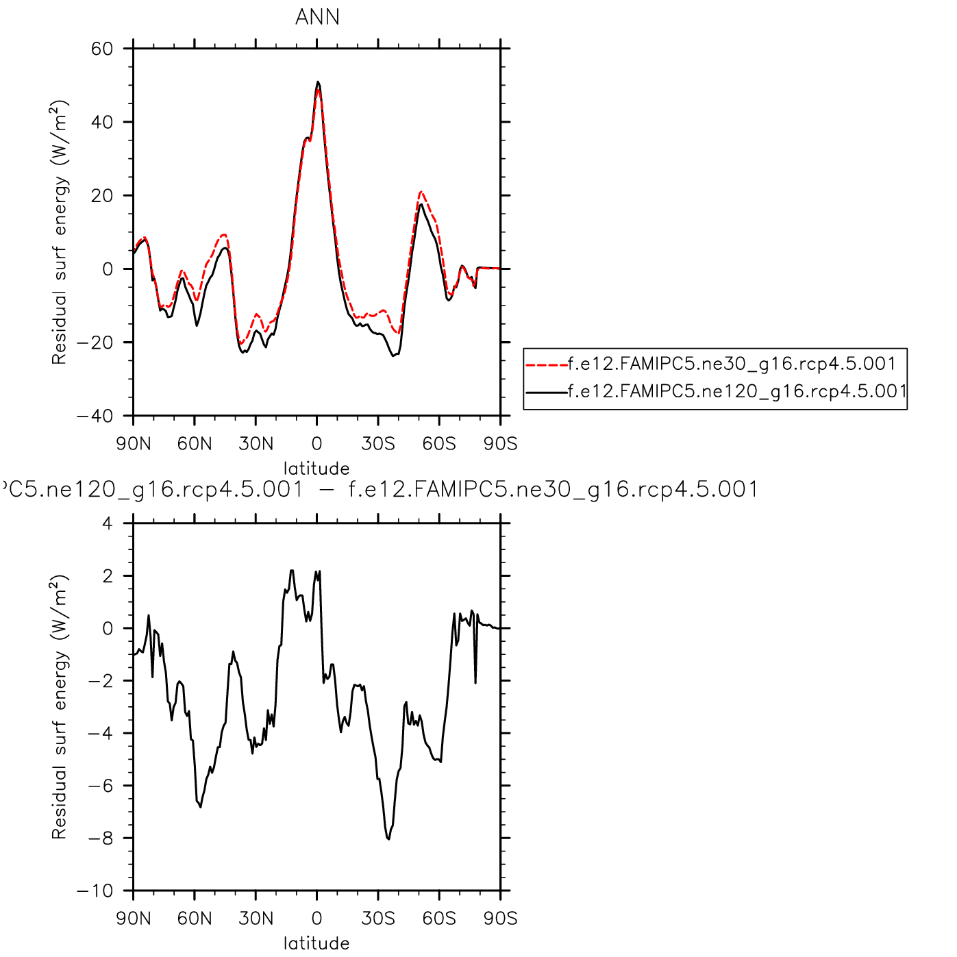
RESSURF * Residual energy flux plot plot plot plot plot
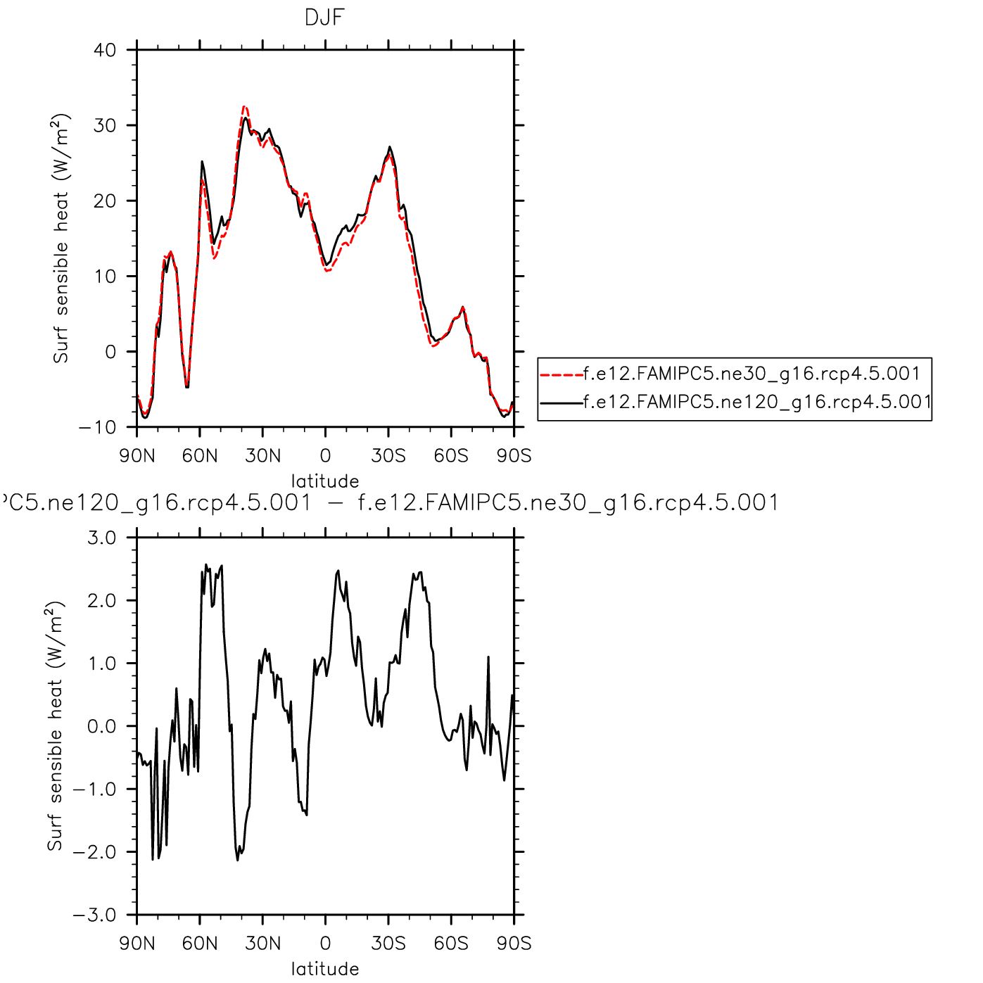
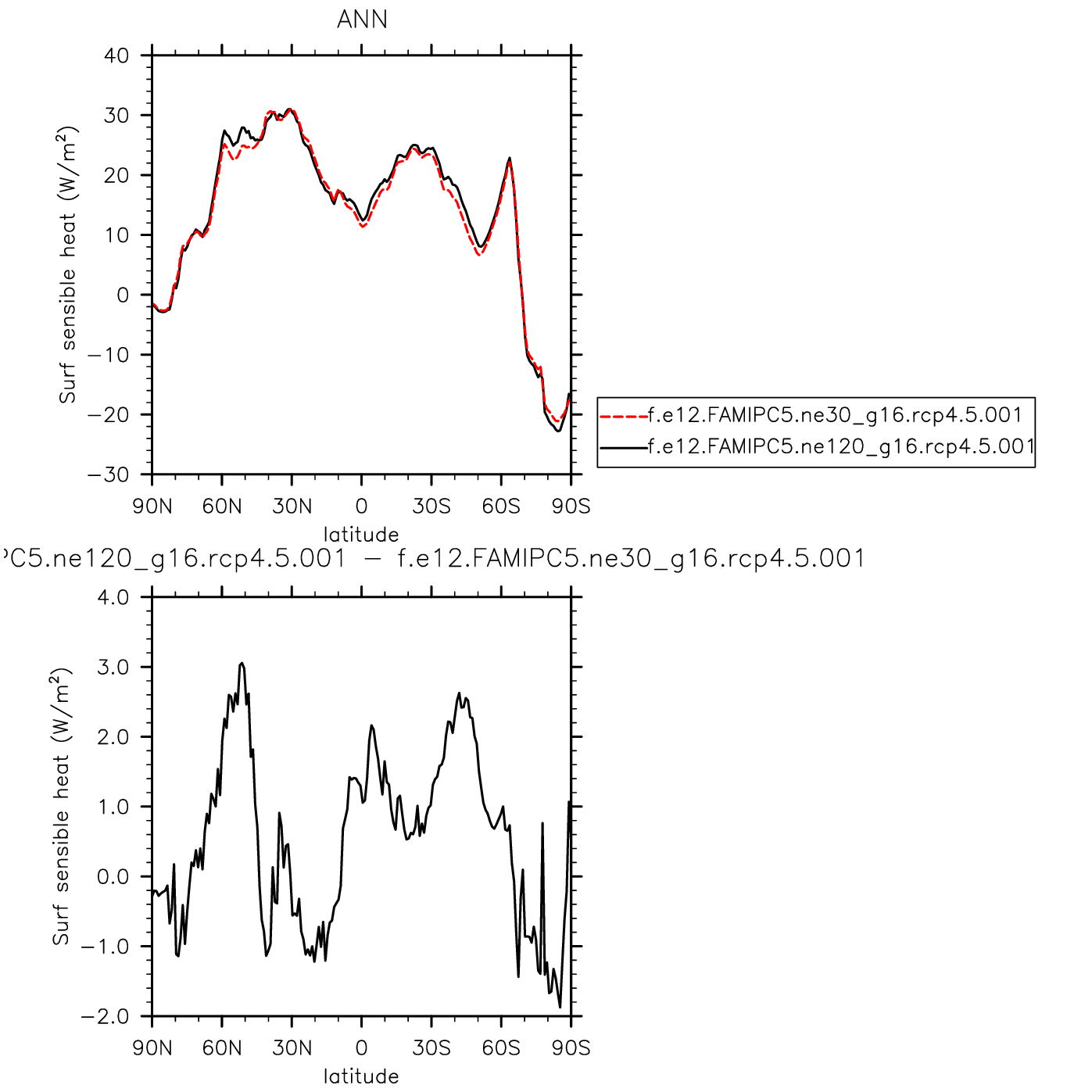
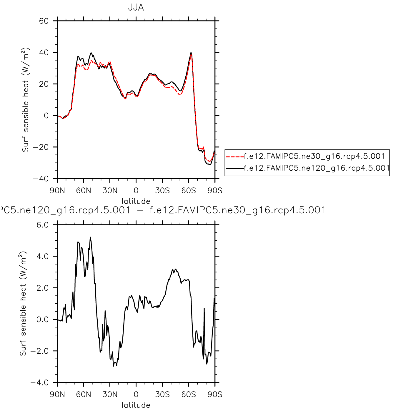
SHFLX * Sensible heat flux plot plot plot plot plot

Top of Model Energy Fluxes DJF MAM JJA SON ANN
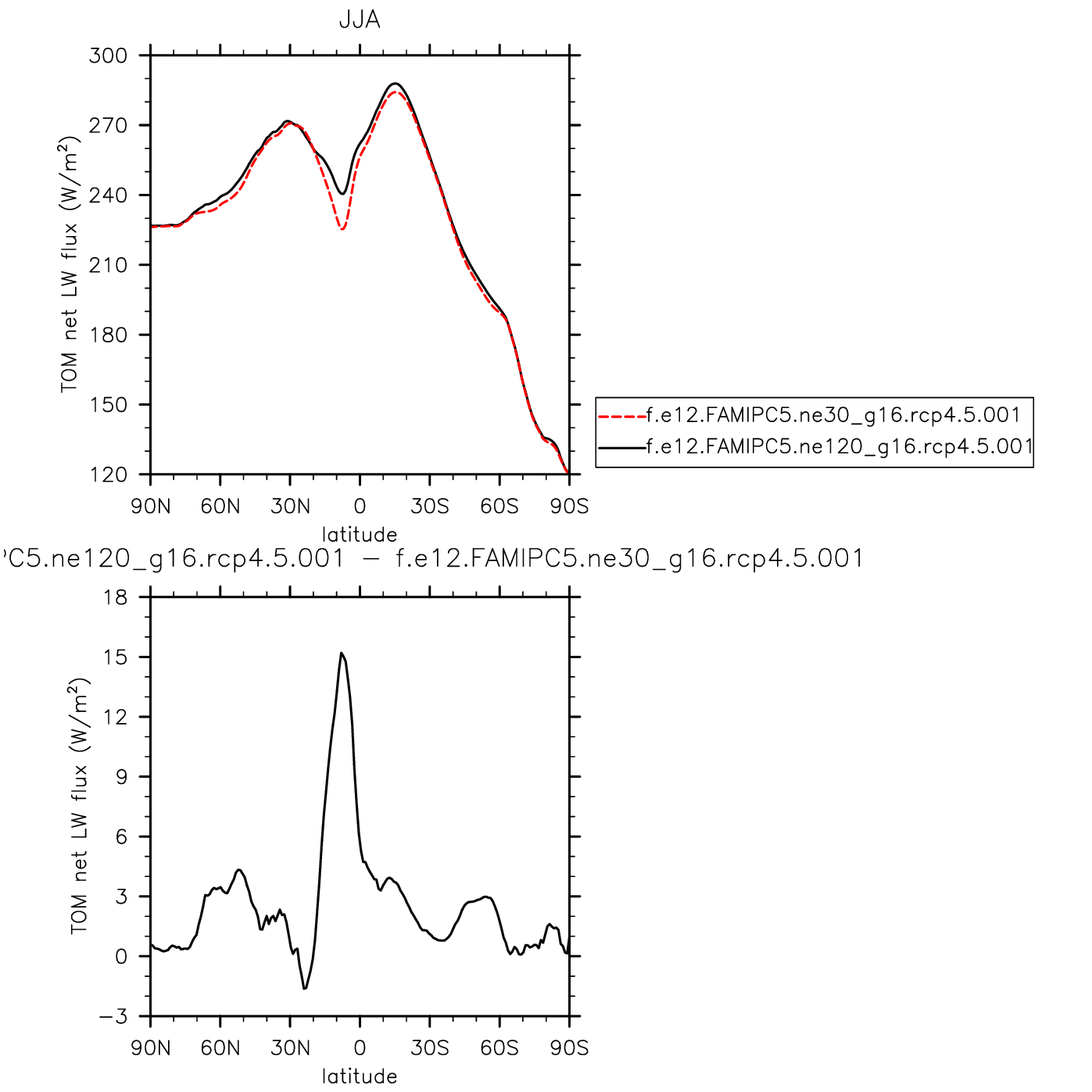
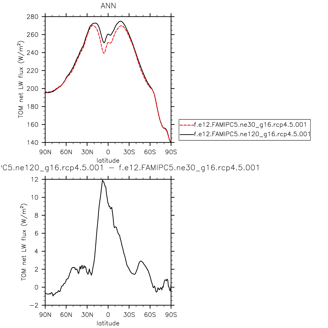
FLNT * Net longwave flux plot plot plot plot plot
FLNTC * Clearsky net longwave flux plot plot plot plot plot
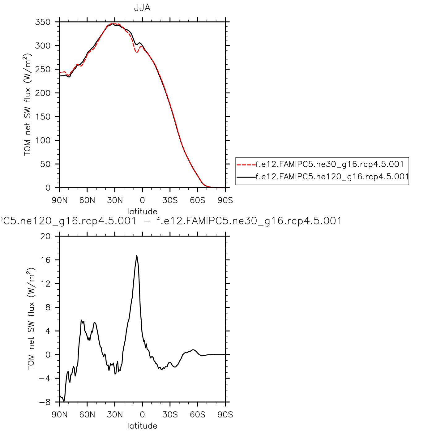
FSNT * Net shortwave flux plot plot plot plot plot
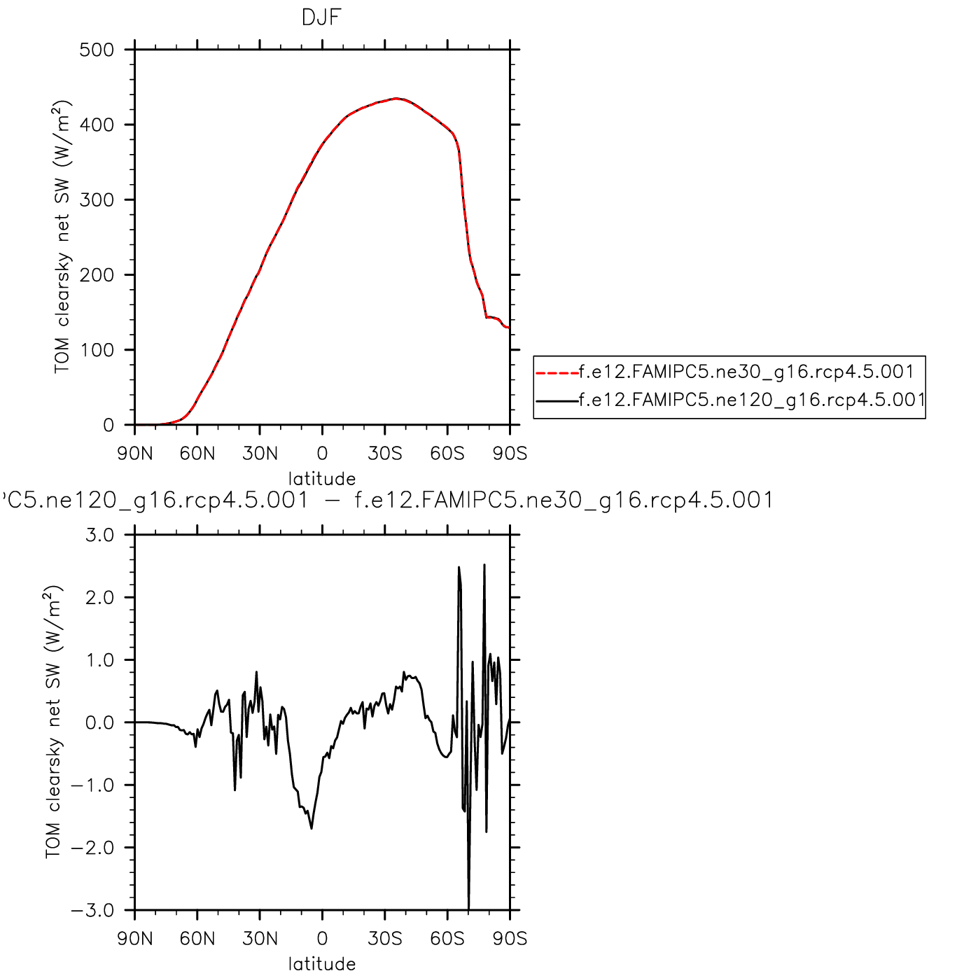
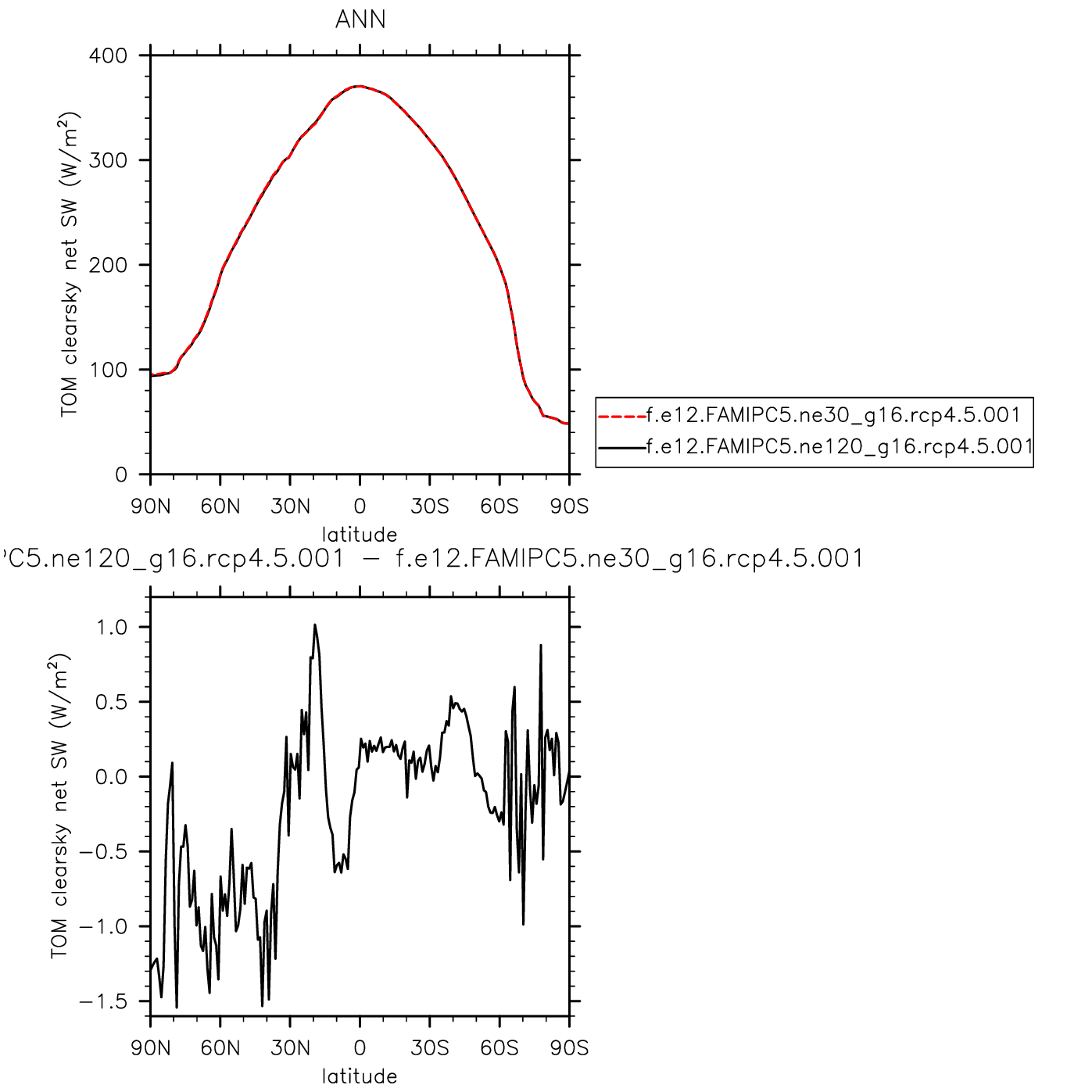
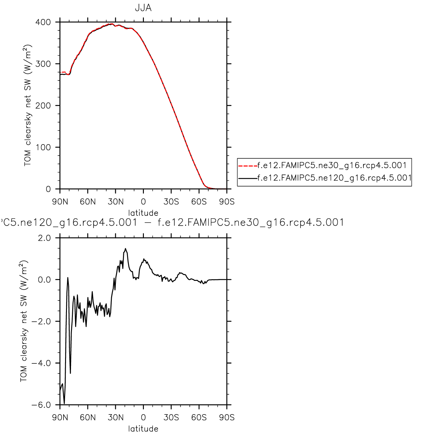
FSNTC * Clearsky net shortwave flux plot plot plot plot plot
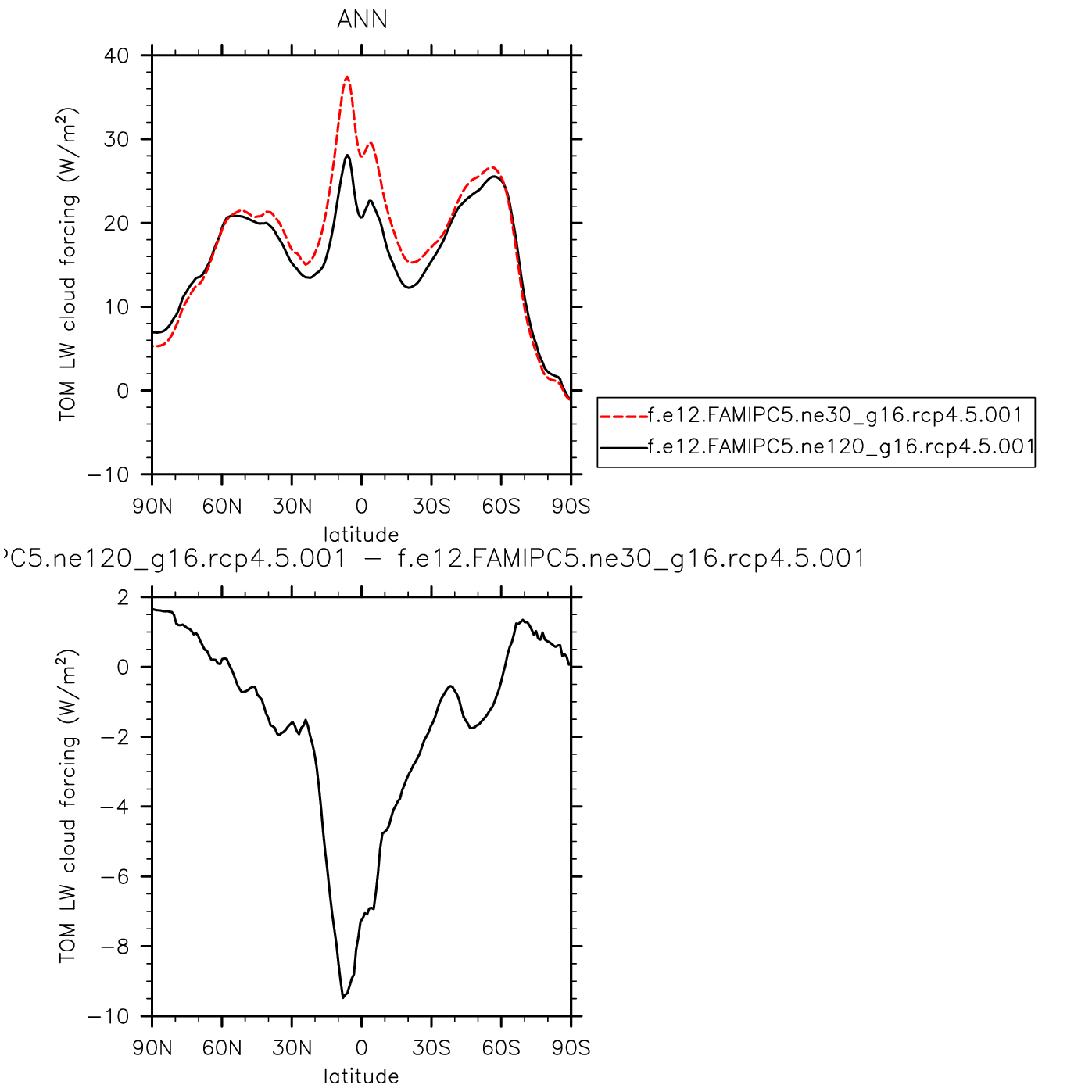
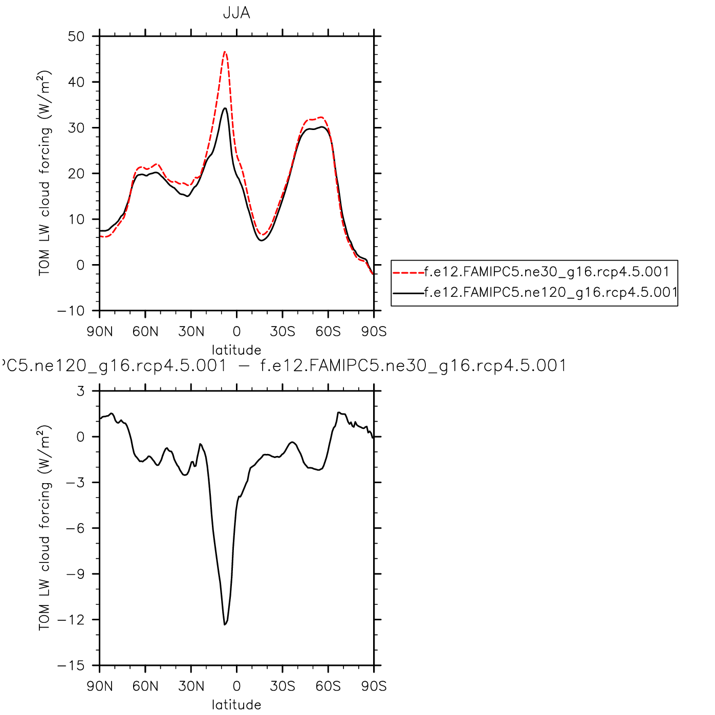
LWCF * Longwave cloud forcing plot plot plot plot plot
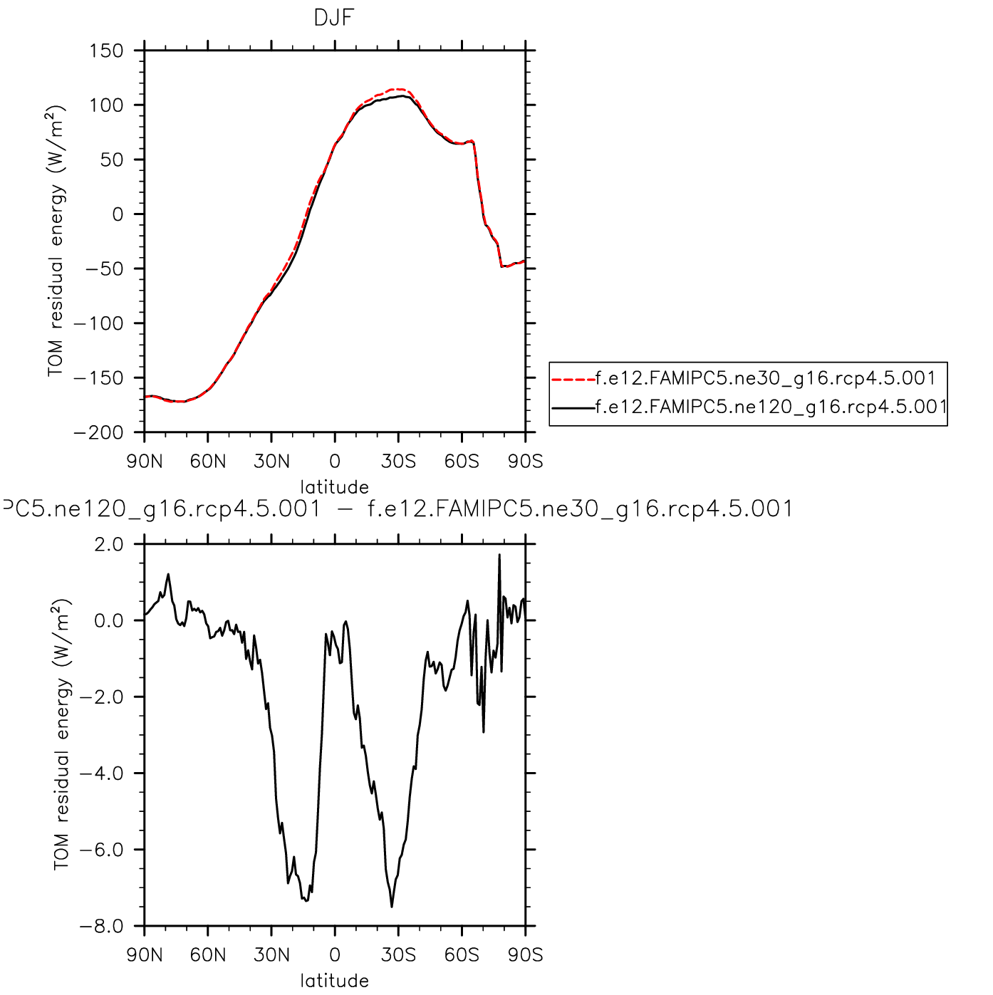
RESTOM Residual Flux at TOM (fsnt-flnt) plot plot plot plot plot
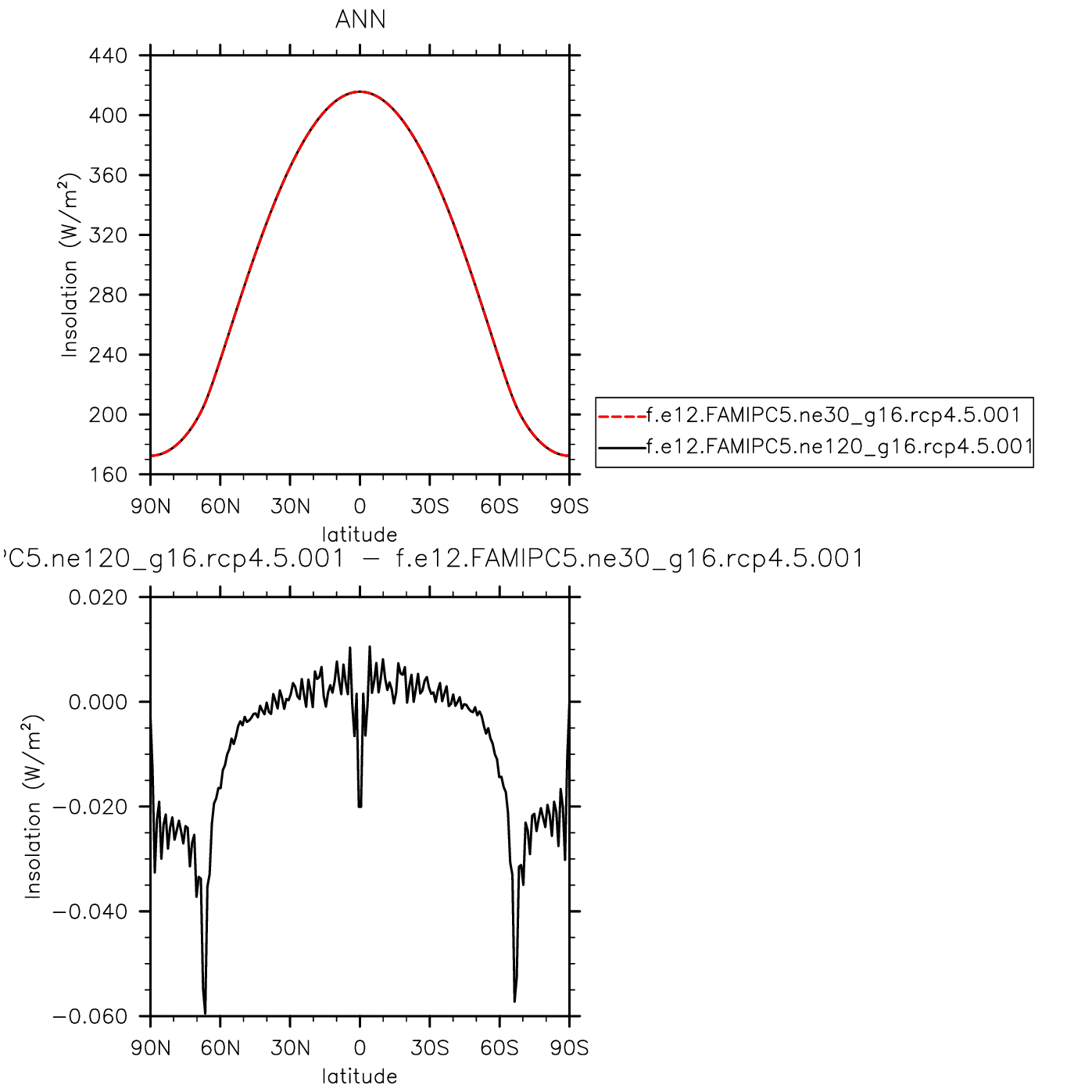
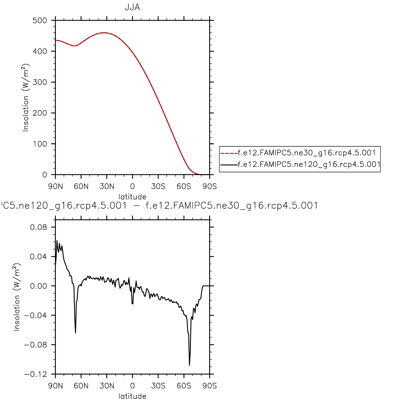
SOLIN Incoming solar radiation plot plot plot plot plot
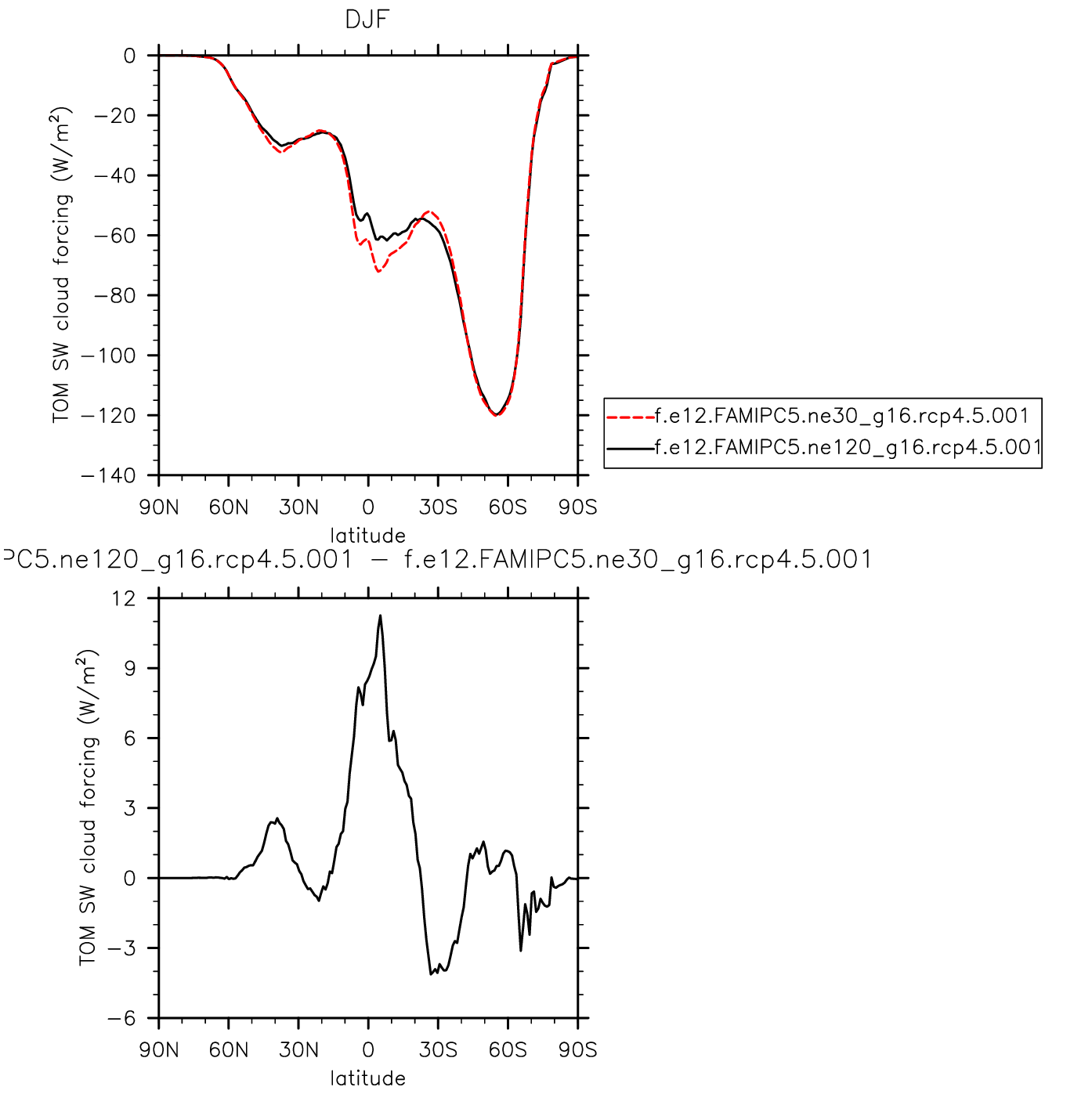
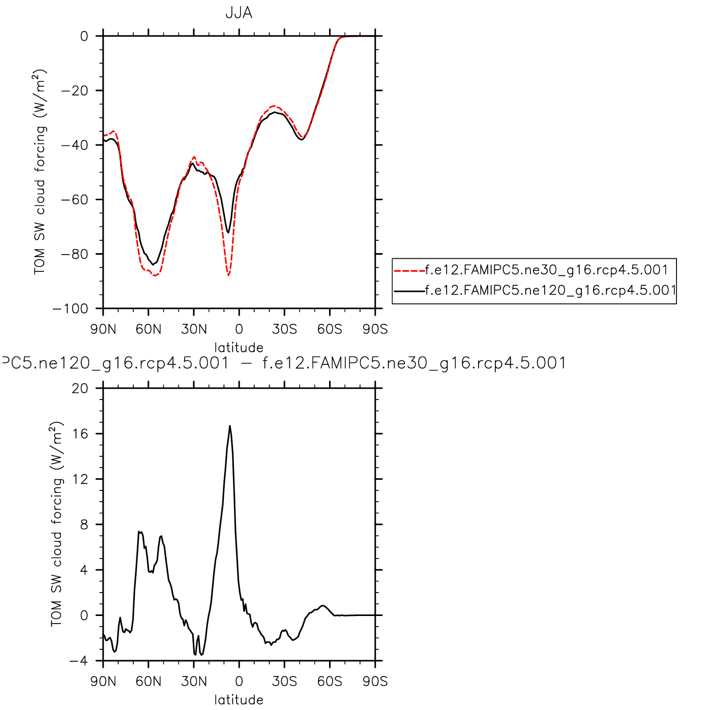
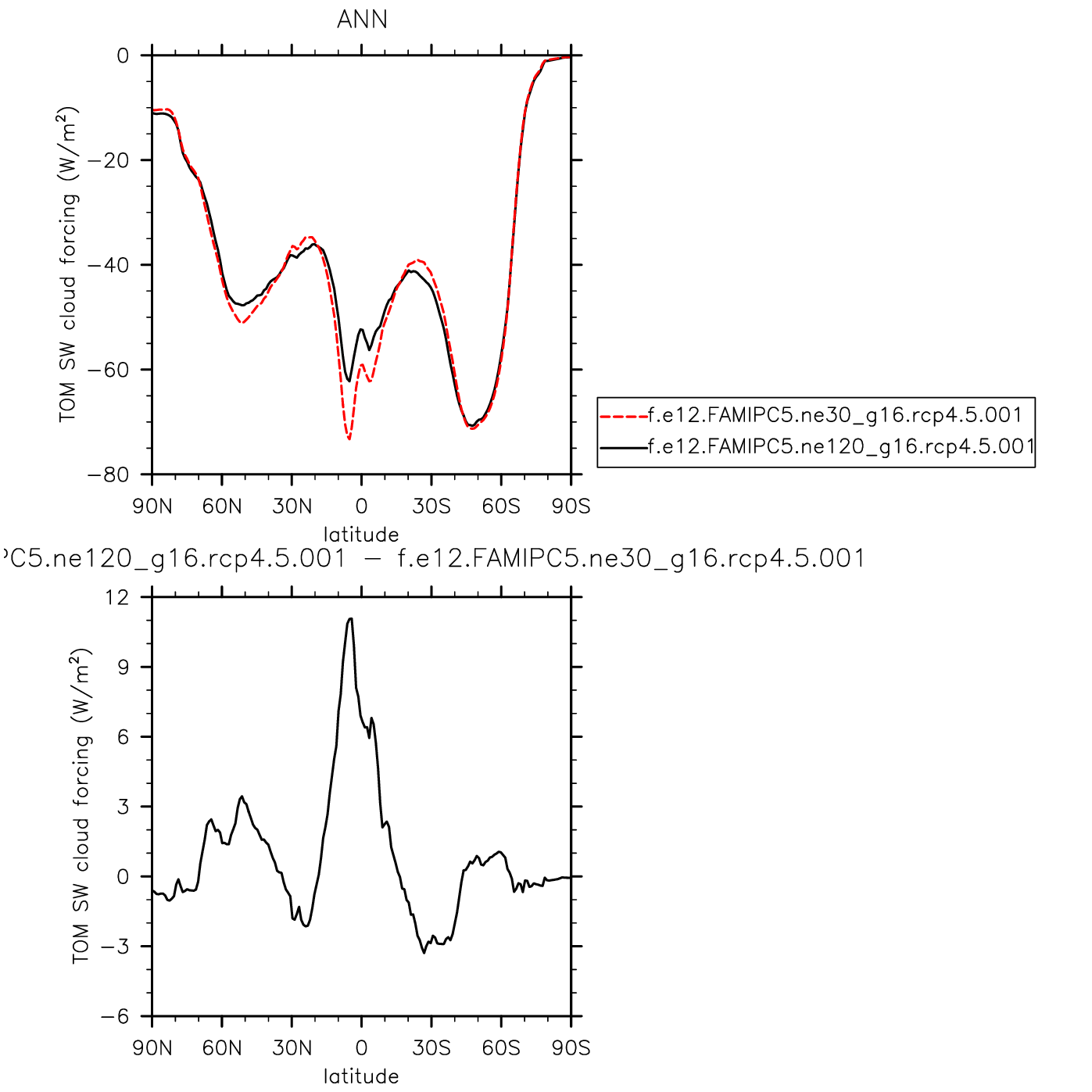
SWCF * Shortwave cloud forcing plot plot plot plot plot

Cloud Variables DJF MAM JJA SON ANN
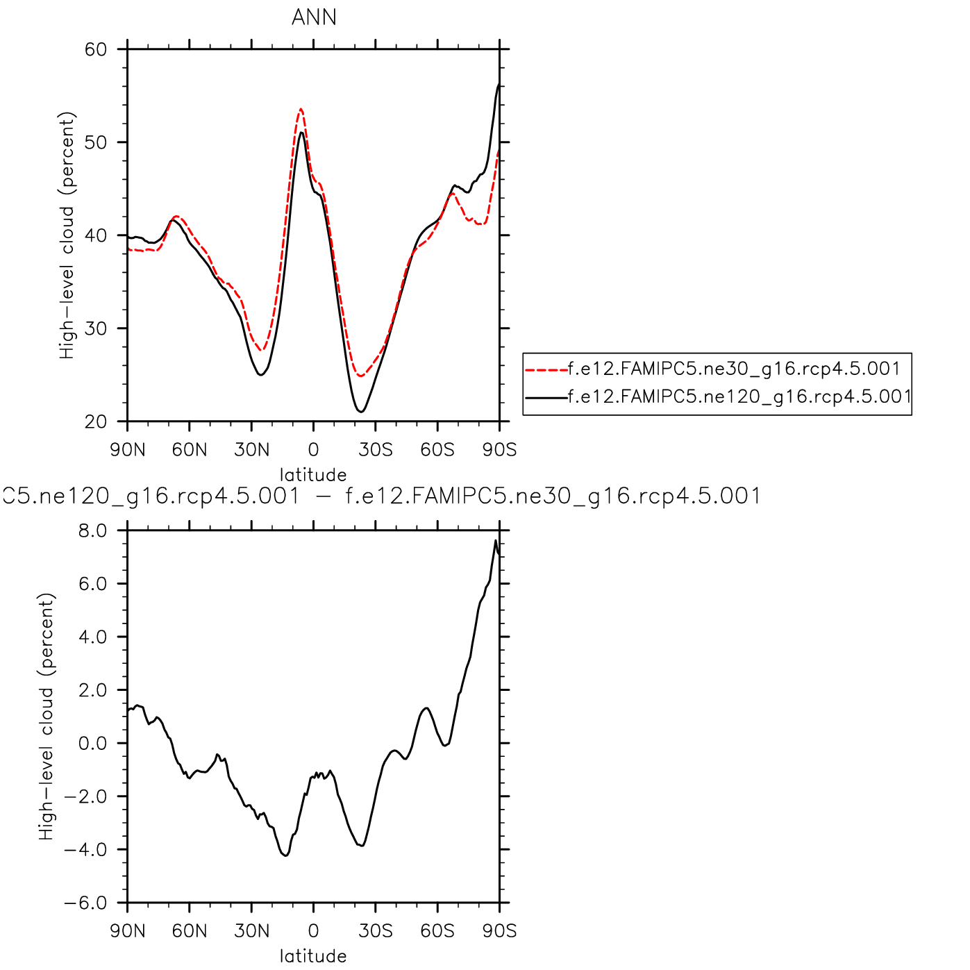
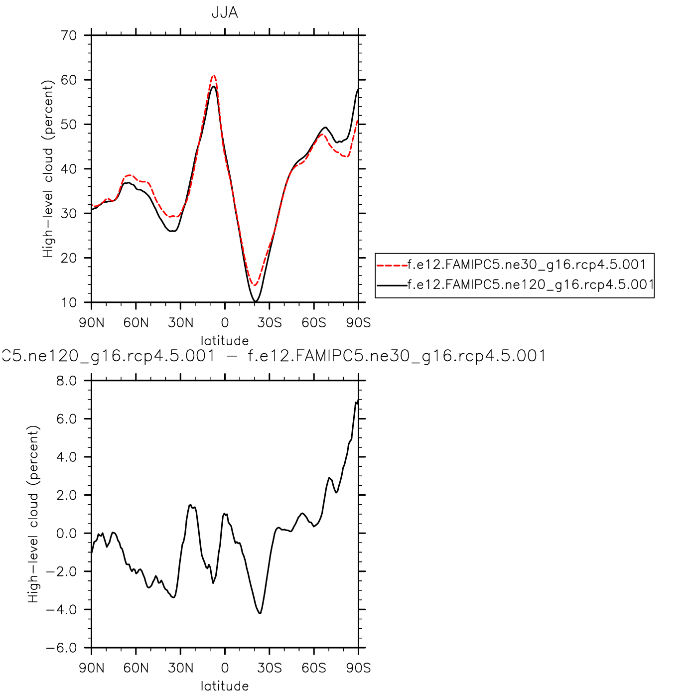
CLDHGH High-level cloud cover plot plot plot plot plot
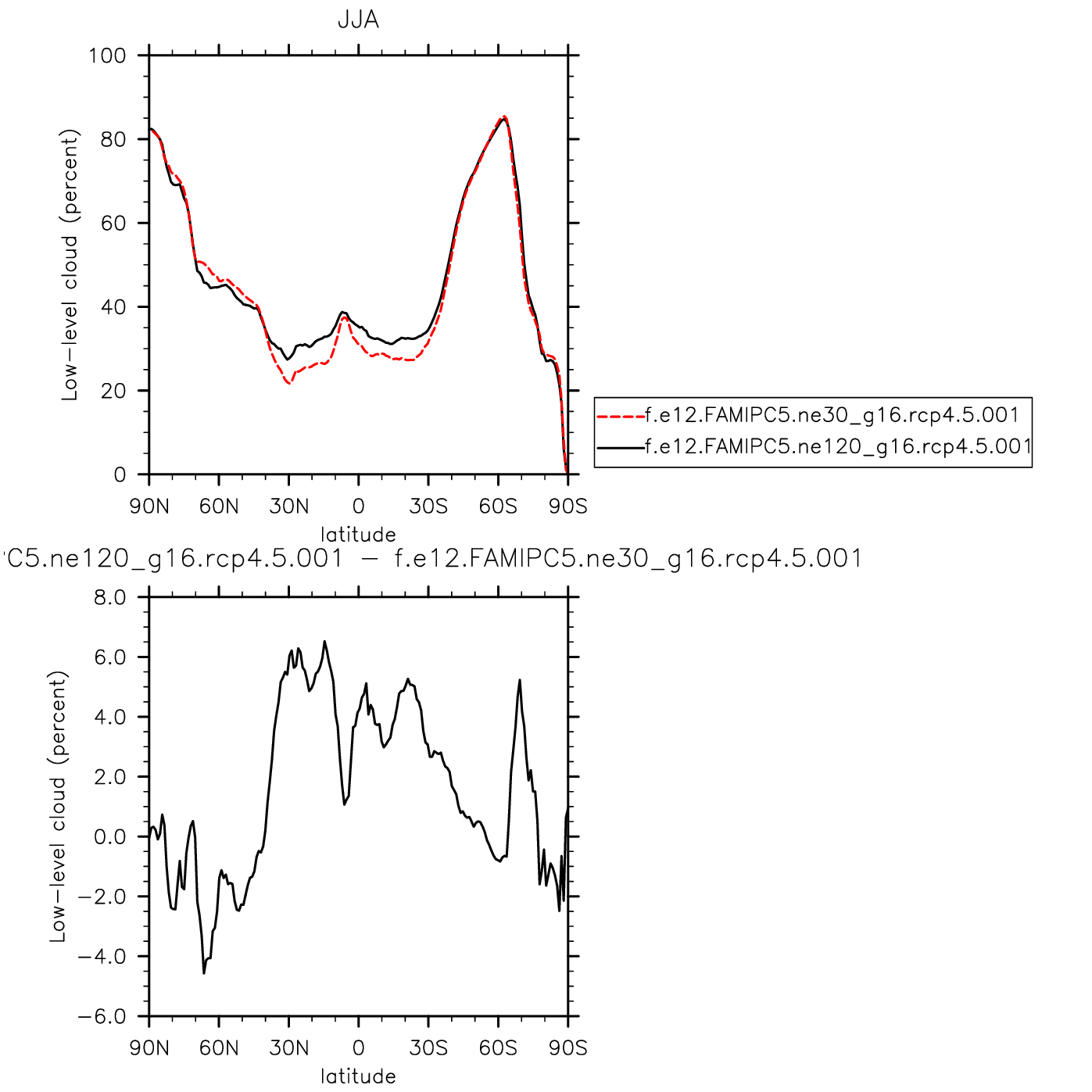
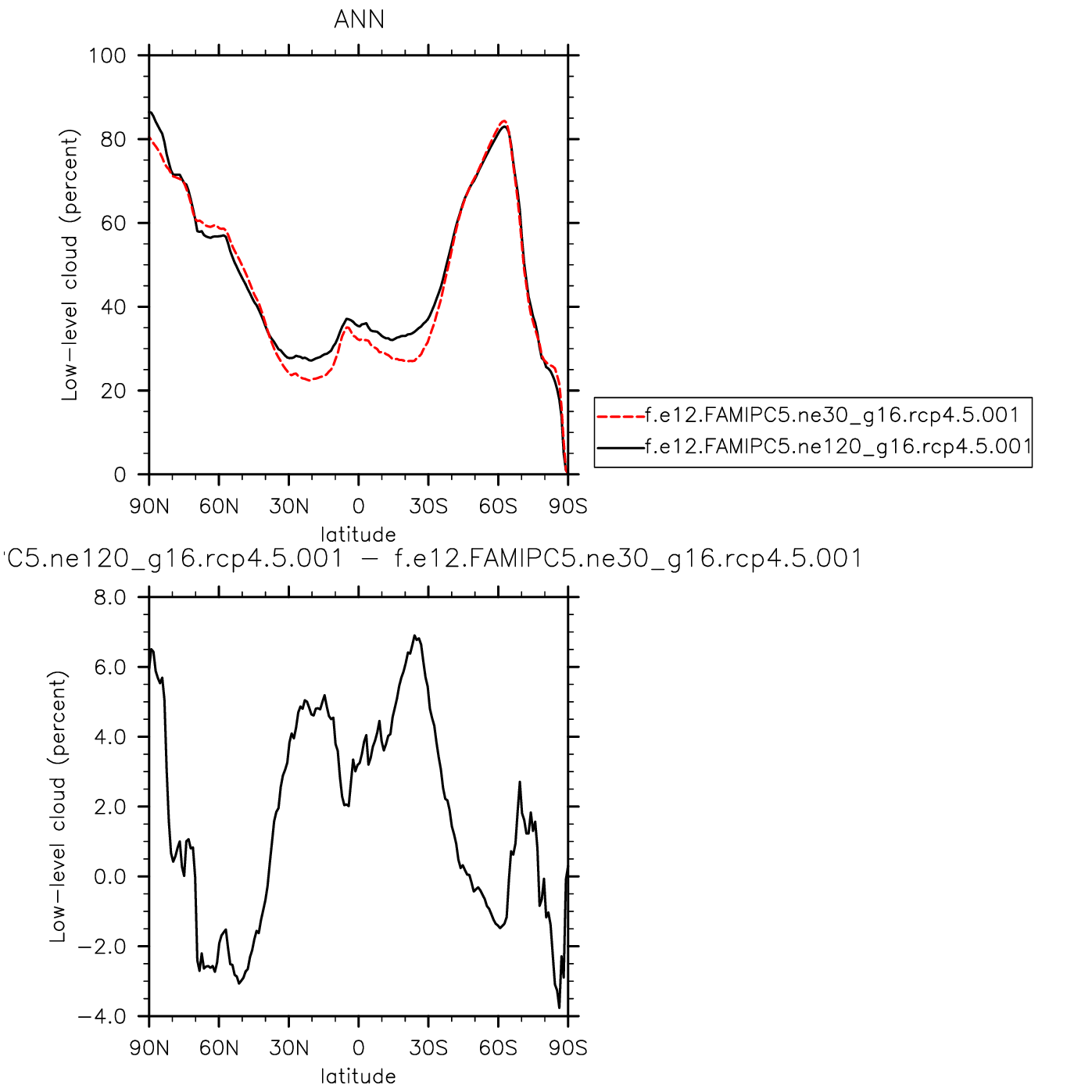
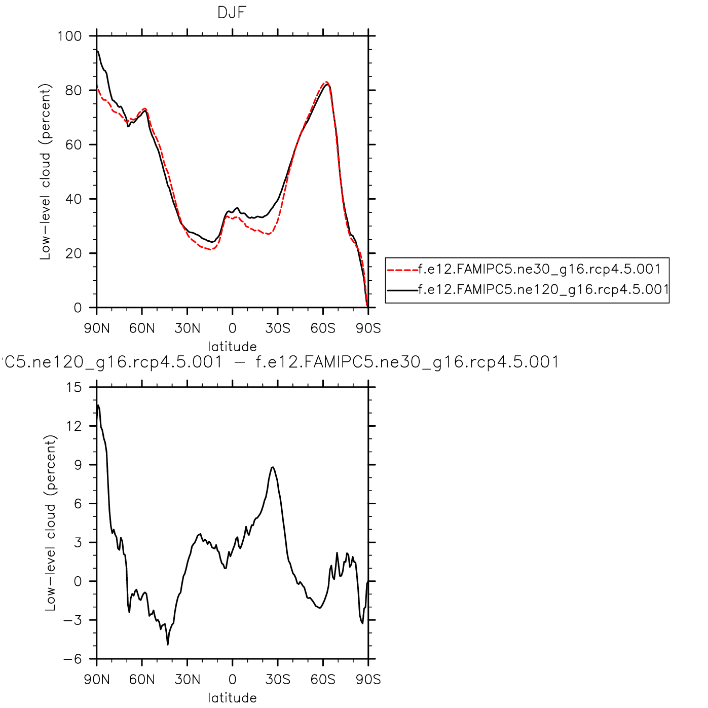
CLDLOW Low-level cloud cover plot plot plot plot plot
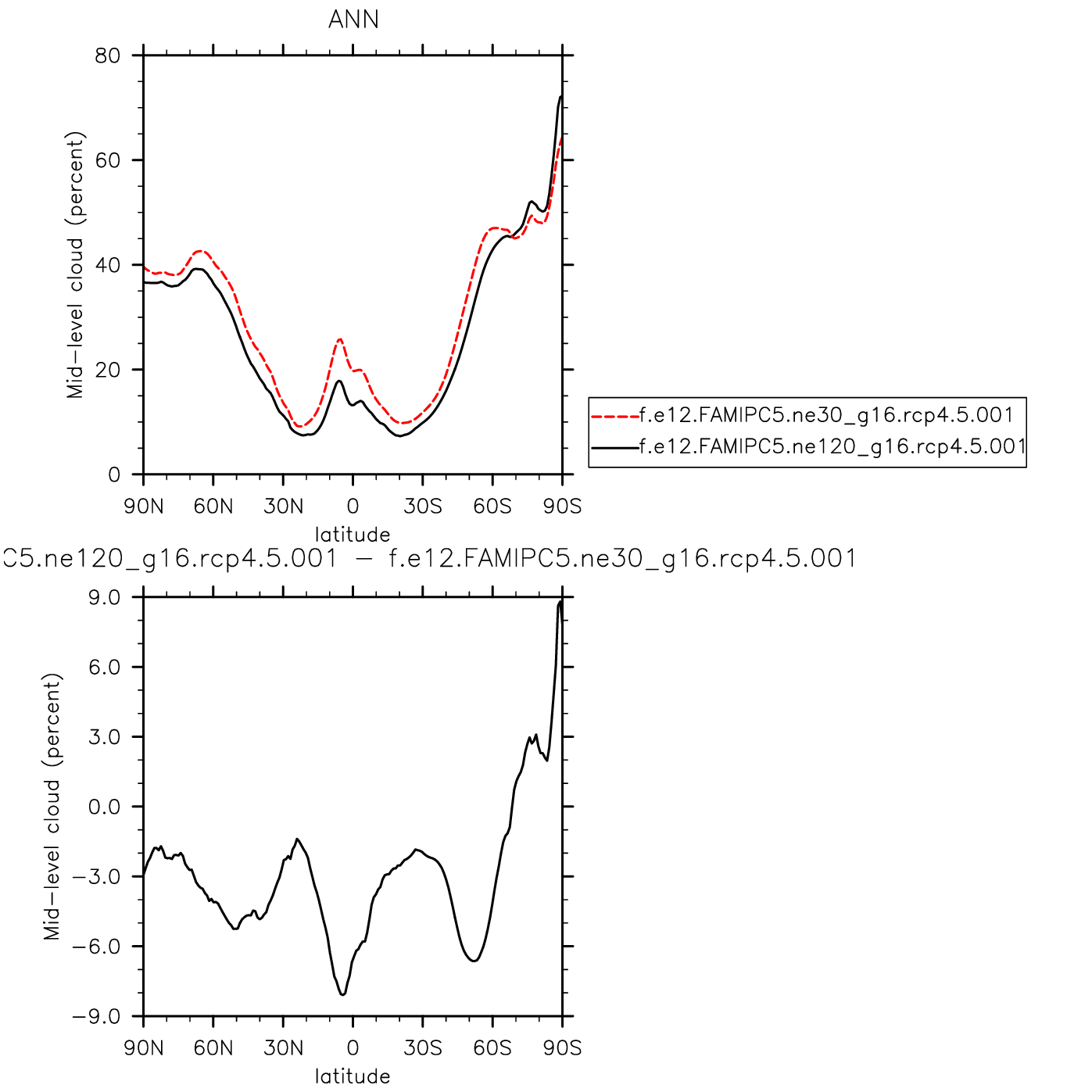
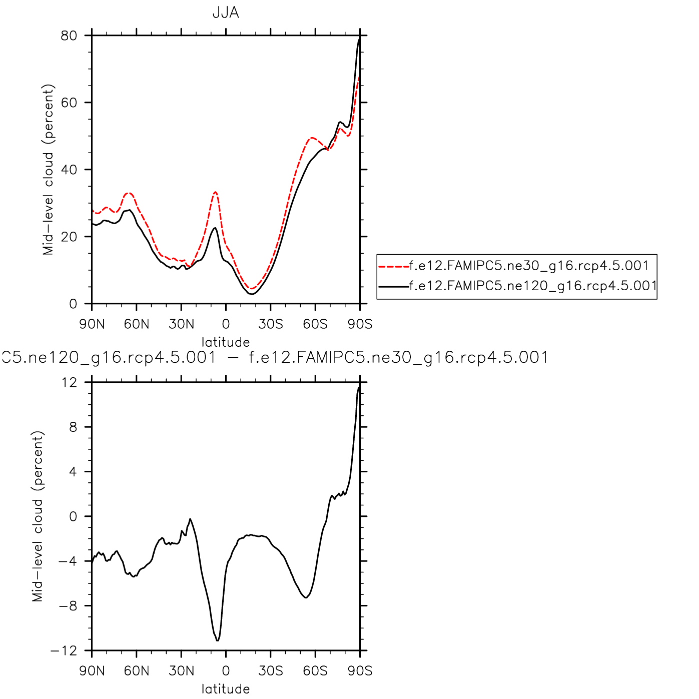
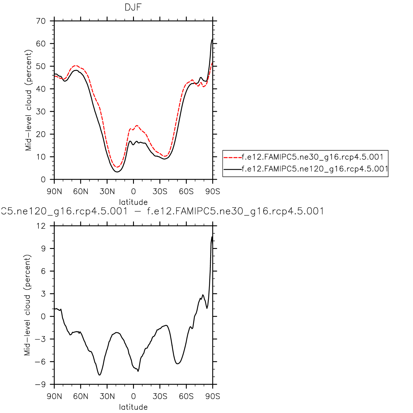
CLDMED Mid-level cloud cover plot plot plot plot plot
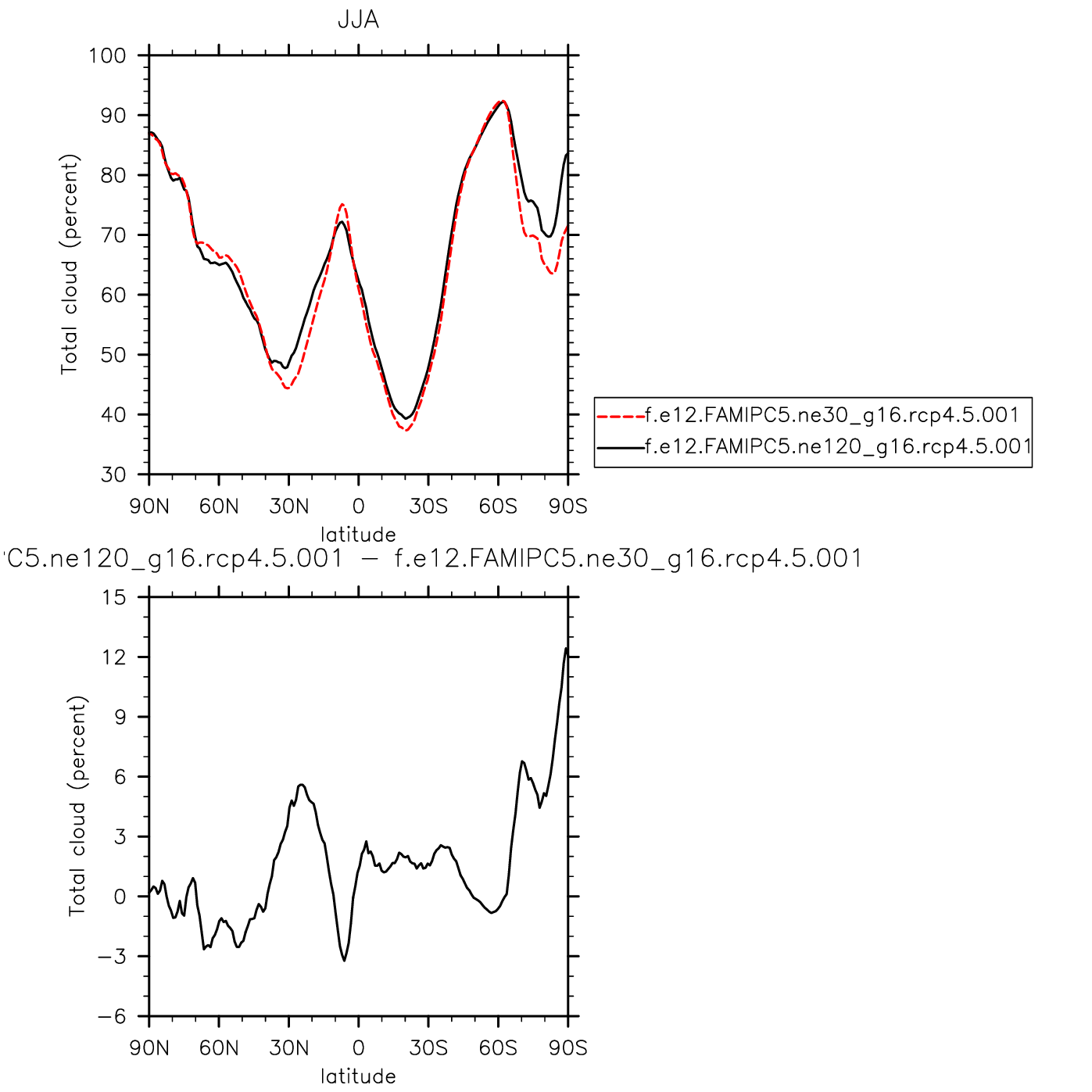
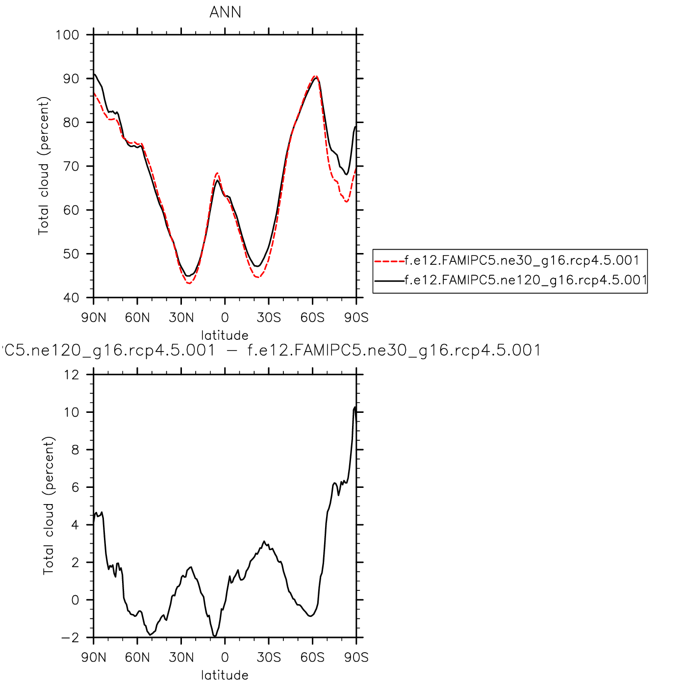
CLDTOT * Total cloud cover plot plot plot plot plot
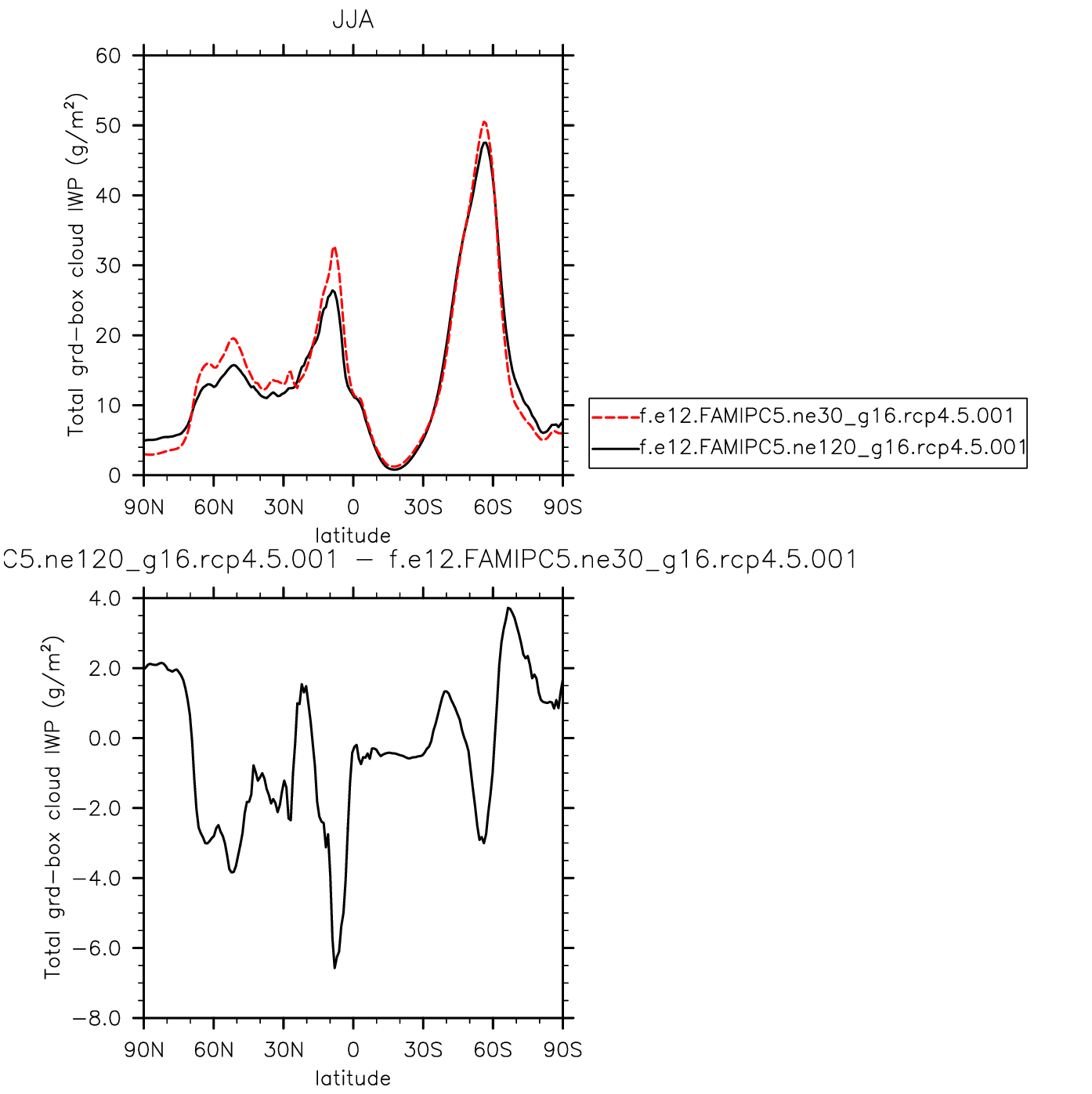
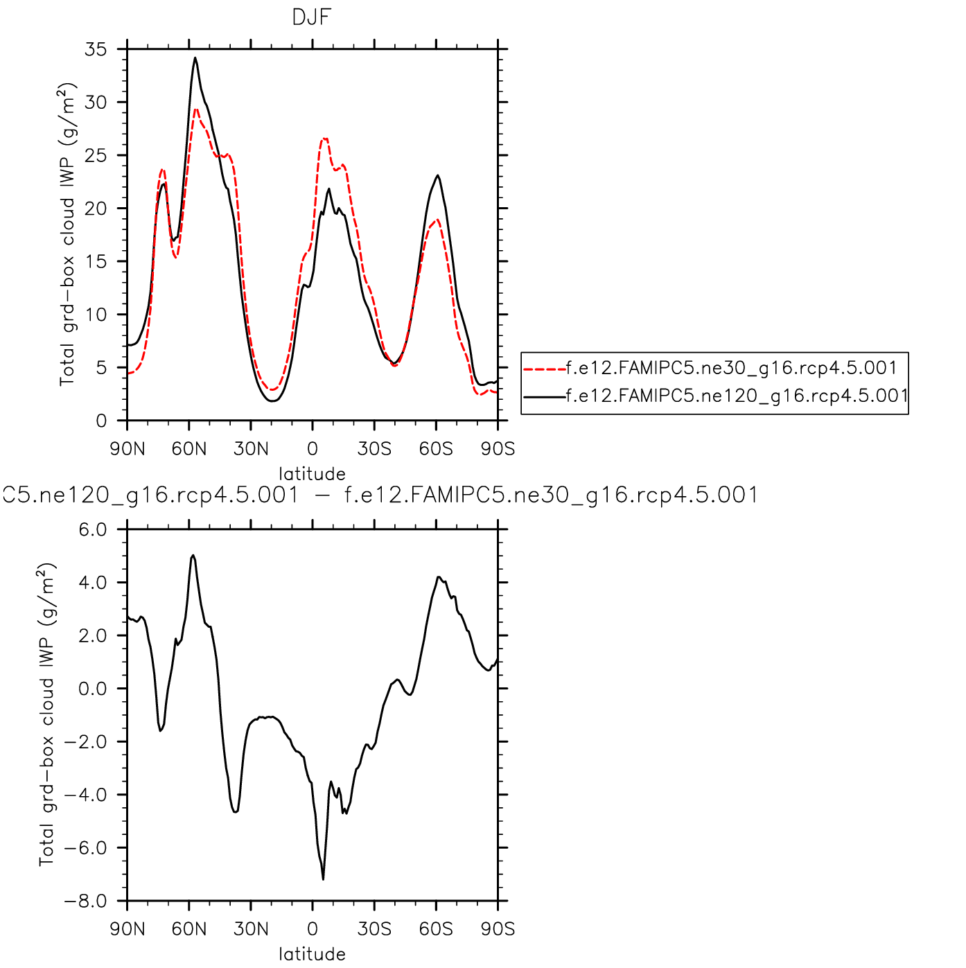
TGCLDIWP Total grid-box cloud liquid water path (ice) plot plot plot plot plot
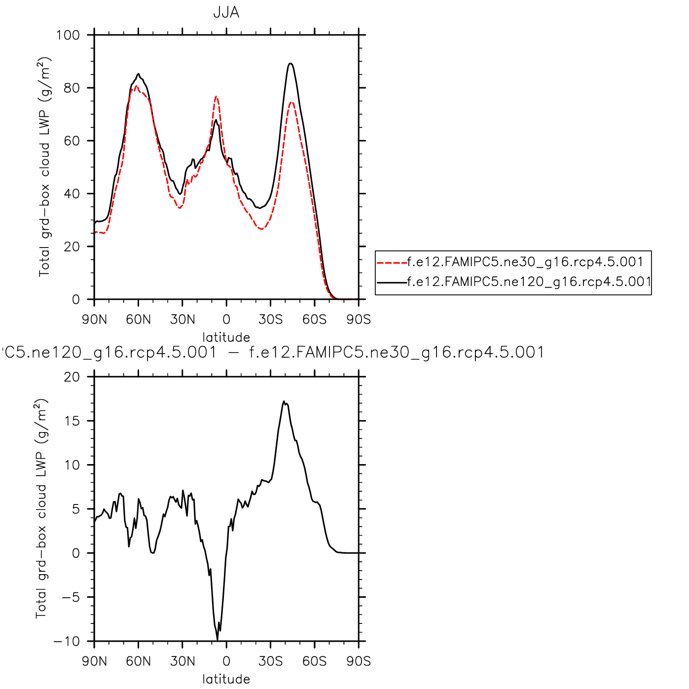
TGCLDLWP Total grid-box cloud liquid water path (liquid) plot plot plot plot plot
TICLDIWP Total integrated in-cloud ice WP plot plot plot plot plot
TICLDLIQWP Total integrated in-cloud liquid WP plot plot plot plot plot
TICLDLWP Total integrated in-cloud liquid+ice WP plot plot plot plot plot

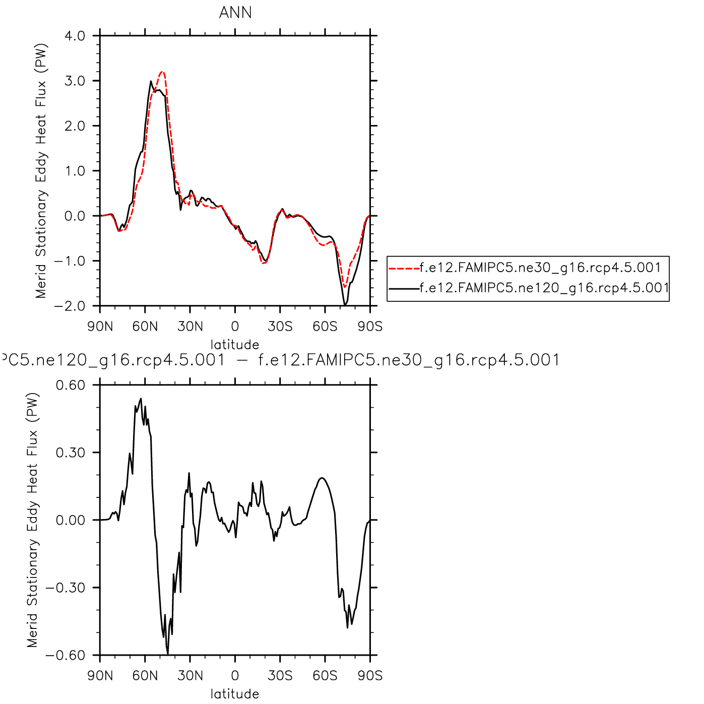
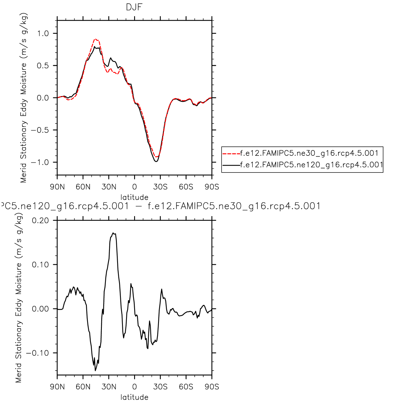
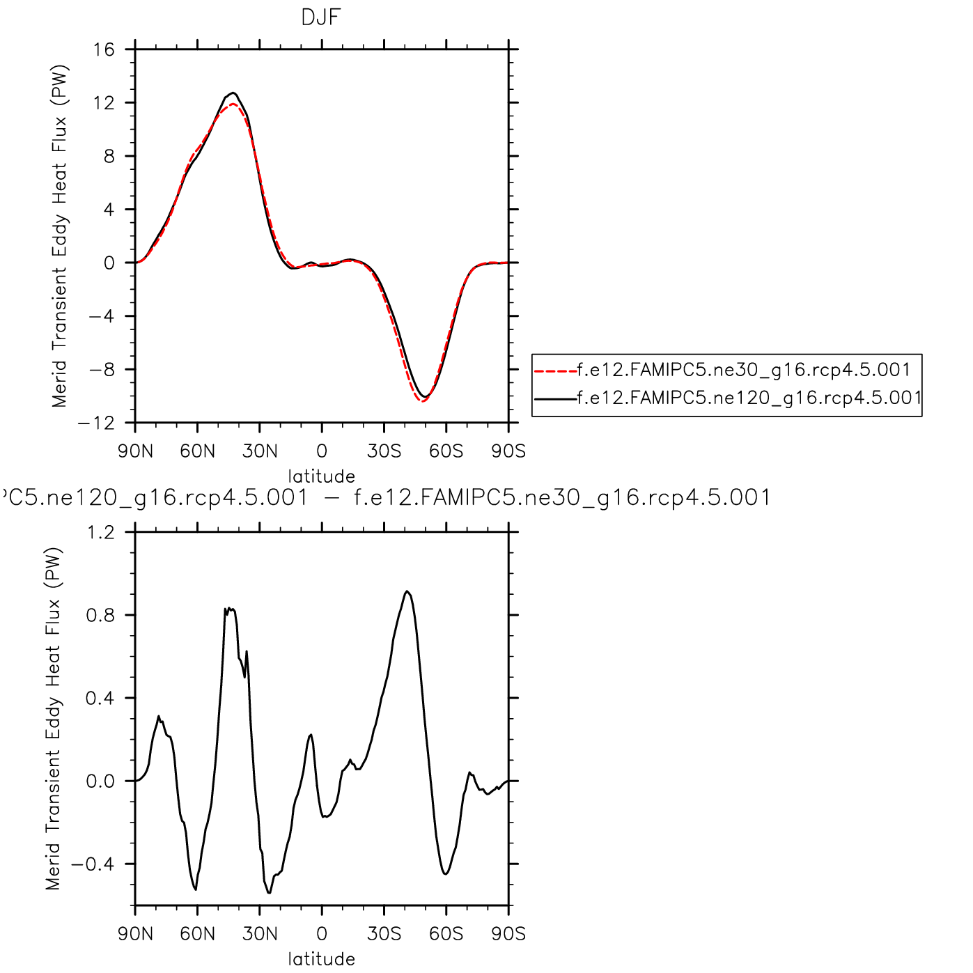
Meridional Eddy Fluxes DJF MAM JJA SON ANN
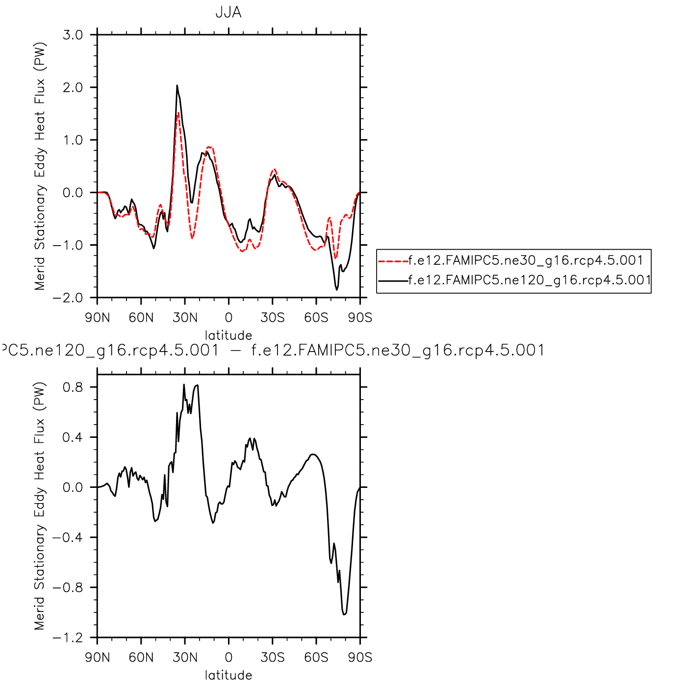
VBSTAR_TBSTAR Stationary Heat Flux plot plot plot plot plot
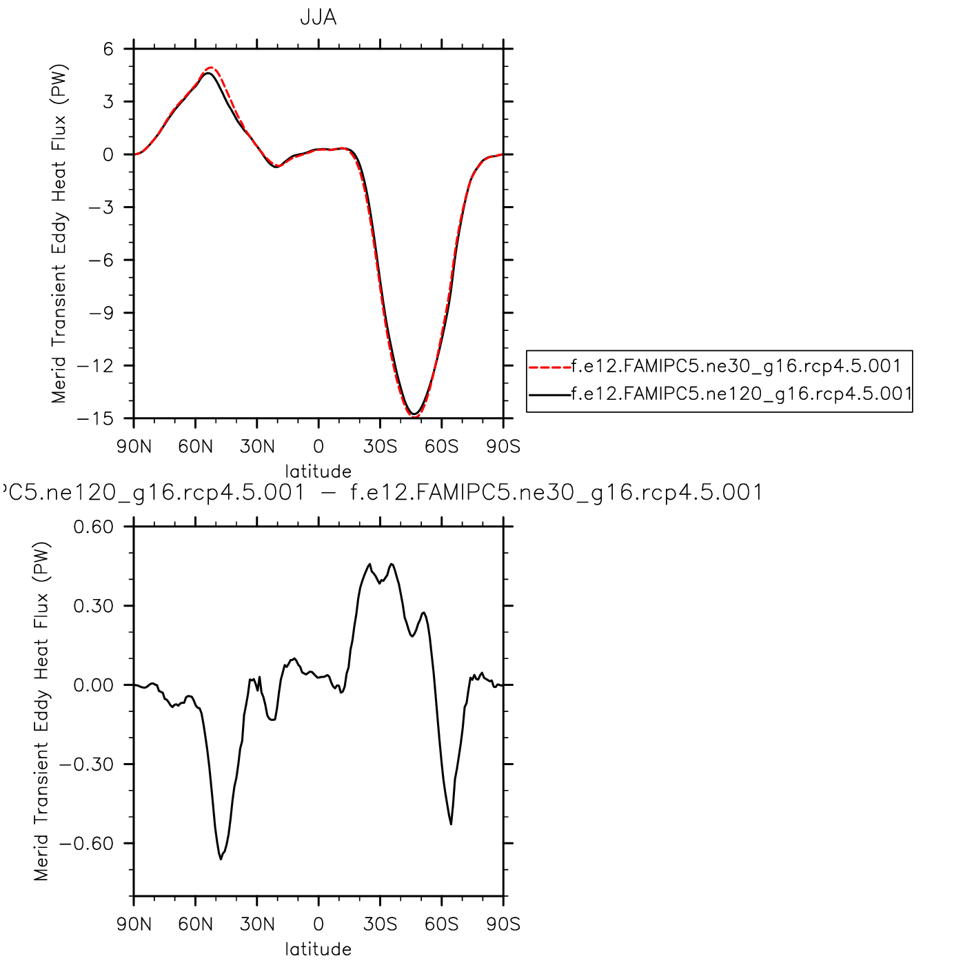
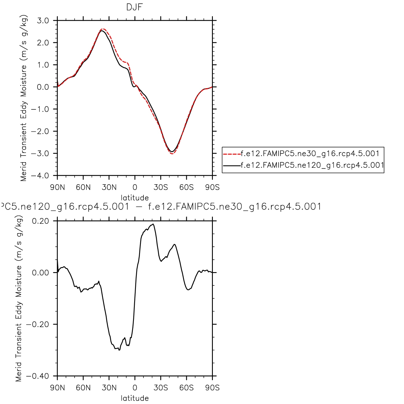
VPTP_BAR Transient Heat Flux plot plot plot plot plot
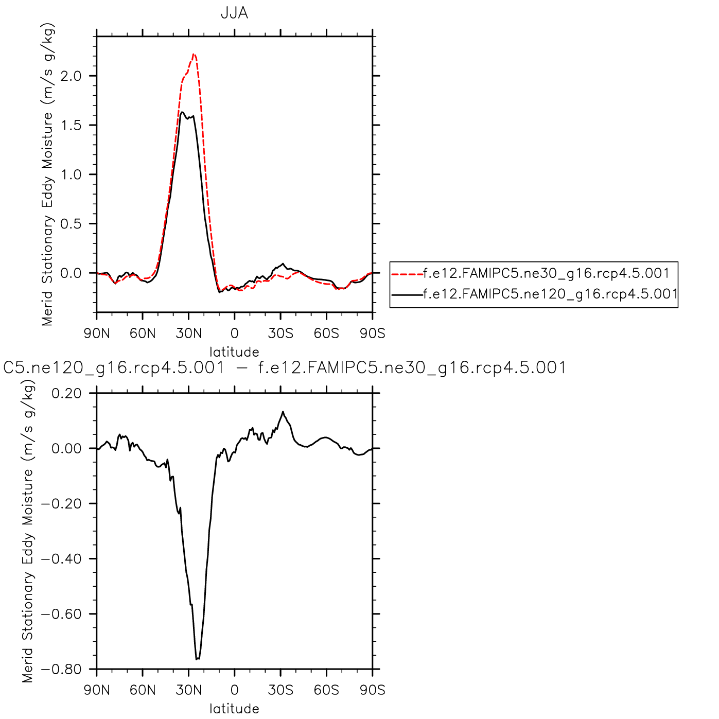
VBSTAR_QBSTAR Stationary Moisture Flux plot plot plot plot plot
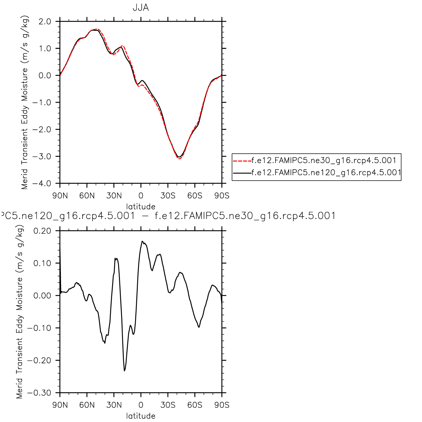
VPQP_BAR Transient Moisture Flux plot plot plot plot plot
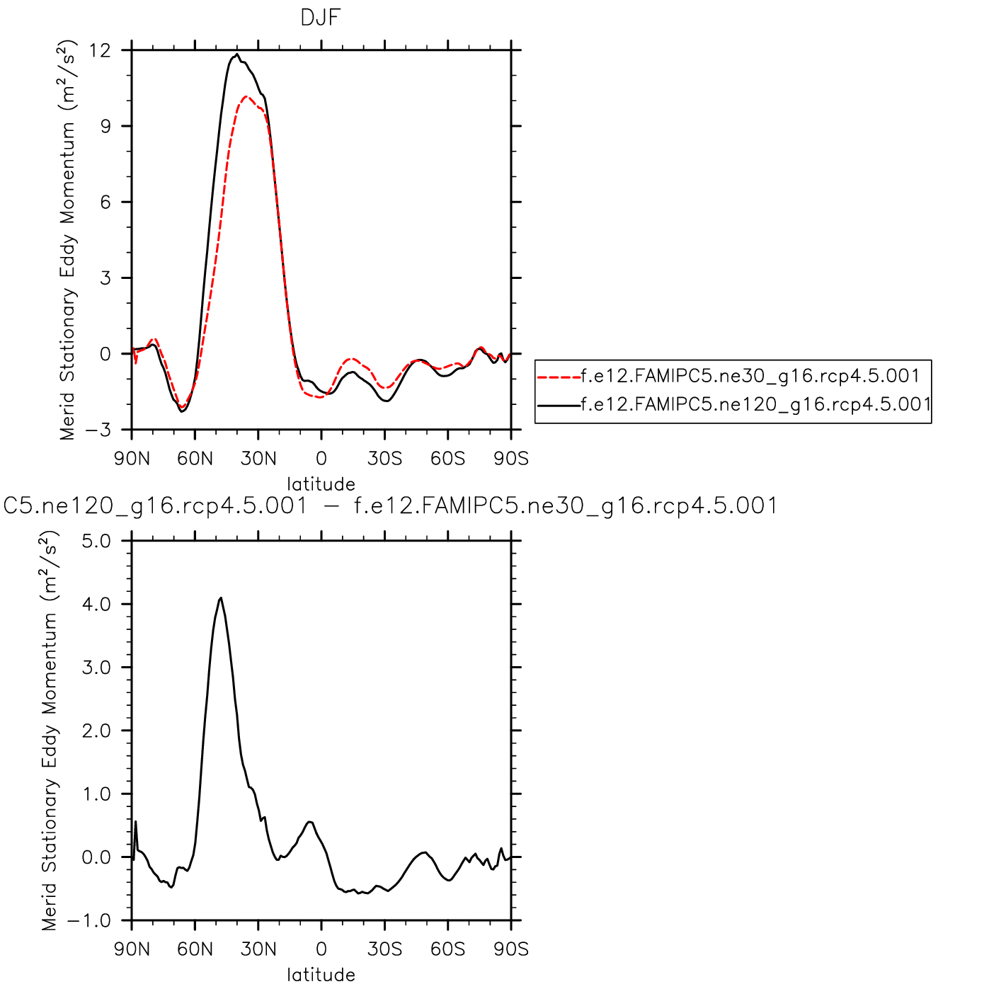
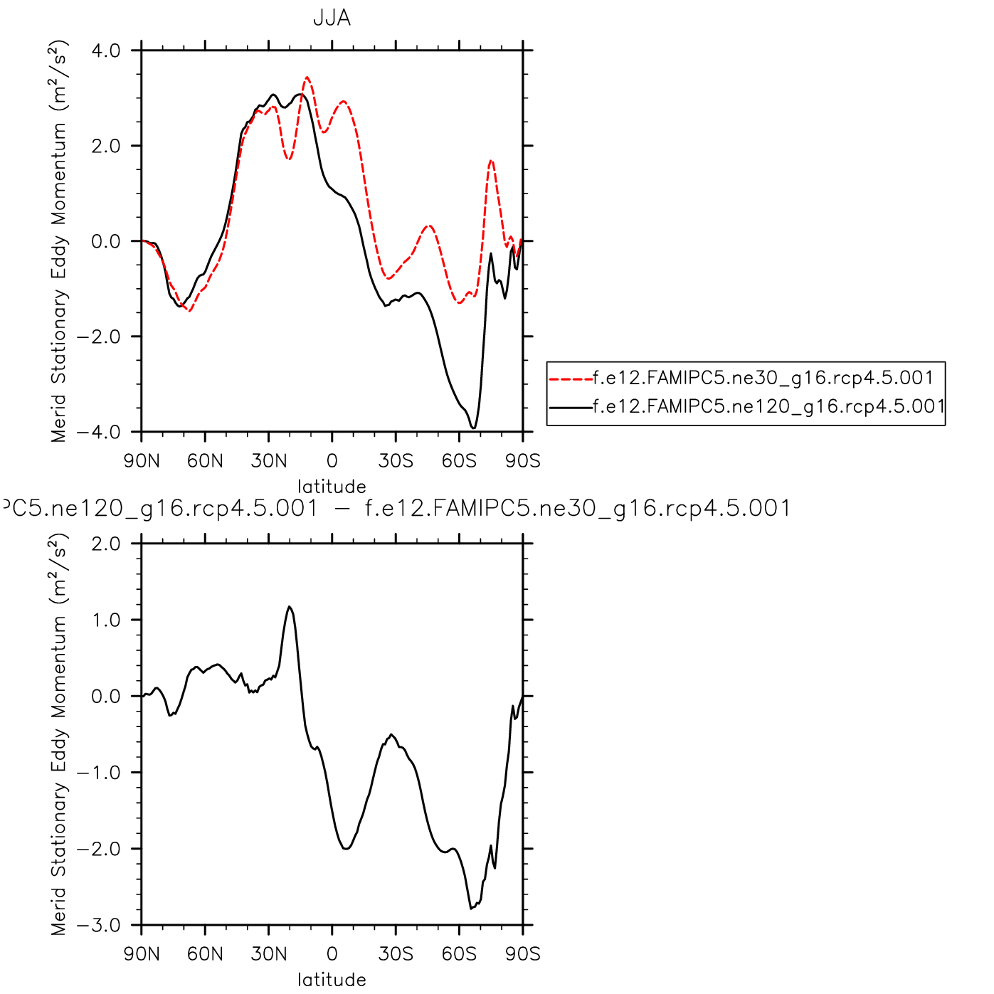
VBSTAR_UBSTAR Stationary Momentum Flux plot plot plot plot plot
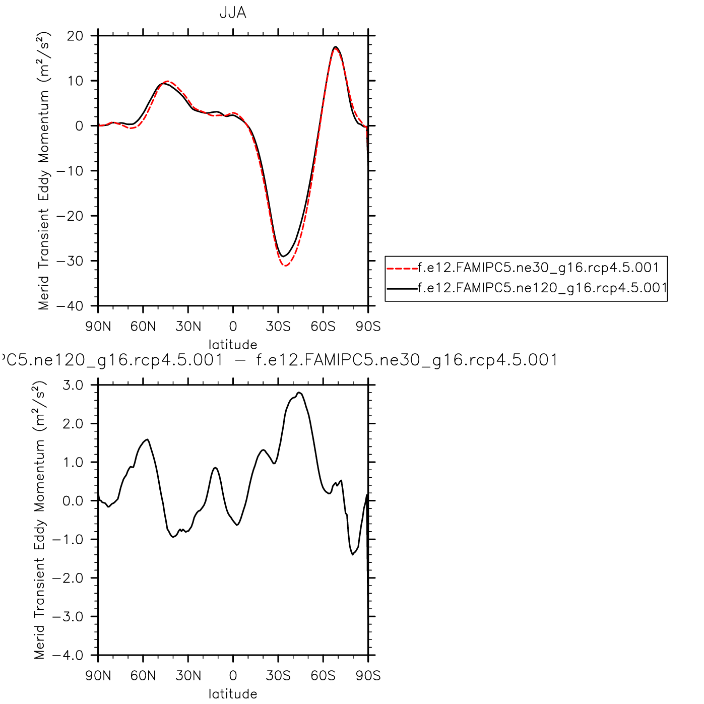
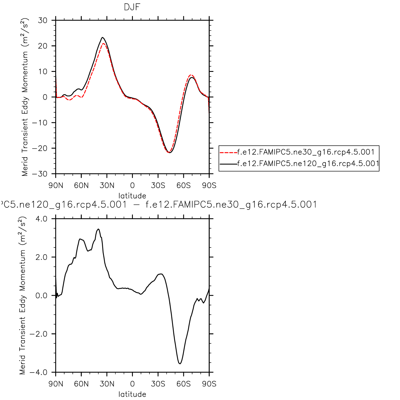
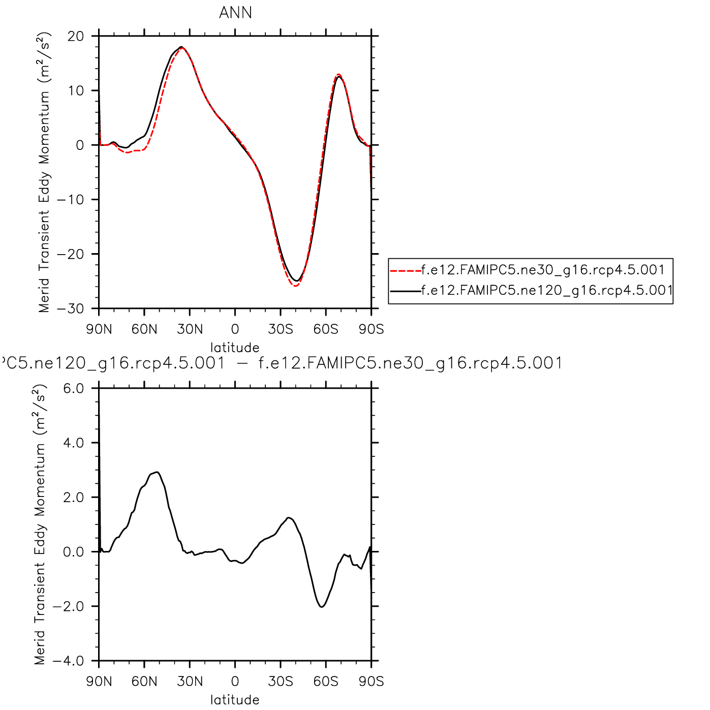
VPUP_BAR Transient Momentum Flux plot plot plot plot plot

Aerosols DJF MAM JJA SON ANN
AODVIS Aerosol Optical Depth plot plot plot plot plot
AODDUST Dust Optical Depth plot plot plot plot plot

CFMIP Observation Simulator Package (COSP) Primary Diagnostics

CALIPSO GOCCP 2007-2010 DJF MAM JJA SON ANN
CLDTOT_CAL Total cloud amount plot plot plot plot plot
CLDLOW_CAL Low-level cloud amount plot plot plot plot plot
CLDMED_CAL Mid-level cloud amount plot plot plot plot plot
CLDHGH_CAL High-level cloud amount plot plot plot plot plot

ISCCP-COSP From D1 Daytime Jul1983-Sep2008 DJF MAM JJA SON ANN
CLDTOT_ISCCPCOSP Total cloud amount (tau > 0.3) plot plot plot plot plot
CLDTHICK_ISCCPCOSP Optically thick cloud amount (tau > 23.0) plot plot plot plot plot

MISR L3 CTH-OD V5 Mar2000-Nov2009 DJF MAM JJA SON ANN
CLDTOT_MISR Total cloud amount (tau > 0.3) plot plot plot plot plot
CLDTHICK_MISR Optically thick cloud amount (tau > 23.0) plot plot plot plot plot

MODIS-COSP 2003-2010 DJF MAM JJA SON ANN
CLDTOT_MODIS Total cloud amount (tau > 0.3) plot plot plot plot plot
CLDTHICK_MODIS Optically thick cloud amount (tau > 23.0) plot plot plot plot plot

Additional COSP Diagnostics

CALIPSO GOCCP 2007-2010 DJF MAM JJA SON ANN
CLDTOT_CAL Total cloud amount plot plot plot plot plot
CLDLOW_CAL Low-level cloud amount plot plot plot plot plot
CLDMED_CAL Mid-level cloud amount plot plot plot plot plot
CLDHGH_CAL High-level cloud amount plot plot plot plot plot

CLOUDSAT-COSP From Level 2 GEOPROF Jun2006-Nov2010 DJF MAM JJA SON ANN
CLDTOT_CS2 Total cloud amount plot plot plot plot plot

ISCCP-COSP From D1 Daytime Jul1983-Sep2008 DJF MAM JJA SON ANN
CLDTOT_ISCCPCOSP Total cloud amount (tau > 0.3) plot plot plot plot plot
CLDLOW_ISCCPCOSP Low-topped cloud amount (tau > 0.3) plot plot plot plot plot
CLDMED_ISCCPCOSP Mid-topped cloud amount (tau > 0.3) plot plot plot plot plot
CLDHGH_ISCCPCOSP High-topped cloud amount (tau > 0.3) plot plot plot plot plot
CLDTHICK_ISCCPCOSP Optically thick cloud amount (tau > 23.0) plot plot plot plot plot
MEANPTOP_ISCCPCOSP Mean cloud top pressure plot plot plot plot plot
MEANCLDALB_ISCCPCOSP Mean cloud albedo plot plot plot plot plot

MISR L3 CTH-OD V5 Mar2000-Nov2009 DJF MAM JJA SON ANN
CLDTOT_MISR Total cloud amount (tau > 0.3) plot plot plot plot plot
CLDLOW_MISR Low-topped cloud amount (tau > 0.3) plot plot plot plot plot
CLDMED_MISR Mid-topped cloud amount (tau > 0.3) plot plot plot plot plot
CLDHGH_MISR High-topped cloud amount (tau > 0.3) plot plot plot plot plot
CLDTHICK_MISR Optically thick cloud amount (tau > 23.0) plot plot plot plot plot

MODIS-COSP 2003-2010 DJF MAM JJA SON ANN
CLDTOT_MODIS Total cloud amount (tau > 0.3) plot plot plot plot plot
CLDLOW_MODIS Low-topped cloud amount (tau > 0.3) plot plot plot plot plot
CLDMED_MODIS Mid-topped cloud amount (tau > 0.3) plot plot plot plot plot
CLDHGH_MODIS High-topped cloud amount (tau > 0.3) plot plot plot plot plot
CLDTHICK_MODIS Optically thick cloud amount (tau > 23.0) plot plot plot plot plot
CLIMODIS Total ice cloud amount plot plot plot plot plot
CLWMODIS Total liquid cloud amount plot plot plot plot plot
IWPMODIS Mean ice water path plot plot plot plot plot
LWPMODIS Mean liquid water path plot plot plot plot plot
PCTMODIS Mean cloud top pressure plot plot plot plot plot
REFFCLIMODIS Mean effective radius (ice clouds) plot plot plot plot plot
REFFCLWMODIS Mean effective radius (liquid clouds) plot plot plot plot plot
TAUILOGMODIS Log-weighted mean optical thickness (ice clouds) plot plot plot plot plot
TAUWLOGMODIS Log-weighted mean optical thickness (liquid clouds) plot plot plot plot plot
TAUTLOGMODIS Log-weighted mean optical thickness (all clouds) plot plot plot plot plot
TAUIMODIS Mean optical thickness (ice clouds) plot plot plot plot plot
TAUWMODIS Mean optical thickness (liquid clouds) plot plot plot plot plot
TAUTMODIS Mean optical thickness (all clouds) plot plot plot plot plot

* WGNE diagnostic variable