 FC5_MG15_f02g16.001
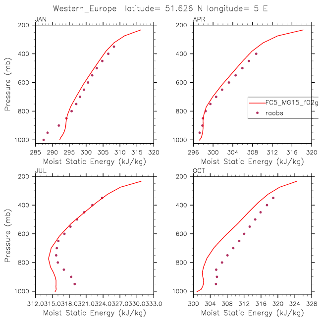
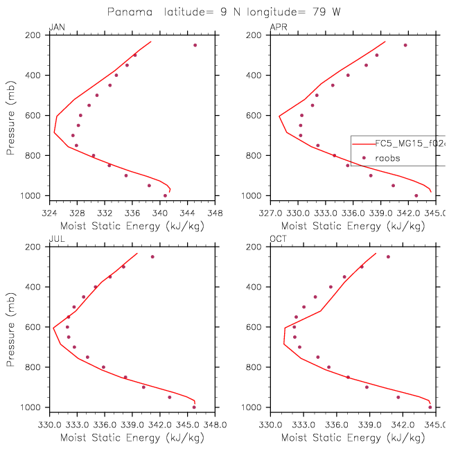
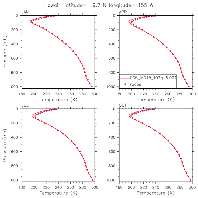
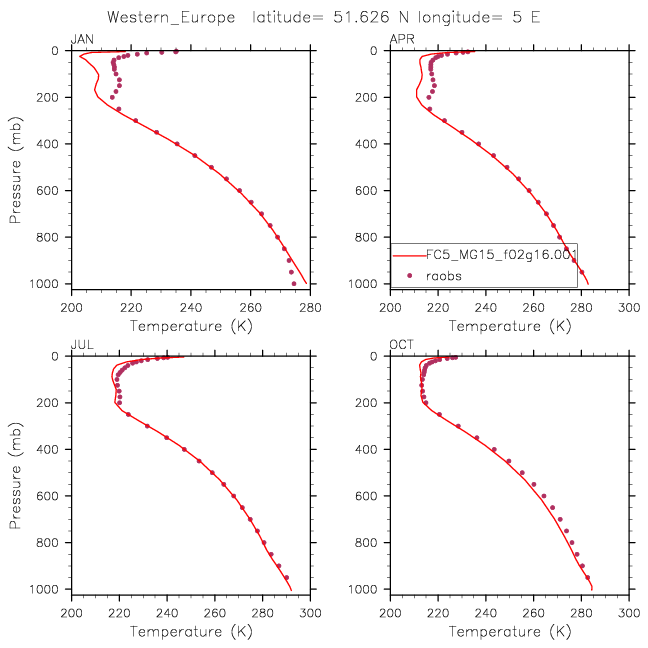
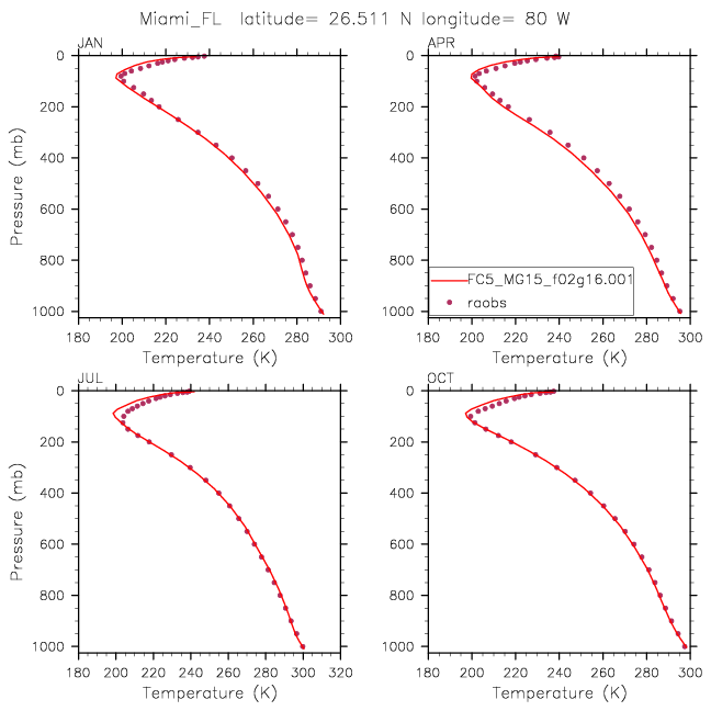
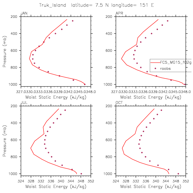
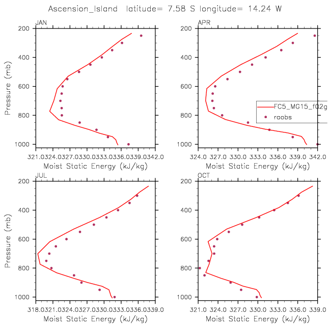
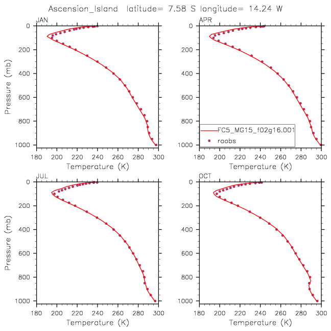
FC5_MG15_f02g16.001 Set 12 - Vertical Profiles at 17 selected raobs stations
| Station Name | T | Q | H | 
|---|---|---|---|
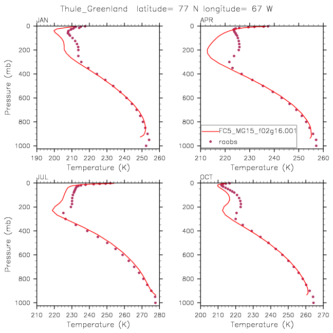
| Thule Greenland | plot | plot | plot | 
| Resolute NWT Canada | plot | plot | plot | 
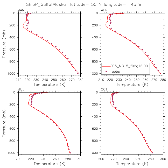
| Ship P Gulf of Alaska | plot | plot | plot | 
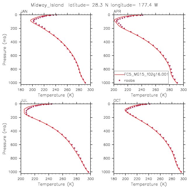
| Midway Island (N Pacific) | plot | plot | plot | 
| Northern Great Plains USA | plot | plot | plot | 
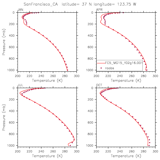
| San Francisco Calif USA | plot | plot | plot | 
| Western Europe | plot | plot | plot | 
| Miami Florida USA | plot | plot | plot | 
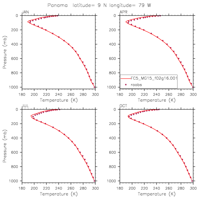
| Panama Central America | plot | plot | plot | 
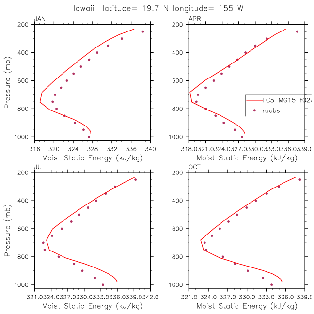
| Hawaii (Eq Pacific) | plot | plot | plot | 
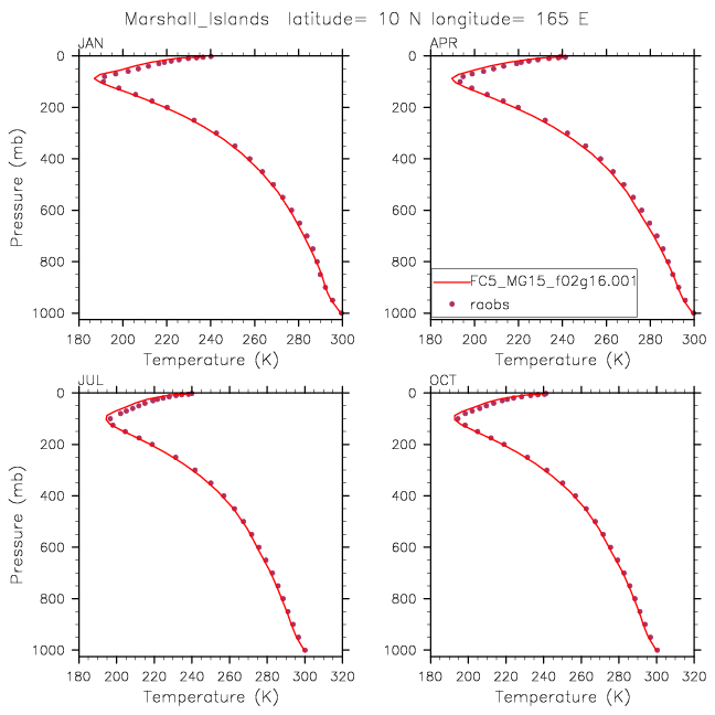
| Marshall Islands (Eq Pacific) | plot | plot | plot | 
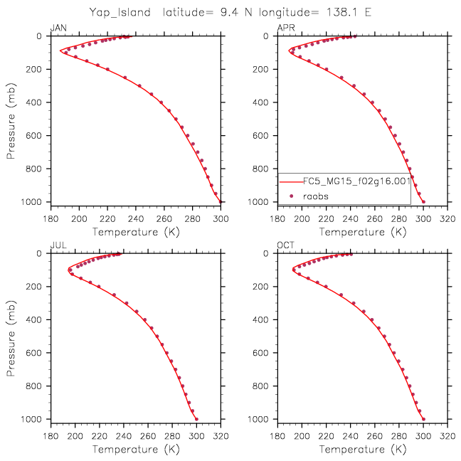
| Yap Island (Eq Pacific) | plot | plot | plot | 
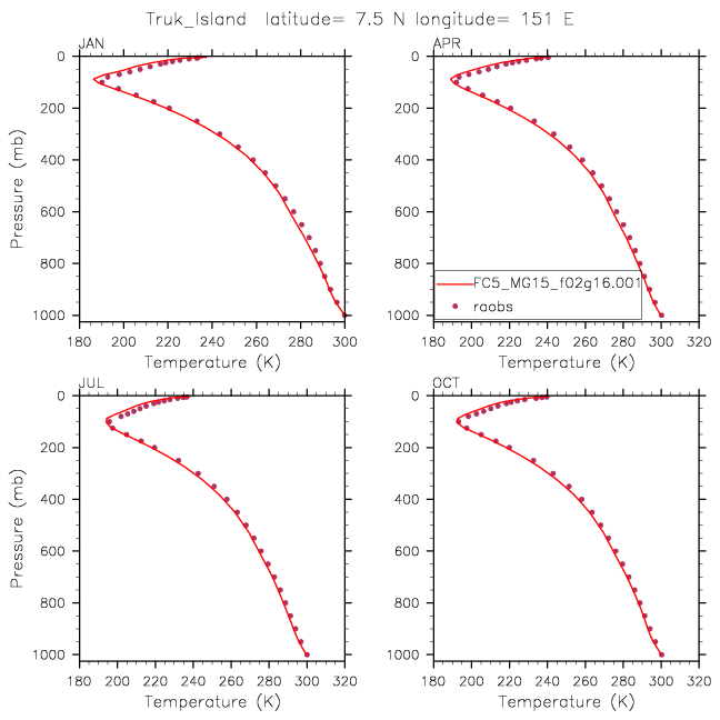
| Truk Island (Eq Pacific) | plot | plot | plot | 
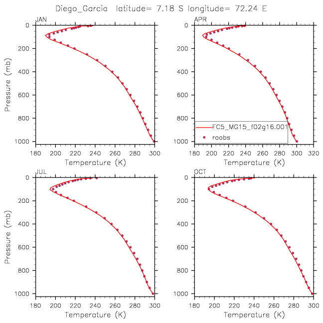
| Diego Garcia (Eq Indian) | plot | plot | plot | 
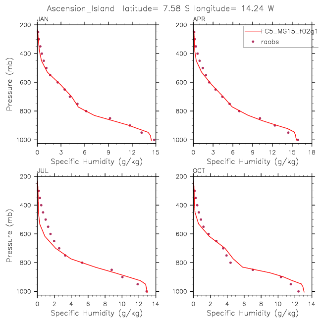
| Ascension Island (Eq Atlantic) | plot | plot | plot | 
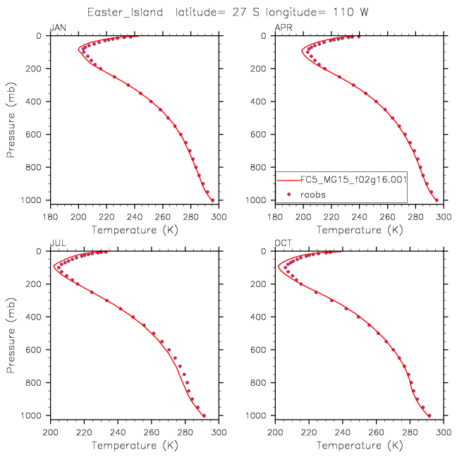
| Easter Island (S Pacific) | plot | plot | plot | 
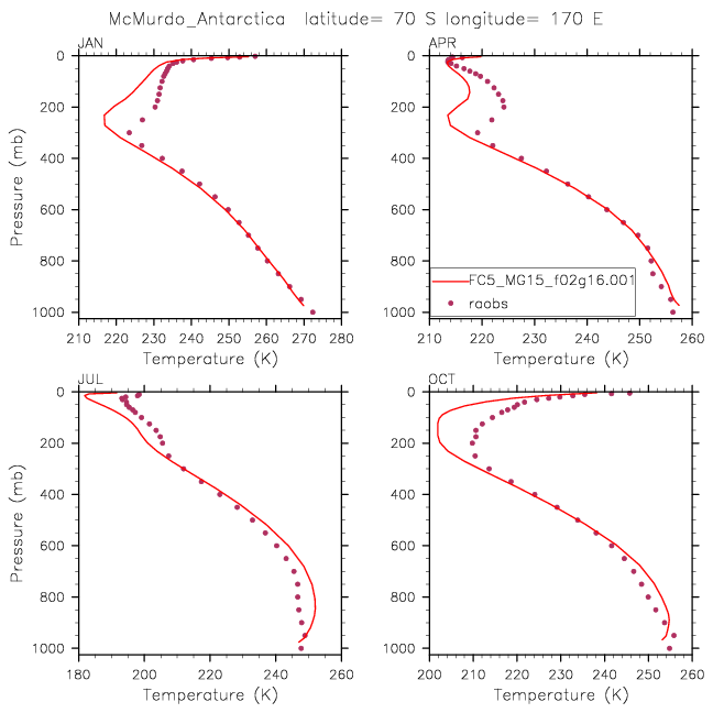
| McMurdo Antarctica | plot | plot | plot |