f.e13.F2000C5.f09_f09.cam5.3.50.remapping.001
and
f.e13.F2000C5.f09_f09.cam5.3.50.control.001
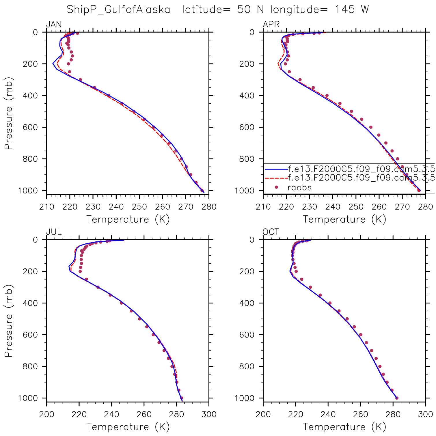
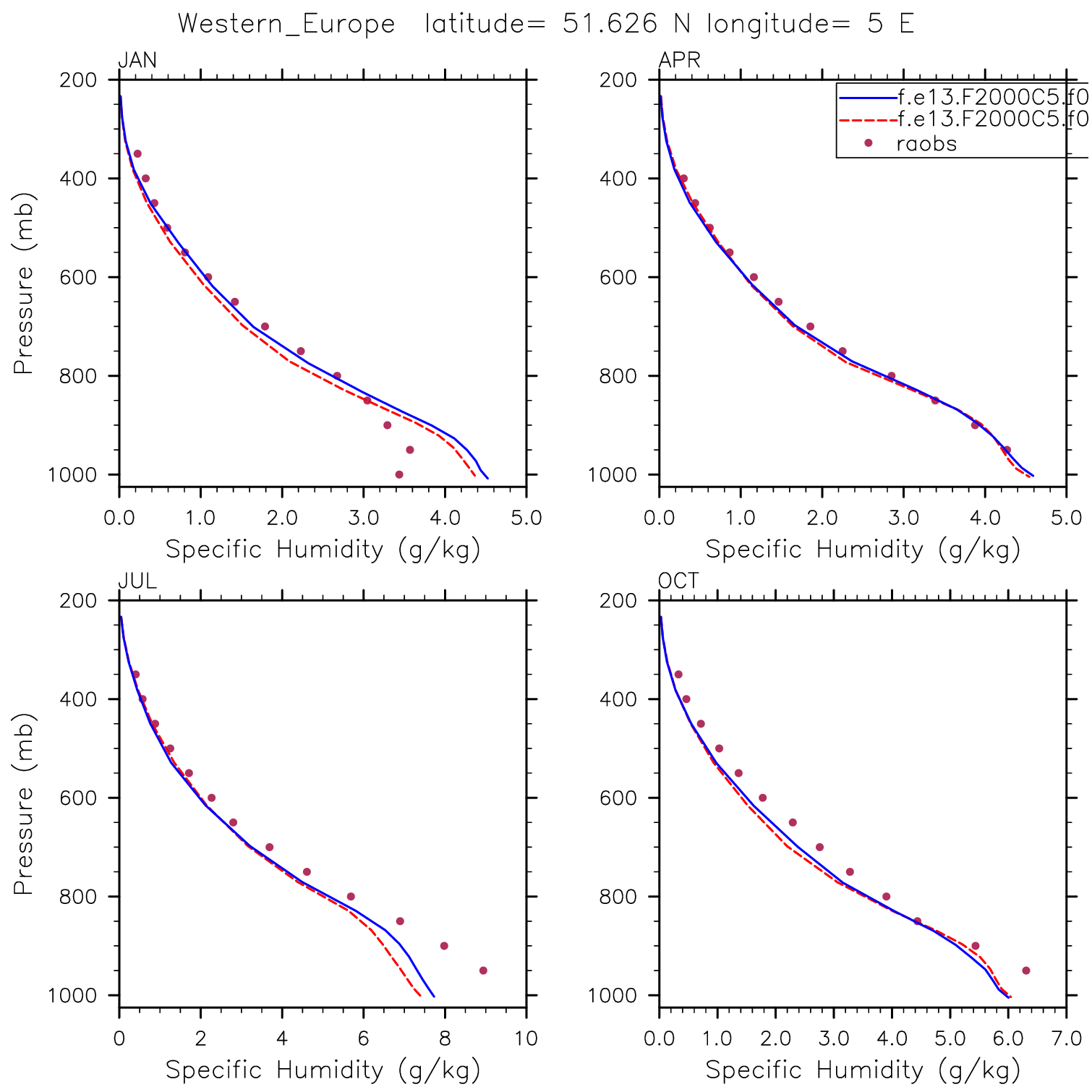
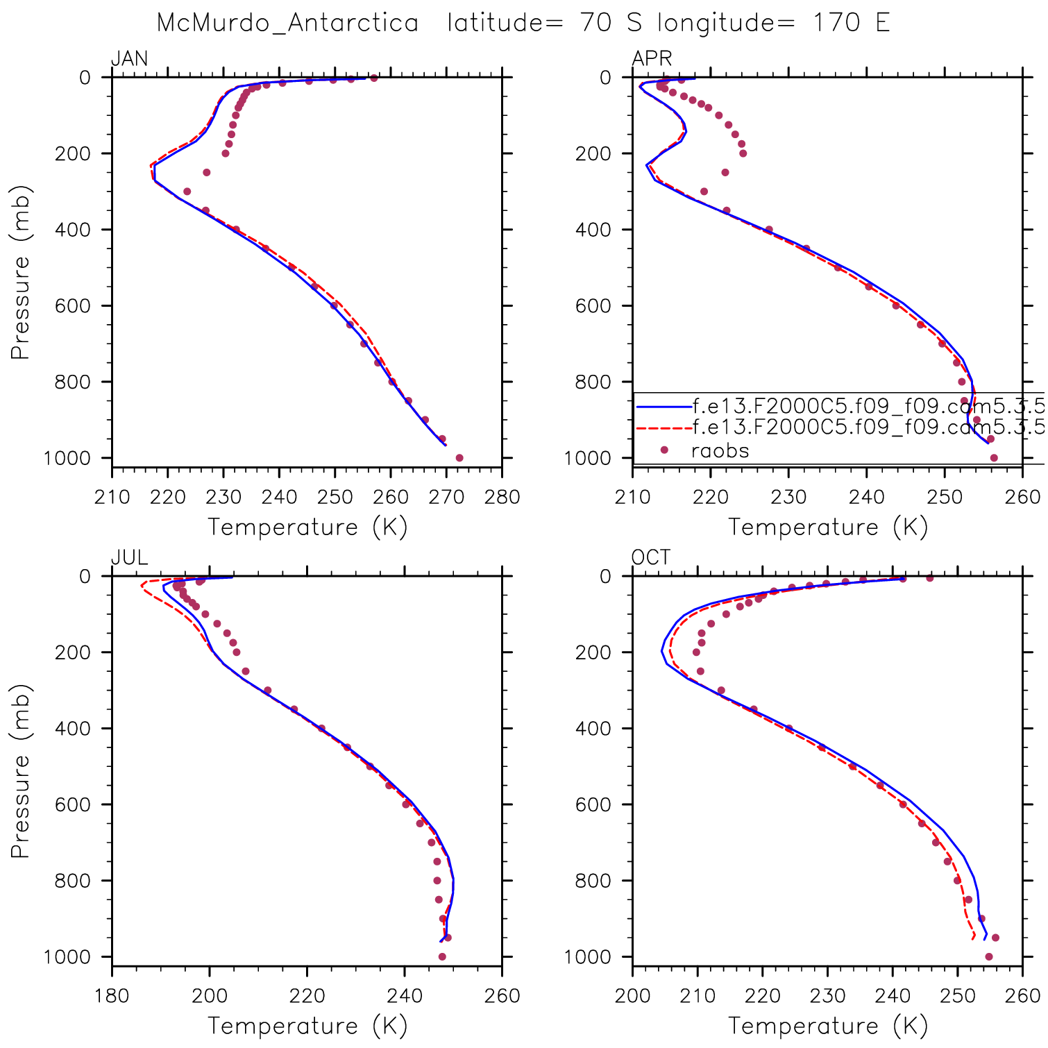
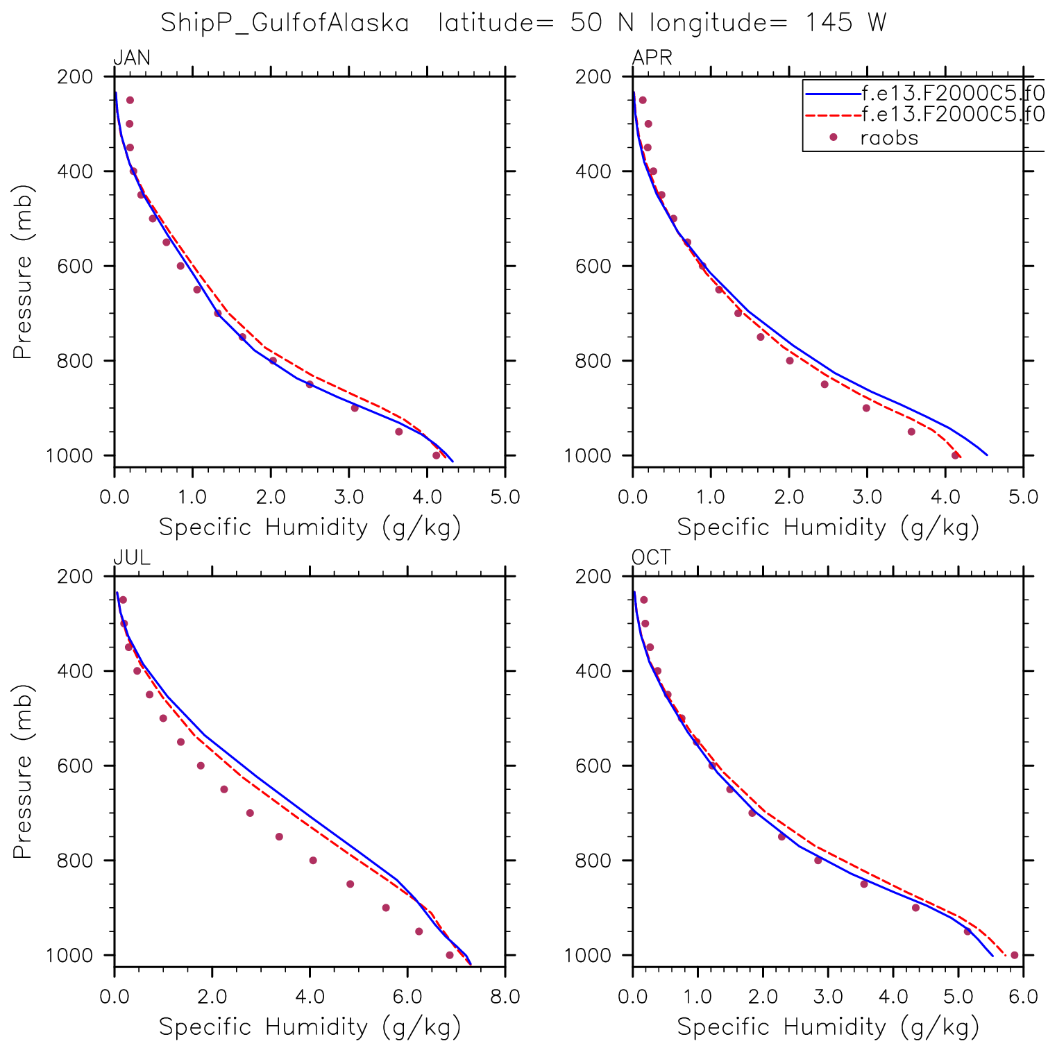
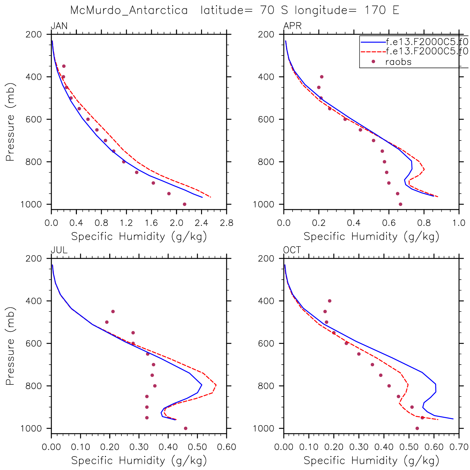
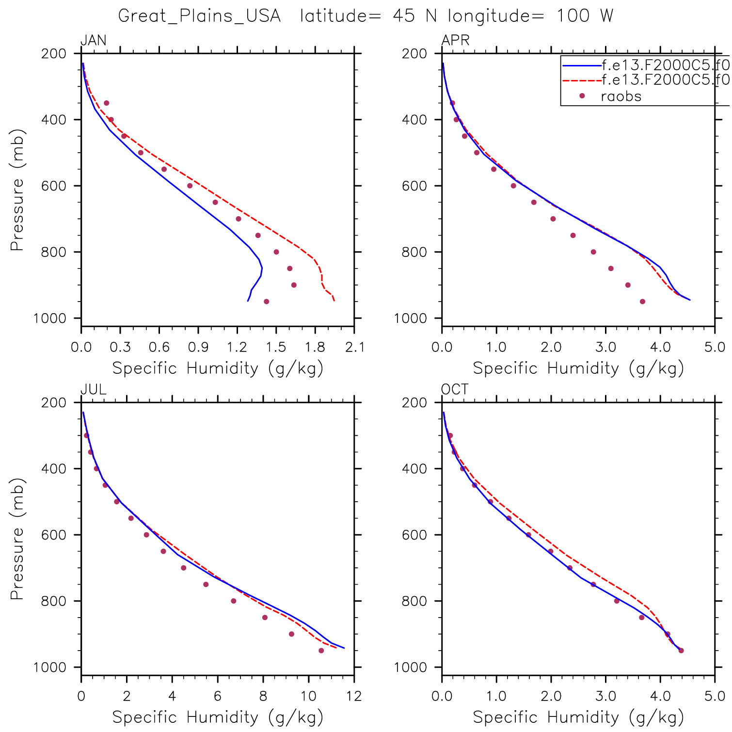
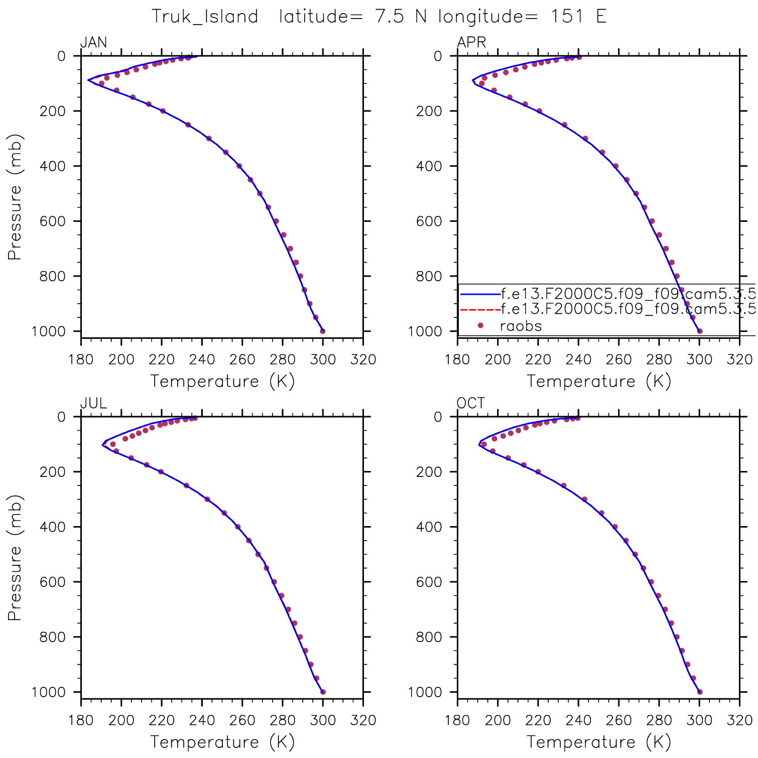
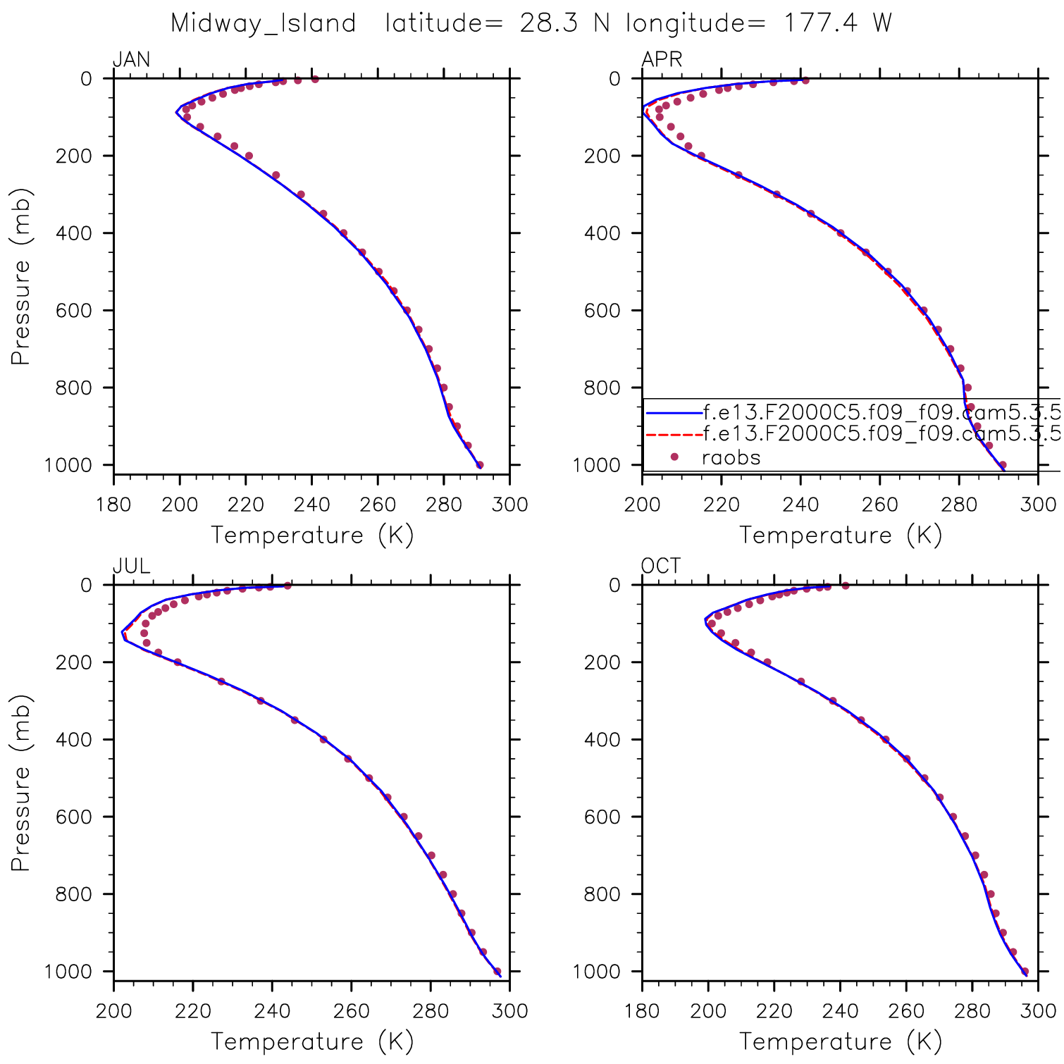
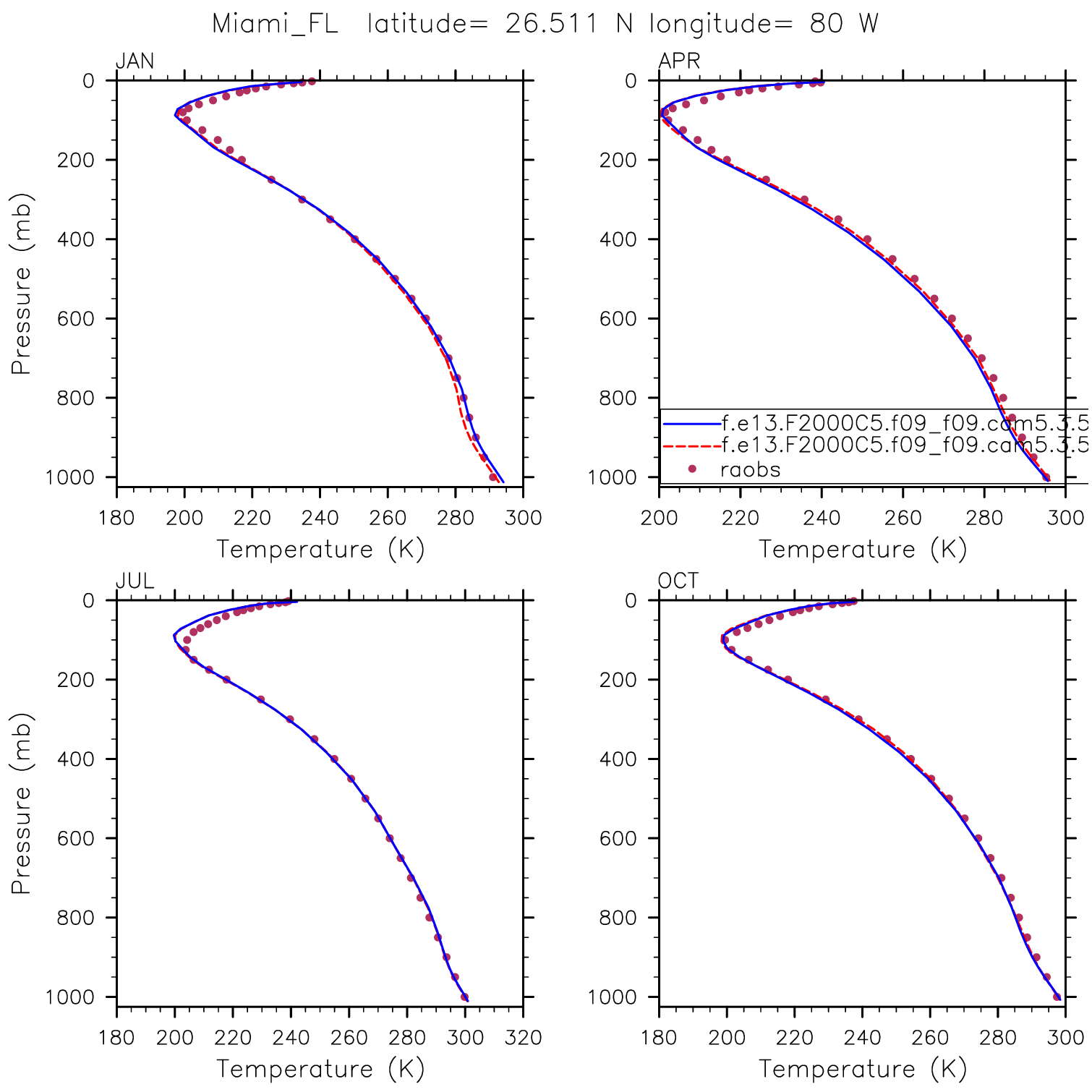
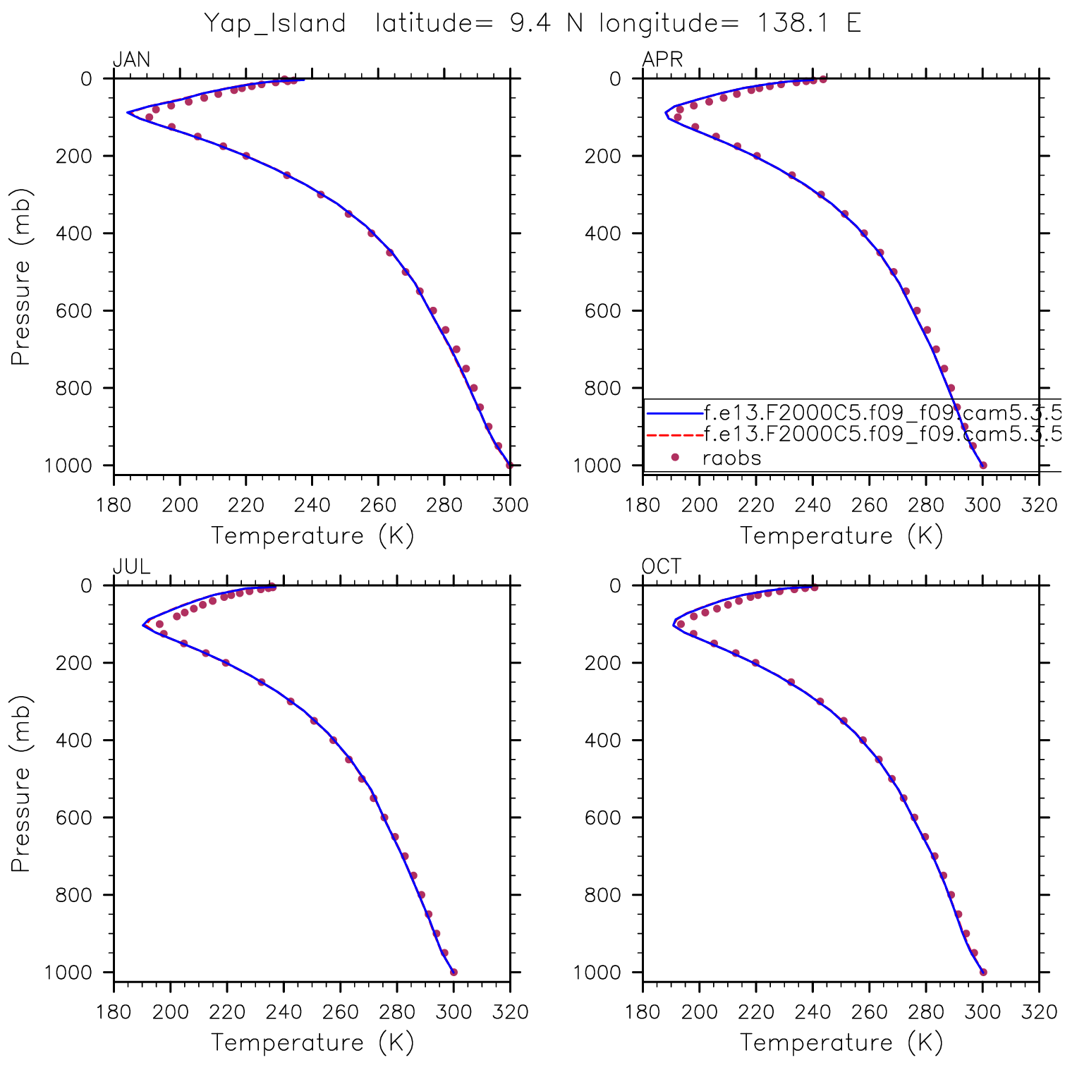
Set 12 - Vertical Profiles at 17 selected raobs stations
| Station Name | T | Q | H |
|---|---|---|---|
| Thule Greenland | plot | plot | plot |
| Resolute NWT Canada | plot | plot | plot |
| Ship P Gulf of Alaska | plot | plot | plot |
| Midway Island (N Pacific) | plot | plot | plot |
| Northern Great Plains USA | plot | plot | plot |
| San Francisco Calif USA | plot | plot | plot |
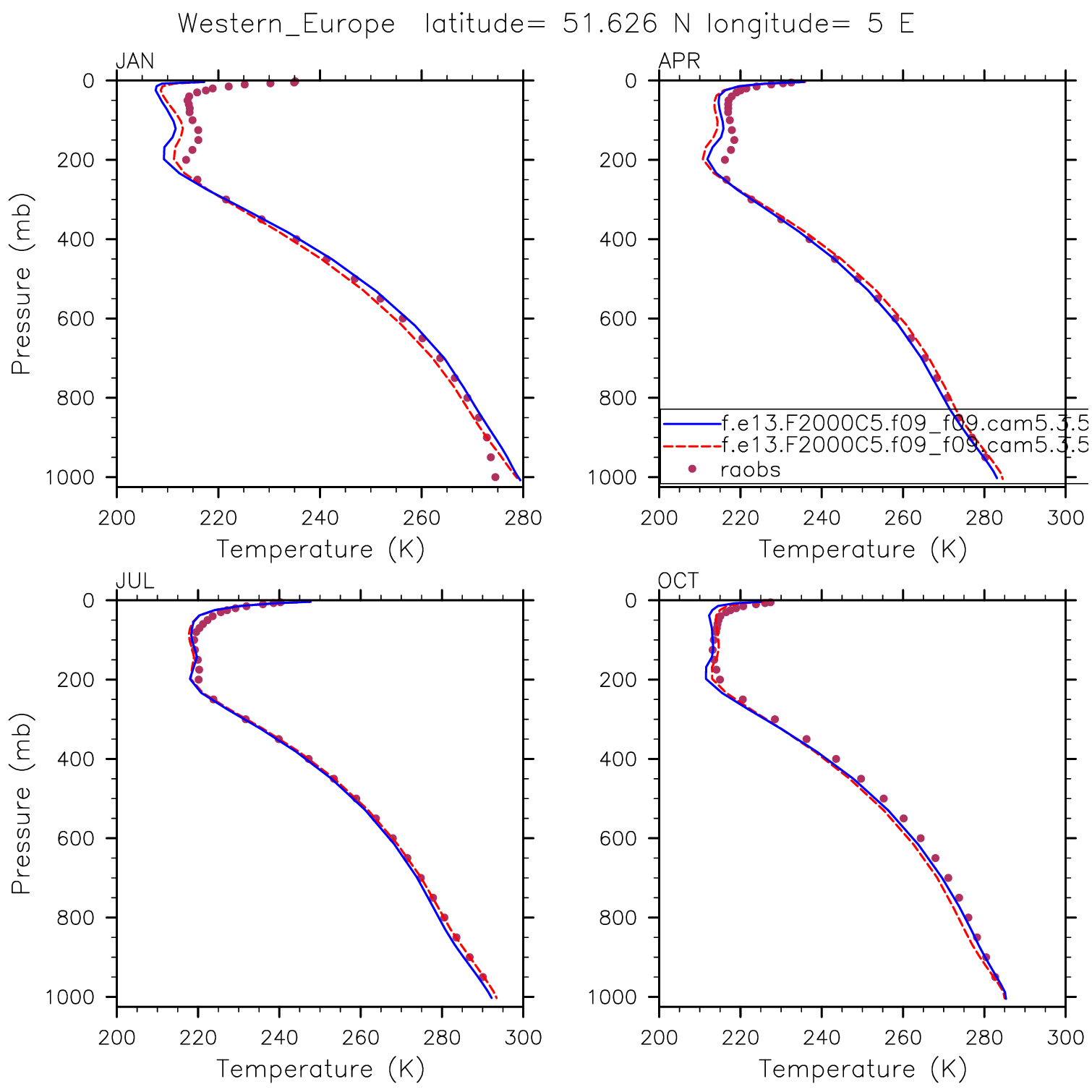
| Western Europe | plot | plot | plot |
| Miami Florida USA | plot | plot | plot |
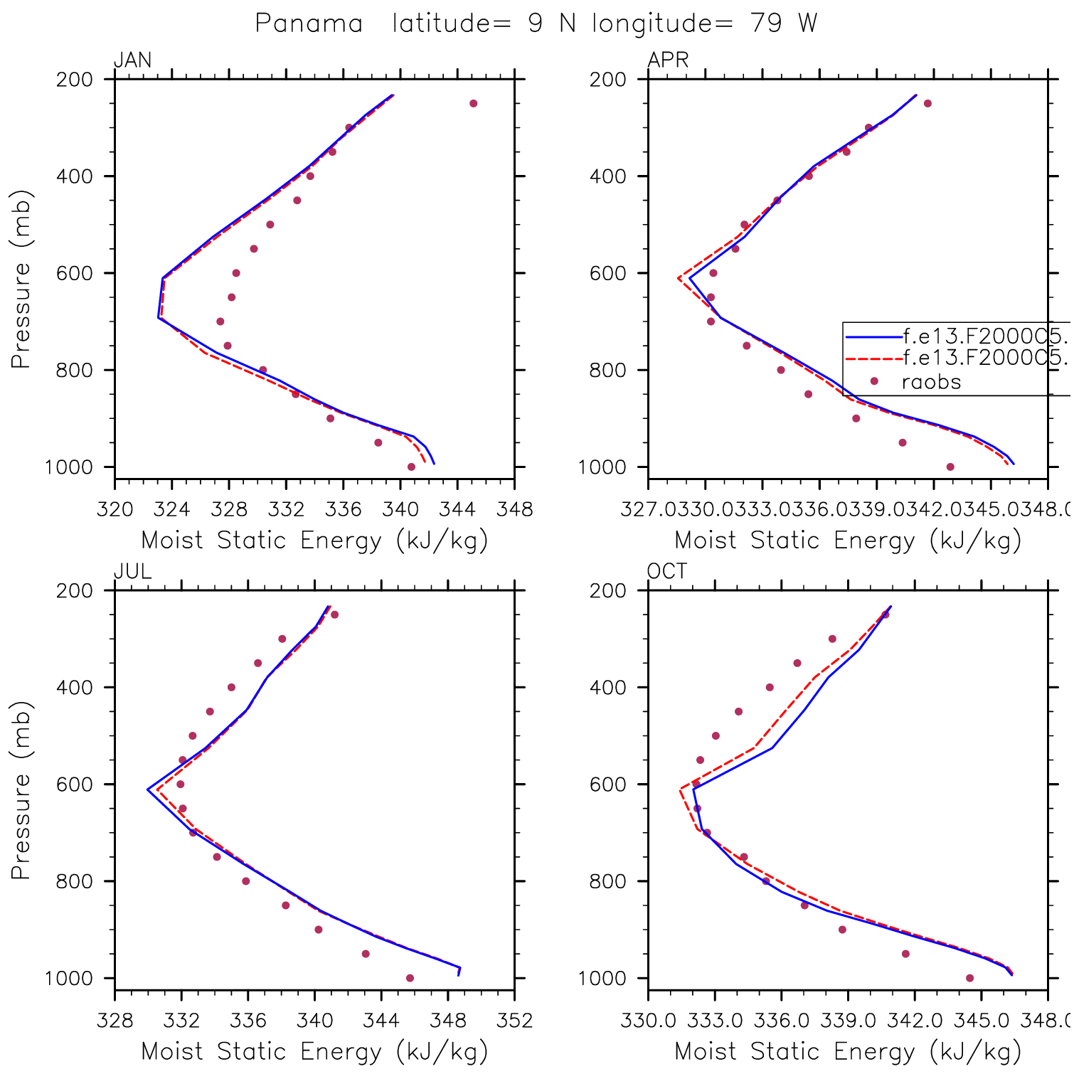
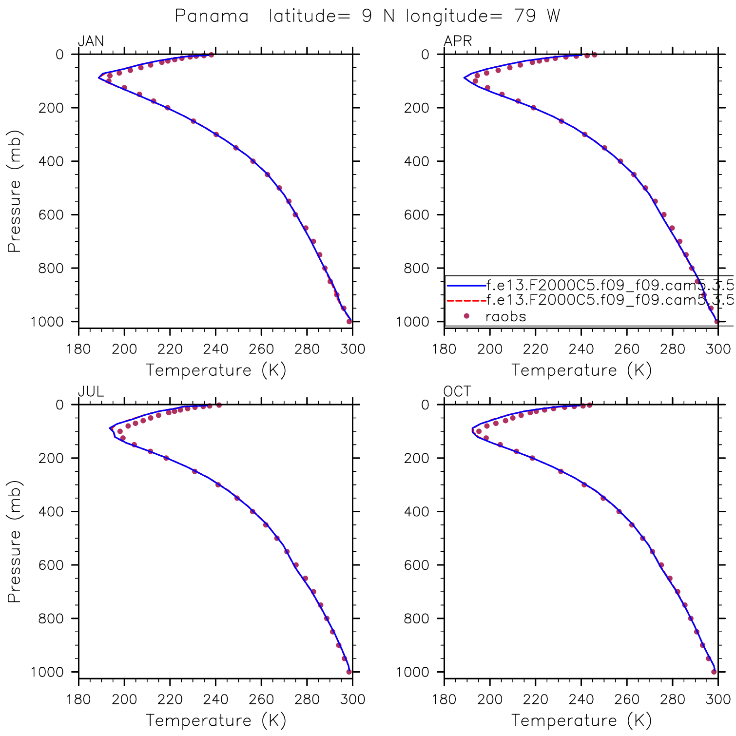
| Panama Central America | plot | plot | plot |
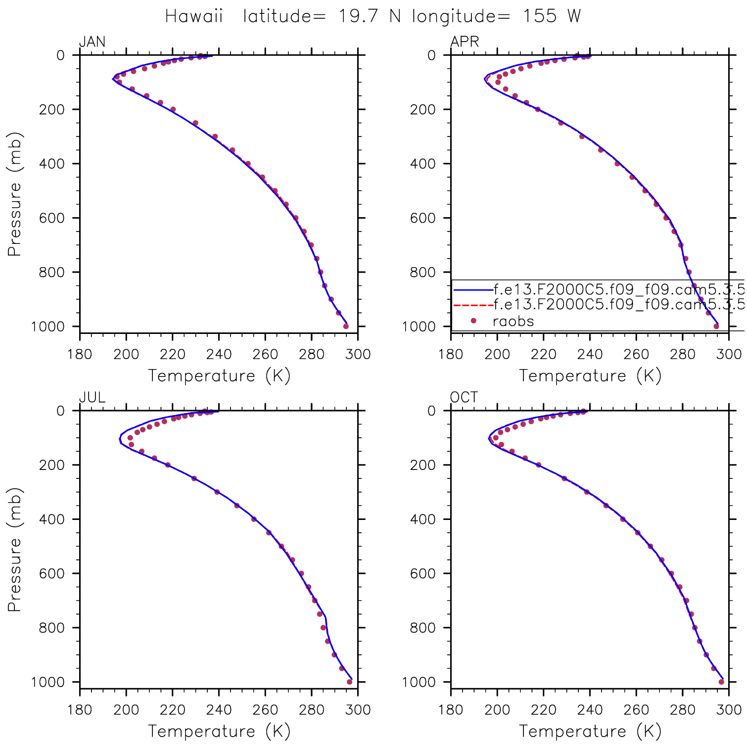
| Hawaii (Eq Pacific) | plot | plot | plot |
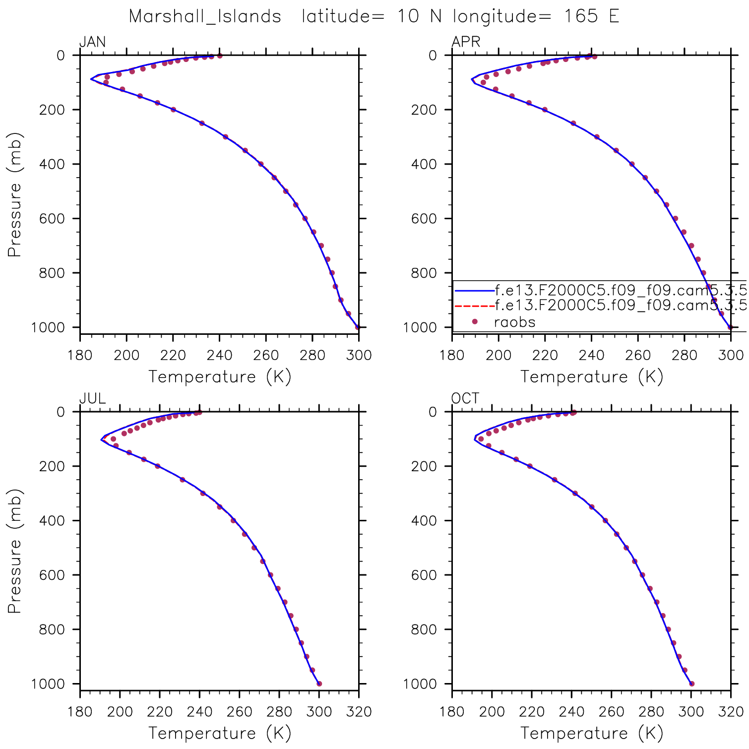
| Marshall Islands (Eq Pacific) | plot | plot | plot |
| Yap Island (Eq Pacific) | plot | plot | plot |
| Truk Island (Eq Pacific) | plot | plot | plot |
| Diego Garcia (Eq Indian) | plot | plot | plot |
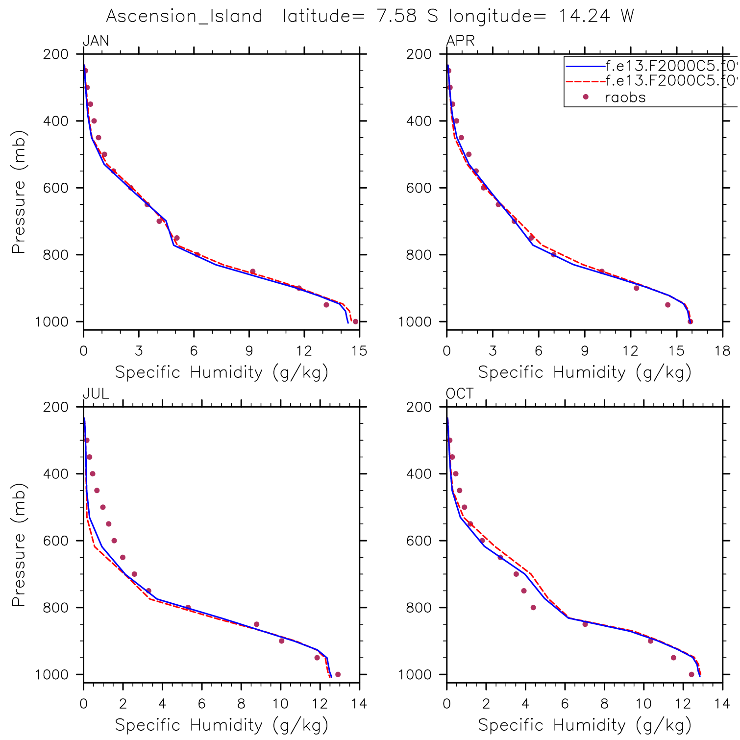
| Ascension Island (Eq Atlantic) | plot | plot | plot |
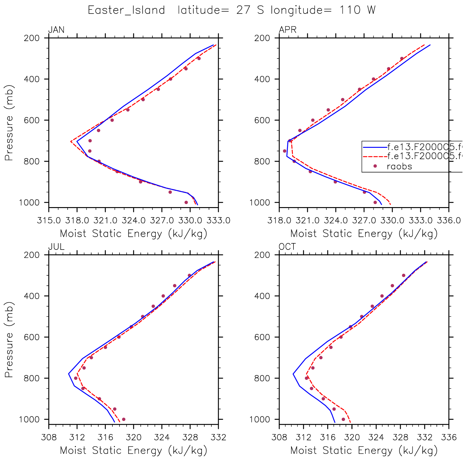
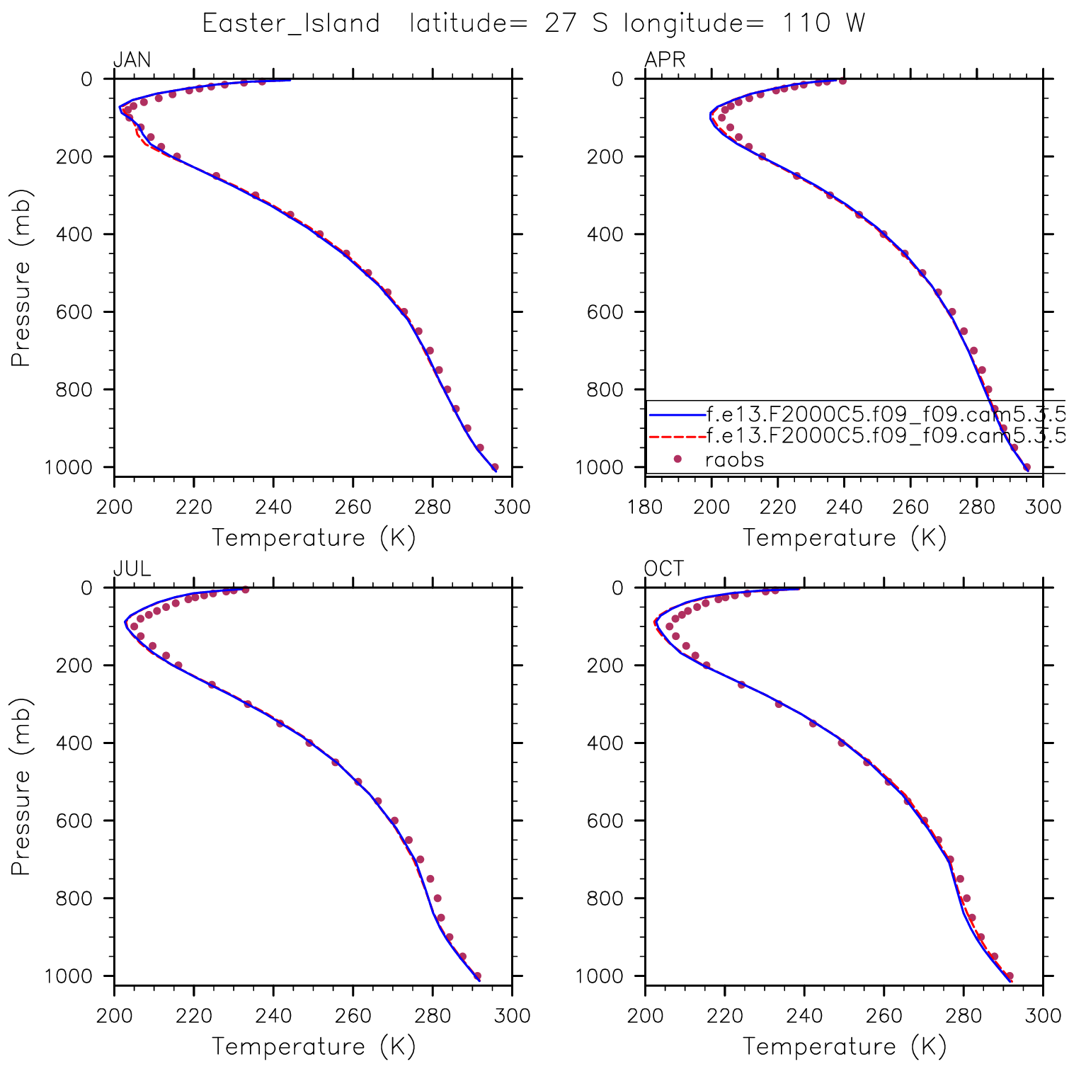
| Easter Island (S Pacific) | plot | plot | plot |
| McMurdo Antarctica | plot | plot | plot |