 
f2000.e122_mam4.STRATMAM3.f19.f19.002 
and
 f2000.e122_mam4.C4SSOA_L40.f19.f19.001
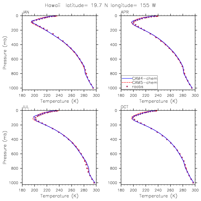
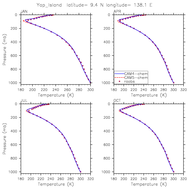
Set 12 - Vertical Profiles at 17 selected raobs stations
| Station Name | T | Q | H | 
|---|---|---|---|
| Thule Greenland | plot | plot | plot | 
| Resolute NWT Canada | plot | plot | plot | 
| Ship P Gulf of Alaska | plot | plot | plot | 
| Midway Island (N Pacific) | plot | plot | plot | 
| Northern Great Plains USA | plot | plot | plot | 
| San Francisco Calif USA | plot | plot | plot | 
| Western Europe | plot | plot | plot | 
| Miami Florida USA | plot | plot | plot | 
| Panama Central America | plot | plot | plot | 
| Hawaii (Eq Pacific) | plot | plot | plot | 
| Marshall Islands (Eq Pacific) | plot | plot | plot | 
| Yap Island (Eq Pacific) | plot | plot | plot | 
| Truk Island (Eq Pacific) | plot | plot | plot | 
| Diego Garcia (Eq Indian) | plot | plot | plot | 
| Ascension Island (Eq Atlantic) | plot | plot | plot | 
| Easter Island (S Pacific) | plot | plot | plot | 
| McMurdo Antarctica | plot | plot | plot |