mg4cam6_meltandconsv03
and
mg4cam6_control_3yrs_01
DIAG Set 4a - Vertical contour (XZ) plots of DJF, MAM, JJA, SON and ANN meridional means
| DJF | MAM | JJA | SON | ANN | ||
|---|---|---|---|---|---|---|
| CLOUD | Cloud fraction | plot | plot | plot | plot | plot |
| CWAT | Cloud ice+liquid | plot | plot | plot | plot | plot |
| EKE | Transient eddy KE | plot | plot | plot | plot | plot |
| GCLDLWP_ICE | Grid-box cloud LWP (ice only) | plot | plot | plot | plot | plot |
| GCLDLWP_LIQUID | Grid-box cloud LWP (lqd only) | plot | plot | plot | plot | plot |
| ICLDTWP | In-cloud liquid WP | plot | plot | plot | plot | plot |
| OBSTAR_TBSTAR | Stat eddy vert heat | plot | plot | plot | plot | plot |
| OMEGA * | Pressure vertical velocity | plot | plot | plot | plot | plot |
| OPTP_BAR | Transient eddy vert heat | plot | plot | plot | plot | plot |
| QRL | LW heating rate | plot | plot | plot | plot | plot |
| QRS | SW heating rate | plot | plot | plot | plot | plot |
| RELHUM * | Relative humidity | plot | plot | plot | plot | plot |
| SHUM * | Specific humidity | plot | plot | plot | plot | plot |
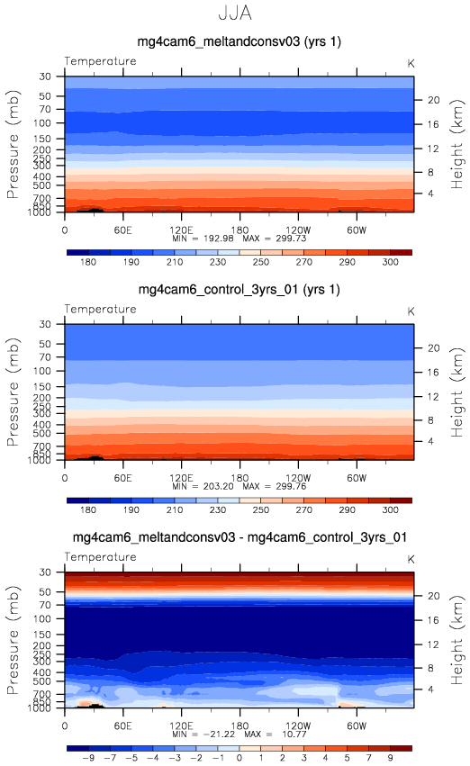
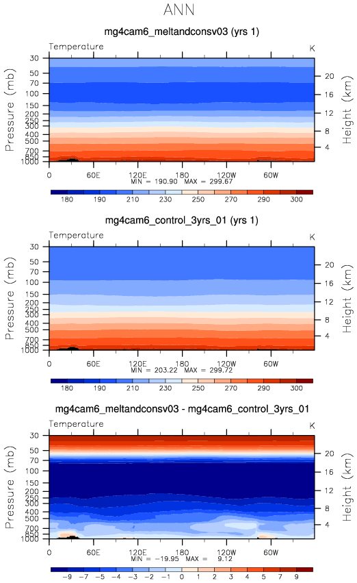
| T * | Temperature | plot | plot | plot | plot | plot |
| TDH | Total diabatic Heating | plot | plot | plot | plot | plot |
| TDM | Total diabatic moistening | plot | plot | plot | plot | plot |
| UBSTAR_QBSTAR | Stat eddy moisture | plot | plot | plot | plot | plot |
| UBSTAR_TBSTAR | Stationary eddy heat | plot | plot | plot | plot | plot |
| U * | Zonal wind | plot | plot | plot | plot | plot |
| VBSTAR_UBSTAR | Stationary eddy momentum | plot | plot | plot | plot | plot |
| VPUP_BAR | Transient eddy momentum | plot | plot | plot | plot | plot |