f2000.e122_mam4.STRATMAM3.f19.f19.002
and
png
Set 6 Chemistry - Tracer profile comparison with Aircraft campaigns
| Summary Plots | |||
|---|---|---|---|
| O3, HOx | 2-7km | 0-3km | |
| O3, NOx | 2-7km | 0-3km | |
| CO, Hydrocarbons | 2-7km | 0-3km | |
| VOC, Aerosol | 2-7km | 0-3km | |
| Species | 30S | - 90S | 30S | - 30N | 30N | - 60N | 50N | - 90N | |||||||||||||||
|---|---|---|---|---|---|---|---|---|---|---|---|---|---|---|---|---|---|---|---|---|---|---|---|
| Ozone | xx | MAM | xx | SON | DJF | MAM | JJA | SON | DJF | MAM | JJA | SON | DJF | MAM | JJA | SON | |||||||
| OH | xx | MAM | xx | SON | xx | MAM | JJA | SON | DJF | MAM | JJA | SON | DJF | MAM | JJA | xx | |||||||
| H2O2 | xx | MAM | xx | SON | DJF | MAM | JJA | SON | DJF | MAM | JJA | SON | DJF | MAM | JJA | xx | |||||||
| H2O | xx | MAM | xx | SON | DJF | MAM | JJA | SON | DJF | MAM | JJA | SON | DJF | MAM | JJA | SON | |||||||
| CH4 | xx | MAM | xx | SON | DJF | MAM | JJA | SON | DJF | MAM | JJA | SON | DJF | MAM | JJA | SON | |||||||
| N2O | xx | xx | xx | xx | DJF | MAM | JJA | SON | DJF | MAM | JJA | SON | DJF | MAM | JJA | SON | |||||||
| CO | xx | MAM | xx | SON | DJF | MAM | JJA | SON | DJF | MAM | JJA | SON | DJF | MAM | JJA | xx | |||||||
| C2H2 | xx | MAM | xx | SON | DJF | MAM | JJA | SON | DJF | MAM | JJA | SON | DJF | MAM | JJA | SON | |||||||
| C2H4 | xx | MAM | xx | SON | DJF | MAM | JJA | SON | DJF | MAM | JJA | SON | DJF | MAM | JJA | xx | |||||||
| C2H6 | xx | MAM | xx | SON | DJF | MAM | JJA | SON | DJF | MAM | JJA | SON | DJF | MAM | JJA | xx | |||||||
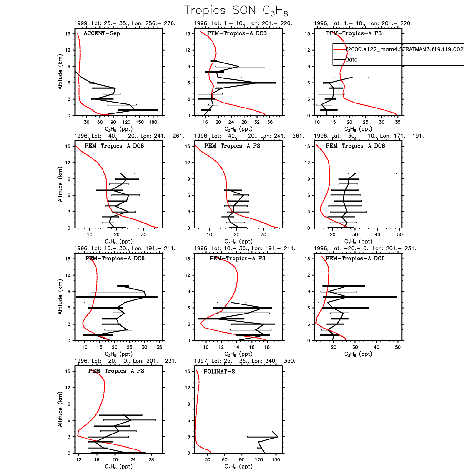
| C3H8 | xx | MAM | xx | SON | DJF | MAM | JJA | SON | DJF | MAM | JJA | SON | DJF | MAM | JJA | xx | |||||||
| C2H5OH | xx | xx | xx | xx | xx | MAM | xx | xx | xx | xx | JJA | xx | xx | MAM | JJA | xx | |||||||
| HCFC22 | xx | xx | xx | xx | DJF | MAM | JJA | SON | DJF | MAM | JJA | SON | DJF | MAM | JJA | SON | |||||||
| CCL4 | xx | MAM | xx | SON | DJF | MAM | JJA | SON | DJF | MAM | JJA | SON | DJF | MAM | JJA | xx | |||||||
| CFC11 | xx | MAM | xx | SON | DJF | MAM | JJA | SON | DJF | MAM | JJA | SON | DJF | MAM | JJA | SON | |||||||
| CFC12 | xx | MAM | xx | SON | DJF | MAM | JJA | SON | DJF | MAM | JJA | SON | DJF | MAM | JJA | SON | |||||||
| CFC113 | xx | xx | xx | xx | DJF | MAM | JJA | SON | DJF | MAM | JJA | SON | DJF | MAM | JJA | SON | |||||||
| CH2BRCL (xx) | DJF | MAM | JJA | SON | DJF | MAM | JJA | SON | DJF | MAM | JJA | SON | DJF | MAM | JJA | SON | |||||||
| CH3CL | xx | MAM | xx | SON | DJF | MAM | JJA | SON | DJF | MAM | JJA | SON | DJF | MAM | JJA | SON | |||||||
| CH3BR | xx | MAM | xx | SON | DJF | MAM | JJA | SON | DJF | MAM | JJA | SON | DJF | MAM | JJA | SON | |||||||
| CH3I | xx | MAM | xx | SON | xx | MAM | JJA | SON | xx | MAM | JJA | SON | xx | MAM | JJA | xx | |||||||
| CH3CCL3 | xx | MAM | xx | SON | xx | MAM | xx | SON | xx | MAM | JJA | xx | xx | MAM | JJA | xx | |||||||
| CH3CHO | xx | MAM | xx | xx | xx | MAM | xx | xx | xx | MAM | JJA | xx | xx | MAM | JJA | xx | |||||||
| CH3OH | xx | xx | xx | xx | xx | MAM | xx | xx | xx | MAM | JJA | xx | xx | MAM | JJA | xx | |||||||
| CH3CN | xx | xx | xx | xx | xx | xx | JJA | xx | xx | MAM | JJA | xx | xx | MAM | JJA | xx | |||||||
| HCN | xx | xx | xx | xx | xx | MAM | JJA | xx | xx | MAM | JJA | xx | xx | MAM | JJA | SON | |||||||
| NOX | xx | MAM | xx | SON | DJF | MAM | xx | SON | DJF | MAM | JJA | SON | DJF | MAM | xx | xx | |||||||
| NOY | xx | xx | xx | xx | DJF | xx | JJA | SON | DJF | MAM | JJA | SON | DJF | MAM | JJA | xx | |||||||
| PAN | xx | MAM | xx | SON | DJF | MAM | JJA | SON | DJF | MAM | JJA | SON | DJF | MAM | JJA | xx | |||||||
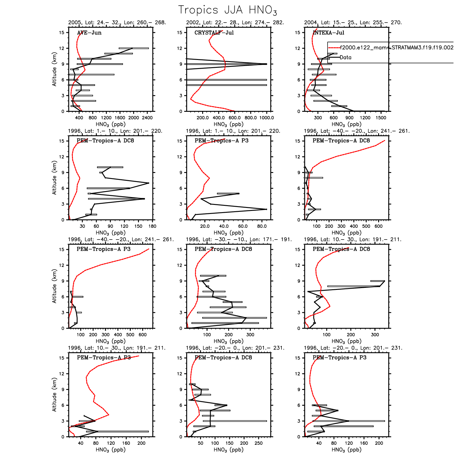
| HNO3 | xx | MAM | xx | SON | DJF | MAM | JJA | SON | DJF | MAM | JJA | SON | DJF | MAM | JJA | xx | |||||||
| Aceton | xx | xx | xx | SON | DJF | MAM | xx | xx | DJF | MAM | JJA | xx | xx | xx | xx | xx | |||||||
| Isoprene | xx | MAM | xx | SON | xx | MAM | JJA | SON | xx | MAM | JJA | xx | xx | xx | JJA | xx | |||||||
| Toluene | xx | xx | xx | xx | xx | MAM | JJA | xx | xx | MAM | JJA | xx | xx | MAM | JJA | xx | |||||||
| SO2 | xx | MAM | xx | JJA | xx | MAM | JJA | SON | DJF | MAM | JJA | SON | DJF | MAM | JJA | xx | |||||||
| SO4 | xx | xx | xx | xx | xx | MAM | JJA | xx | xx | MAM | JJA | xx | xx | MAM | JJA | xx | |||||||
| xx | xx | xx | xx | xx | xx | xx | xx | xx | xx | xx | xx | xx | xx | xx | xx | ||||||||