AMWG Variability Diagnostics for Daily Data


Intraseasonal Variability

Daily 200 hPa velocity potential anomalies computed and then averaged
over 5S-5N, 20-70 day bandpass filter then applied. Hovmöller plots.
Bandpass filter response plot

f.e15.FAMIP.f09_f09.cesm2_zm.01t. Anomalies are relative to the 0001-0010 mean.
1-2
3-4
5-6
7-8

Anomalies computed relative to the time period mean.
NCEP Reanalysis CAM3 Amip (T85)
1981-1982 1981-1982
1983-1984 1983-1984
1985-1986 1985-1986
1987-1988 1987-1988
1989-1990 1989-1990
1991-1992 1991-1992
1993-1994 1993-1994
1995-1996
1997-1998
1999-2000

Madden-Julian Oscillation

Time series of daily 200 hPa zonal wind averaged over 10N-10S.
200 hPa zonal wind bandpass filtered for 20-100 day period.
MJO Index defined as the running variance of the bandpass filtered data.
f.e15.FAMIP.f09_f09.cesm2_zm.01t
NCEP Reanalysis
CAM3 Amip (T85)

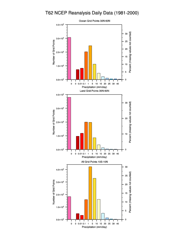
Histograms

Histograms of daily precipitation rate for the Tropics and NH Extratropics.
f.e15.FAMIP.f09_f09.cesm2_zm.01t
NCEP Reanalysis
CAM3 Amip (T85)

EOF analysis

EOF analysis 30S to 30N (lat-lon map, time series)
PRECT summer f.e15.FAMIP.f09_f09.cesm2_zm.01t PRECT summer f.e15.FAMIP.f09_f09.cesm2_zm.01t
PRECT summer TRMM PRECT summer TRMM
PRECT winter f.e15.FAMIP.f09_f09.cesm2_zm.01t PRECT winter f.e15.FAMIP.f09_f09.cesm2_zm.01t
PRECT winter TRMM PRECT winter TRMM
FLUT summer f.e15.FAMIP.f09_f09.cesm2_zm.01t FLUT summer f.e15.FAMIP.f09_f09.cesm2_zm.01t
FLUT summer ERA FLUT summer ERA
FLUT winter f.e15.FAMIP.f09_f09.cesm2_zm.01t FLUT winter f.e15.FAMIP.f09_f09.cesm2_zm.01t
FLUT winter ERA FLUT winter ERA
U850 summer f.e15.FAMIP.f09_f09.cesm2_zm.01t U850 summer f.e15.FAMIP.f09_f09.cesm2_zm.01t
U850 summer ERA U850 summer ERA
U850 winter f.e15.FAMIP.f09_f09.cesm2_zm.01t U850 winter f.e15.FAMIP.f09_f09.cesm2_zm.01t
U850 winter ERA U850 winter ERA
U200 summer f.e15.FAMIP.f09_f09.cesm2_zm.01t U200 summer f.e15.FAMIP.f09_f09.cesm2_zm.01t
U200 summer ERA U200 summer ERA
U200 winter f.e15.FAMIP.f09_f09.cesm2_zm.01t U200 winter f.e15.FAMIP.f09_f09.cesm2_zm.01t
U200 winter ERA U200 winter ERA
V200 summer f.e15.FAMIP.f09_f09.cesm2_zm.01t V200 summer f.e15.FAMIP.f09_f09.cesm2_zm.01t
V200 summer ERA V200 summer ERA
V200 winter f.e15.FAMIP.f09_f09.cesm2_zm.01t V200 winter f.e15.FAMIP.f09_f09.cesm2_zm.01t
V200 winter ERA V200 winter ERA

lag-cross-correlations

The climatological cross correlation plots (f.e15.FAMIP.f09_f09.cesm2_zm.01t vs obs)
lag lat lon summer f.e15.FAMIP.f09_f09.cesm2_zm.01t lag lat lon summer ERA
lag lat lon winter f.e15.FAMIP.f09_f09.cesm2_zm.01t lag lat lon winter ERA
lag lat lon annual f.e15.FAMIP.f09_f09.cesm2_zm.01t lag lat lon annual ERA

wavenumber - frequency spectra

The wavenumber - frequency spectra plots (f.e15.FAMIP.f09_f09.cesm2_zm.01t vs obs)
PRECT summer f.e15.FAMIP.f09_f09.cesm2_zm.01t PRECT summer TRMM
PRECT winter f.e15.FAMIP.f09_f09.cesm2_zm.01t PRECT winter TRMM
FLUT summer f.e15.FAMIP.f09_f09.cesm2_zm.01t FLUT summer ERA
FLUT winter f.e15.FAMIP.f09_f09.cesm2_zm.01t FLUT winter ERA
U850 summer f.e15.FAMIP.f09_f09.cesm2_zm.01t U850 summer ERA
U850 winter f.e15.FAMIP.f09_f09.cesm2_zm.01t U850 winter ERA
V850 summer f.e15.FAMIP.f09_f09.cesm2_zm.01t V850 summer ERA
V850 winter f.e15.FAMIP.f09_f09.cesm2_zm.01t V850 winter ERA
U200 summer f.e15.FAMIP.f09_f09.cesm2_zm.01t U200 summer ERA
U200 winter f.e15.FAMIP.f09_f09.cesm2_zm.01t U200 winter ERA
V200 summer f.e15.FAMIP.f09_f09.cesm2_zm.01t V200 summer ERA
V200 winter f.e15.FAMIP.f09_f09.cesm2_zm.01t V200 winter ERA

composite life cycles

The composite life cycles (f.e15.FAMIP.f09_f09.cesm2_zm.01t vs obs)
summer f.e15.FAMIP.f09_f09.cesm2_zm.01t summer ERA
winter f.e15.FAMIP.f09_f09.cesm2_zm.01t winter ERA