_new_ed_diag_ANN

Back to Main Page

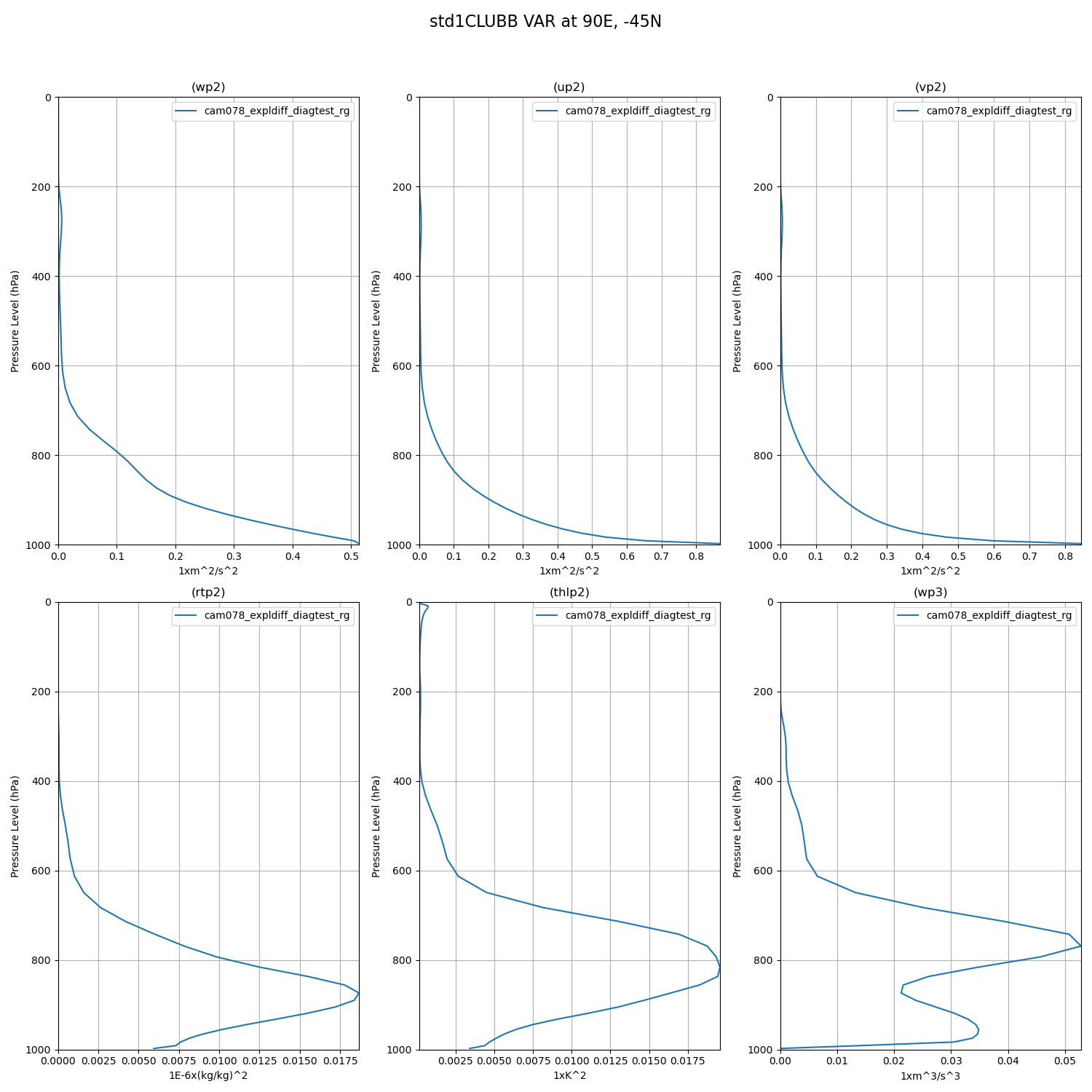
Profiles on 90E_-45N