_new_ed_diag_ANN
Back to Main Page
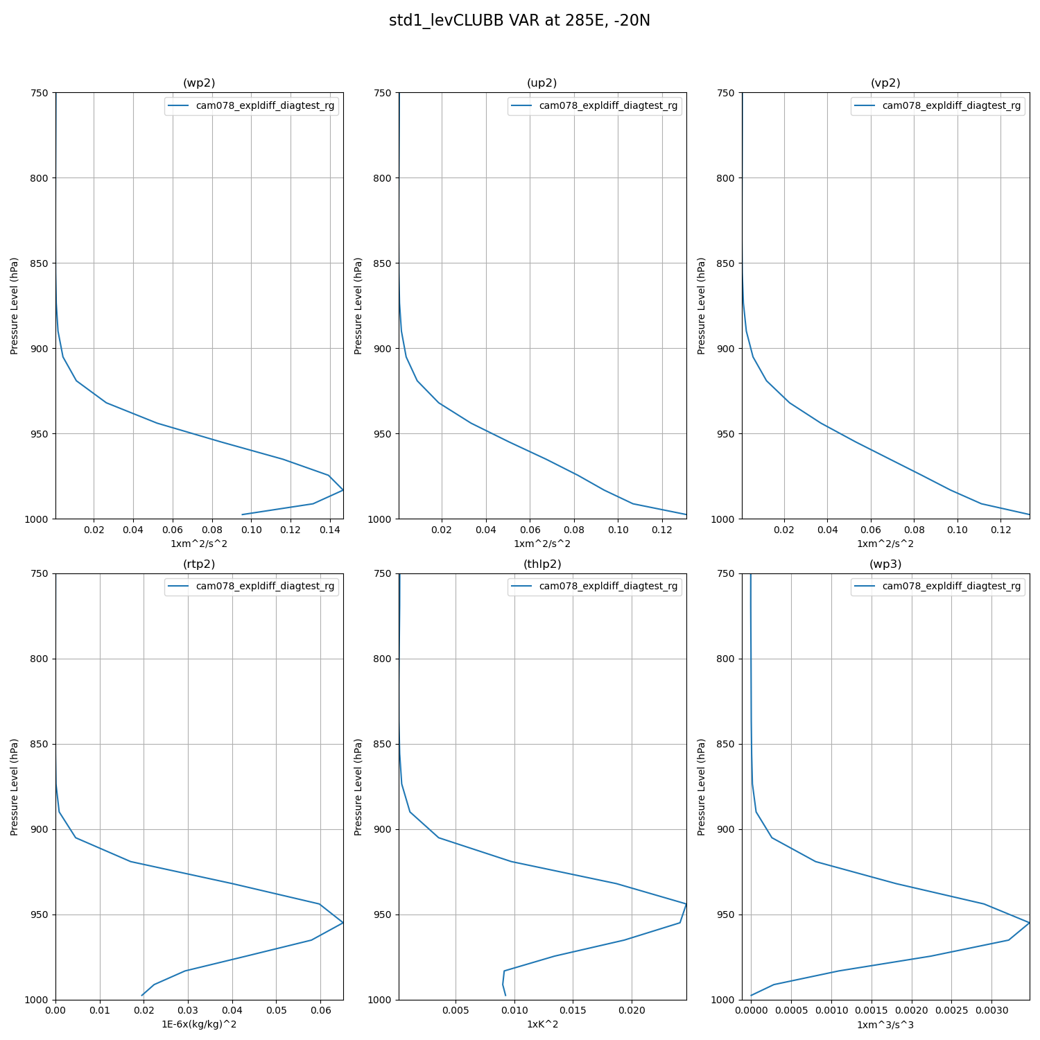
Profiles on 285E_-20N