_splatting_5yr_ANN

Back to Main Page

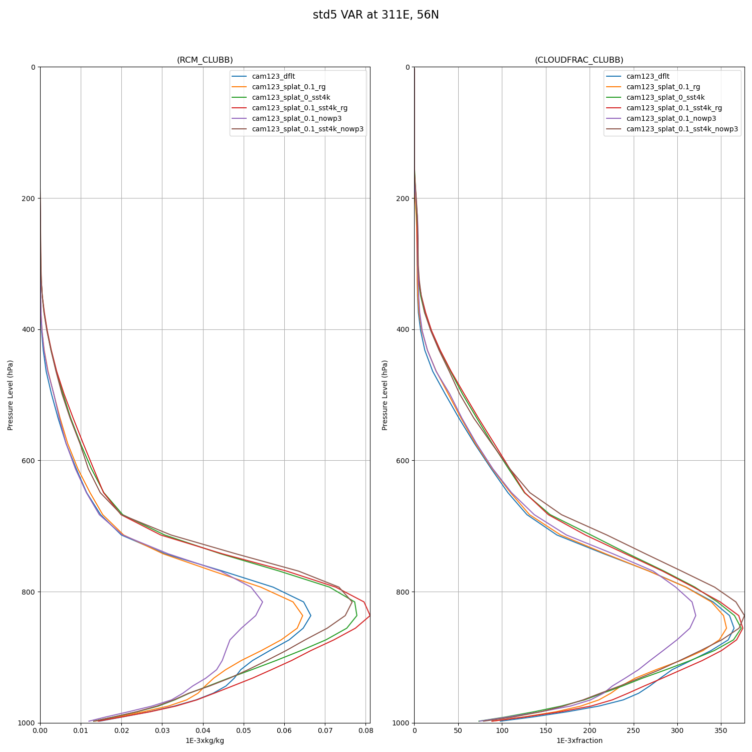
Profiles on 311E_56N