_splatting_ANN

Back to Main Page

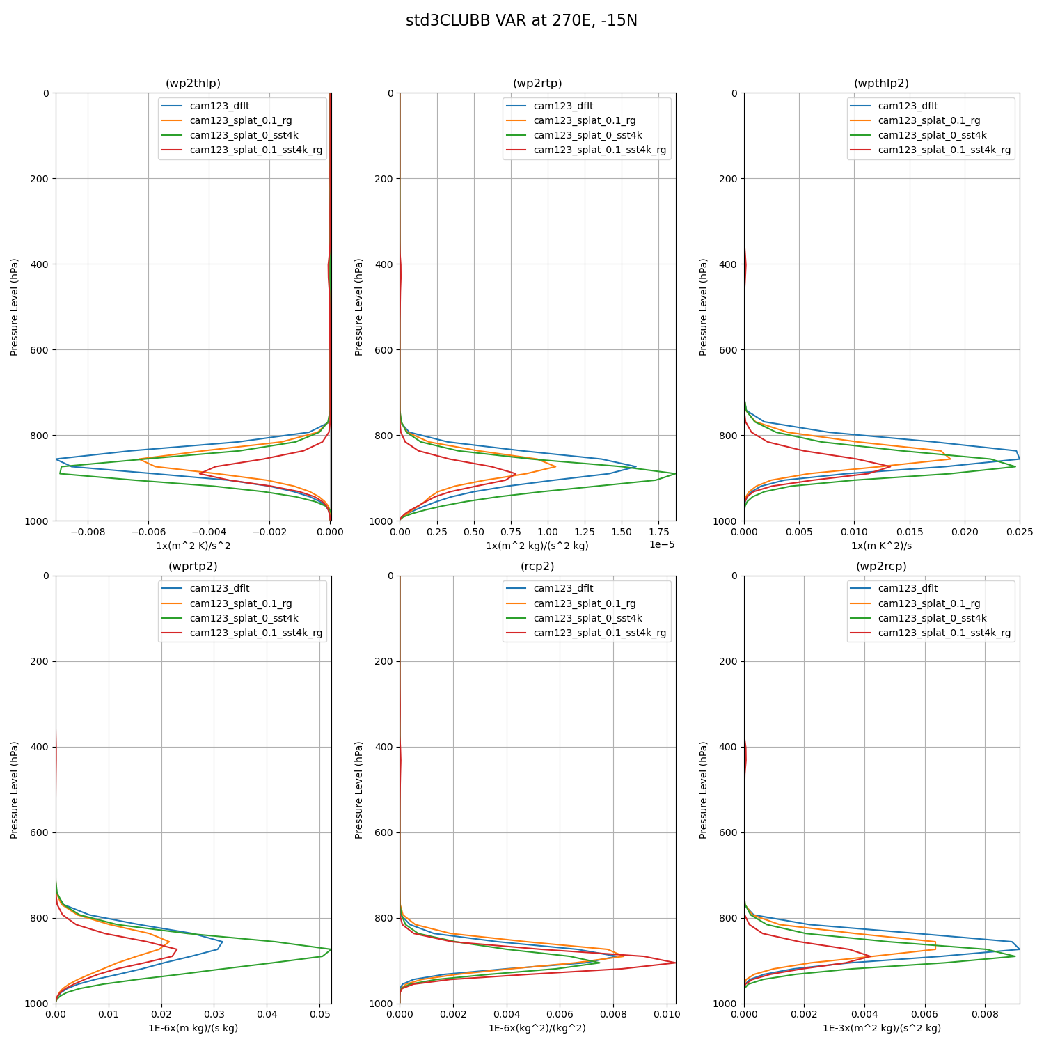
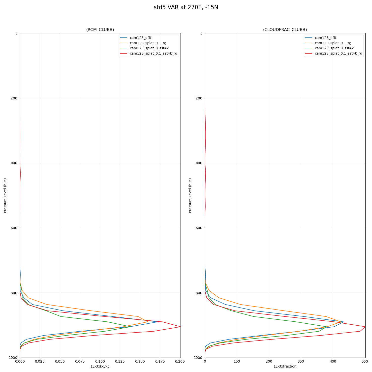
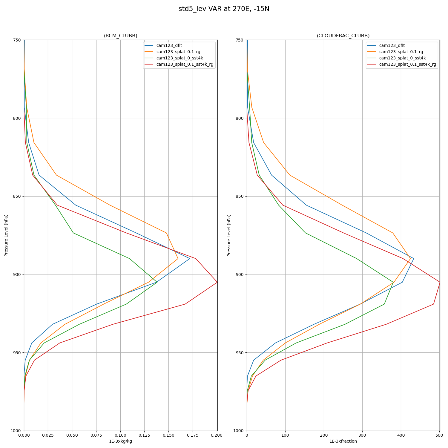
Profiles on 270E_-15N