_splatting_ANN

Back to Main Page

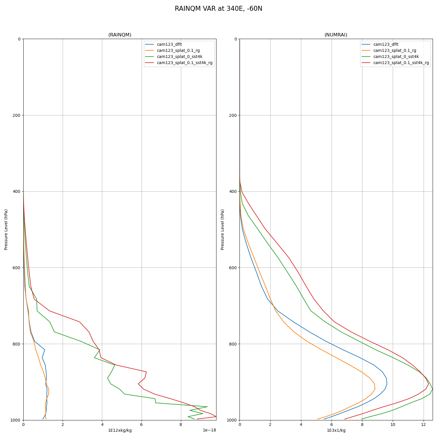
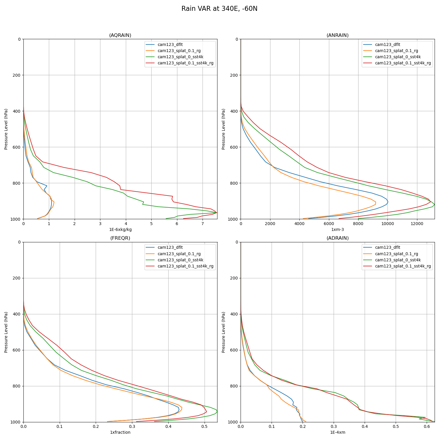
Profiles on 340E_-60N