_splatting_ANN

Back to Main Page

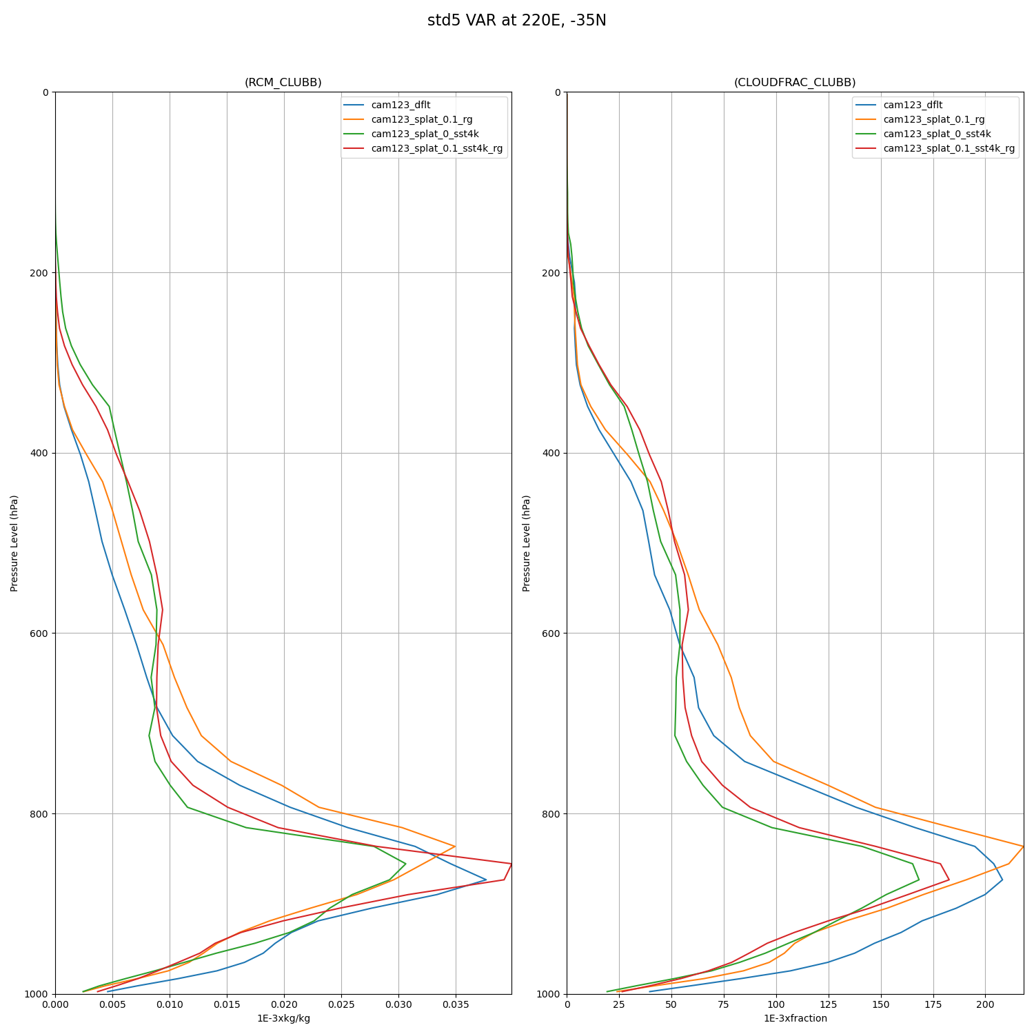
Profiles on 220E_-35N