_splatting_ANN

Back to Main Page

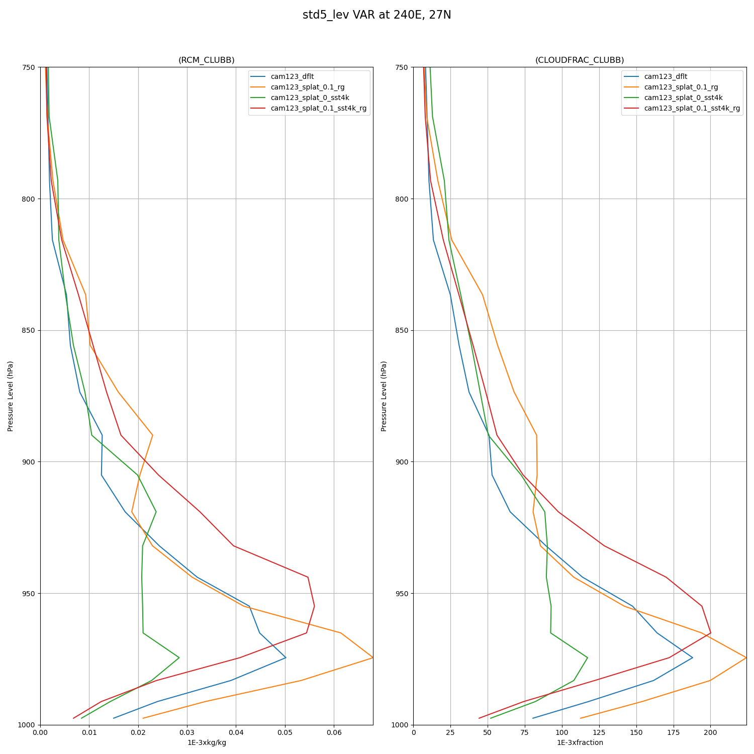
Profiles on 240E_27N