_splatting_ANN

Back to Main Page

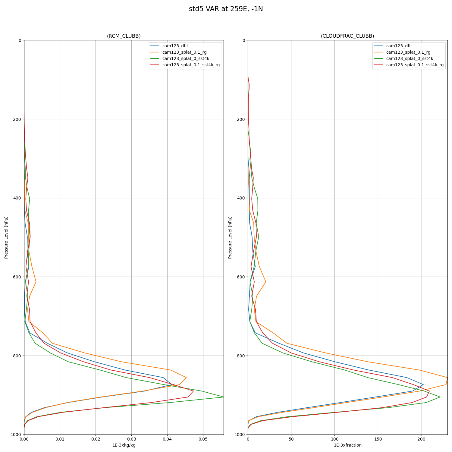
Profiles on 259E_-1N