_splatting_ANN

Back to Main Page

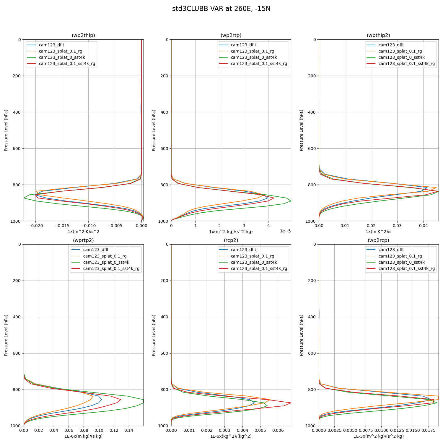
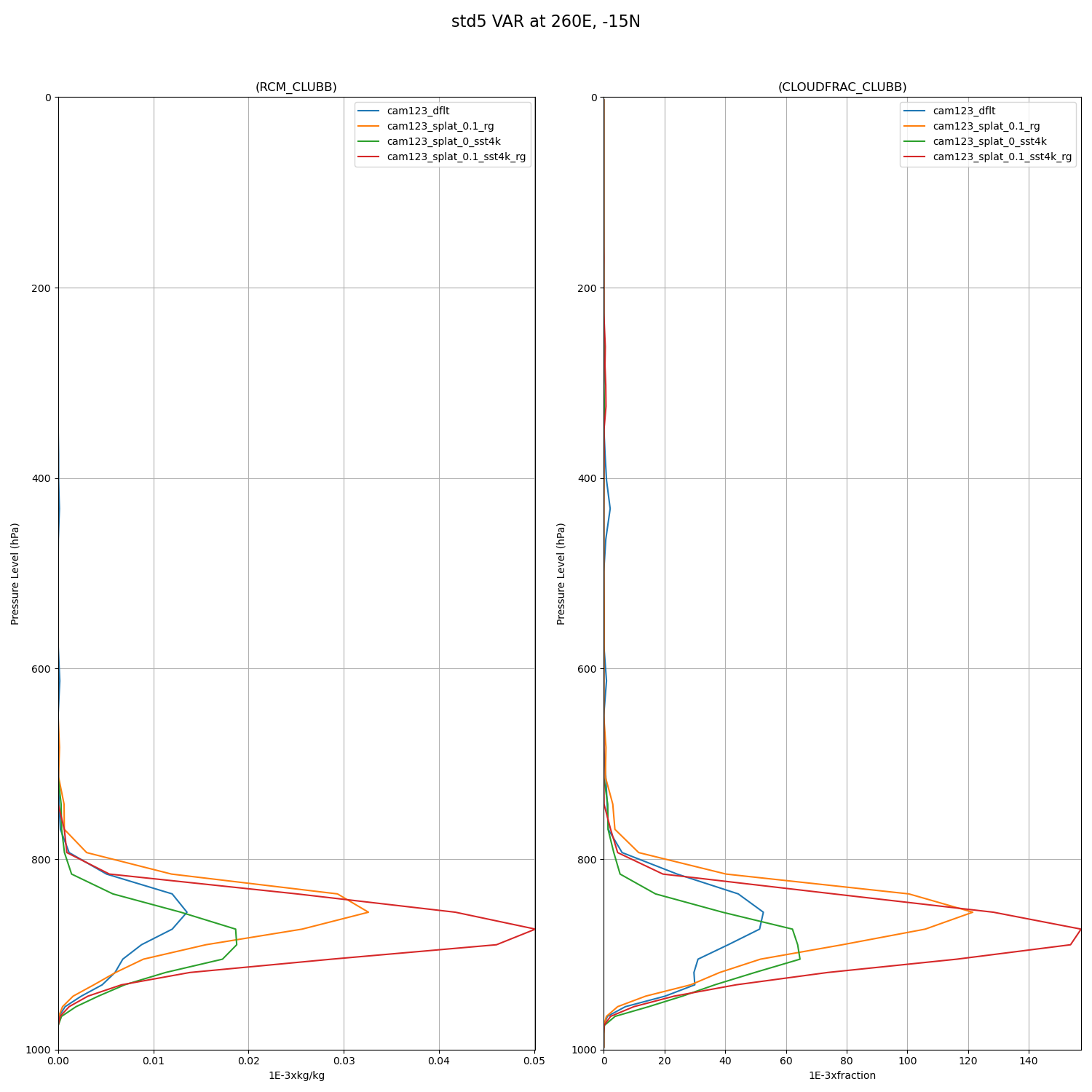
Profiles on 260E_-15N