_splatting_ANN

Back to Main Page

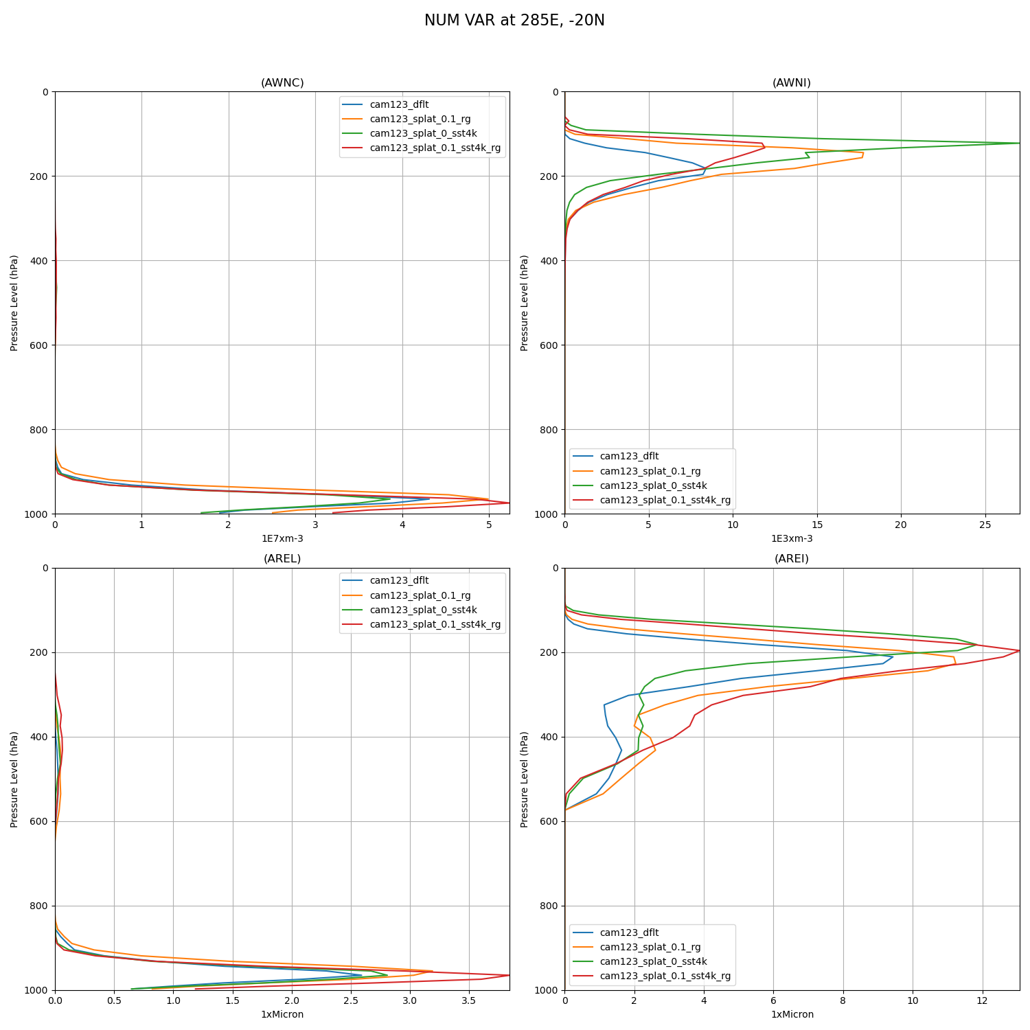
Profiles on 285E_-20N