_splatting_ANN

Back to Main Page

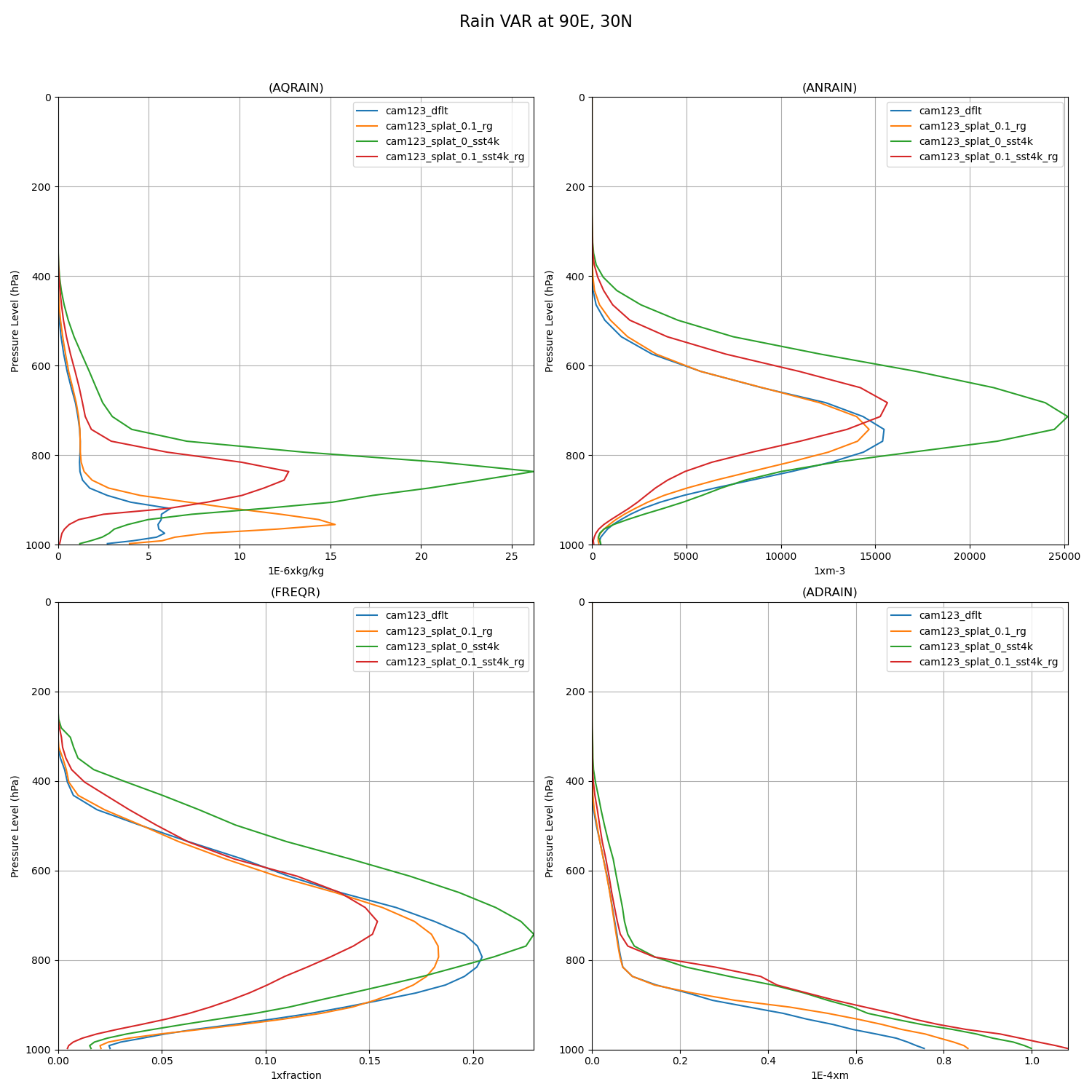
Profiles on 90E_30N