POP time series diagnostics for case   g14b6.JRA55.04



CPL Surface Heat and Freshwater Flux Budget
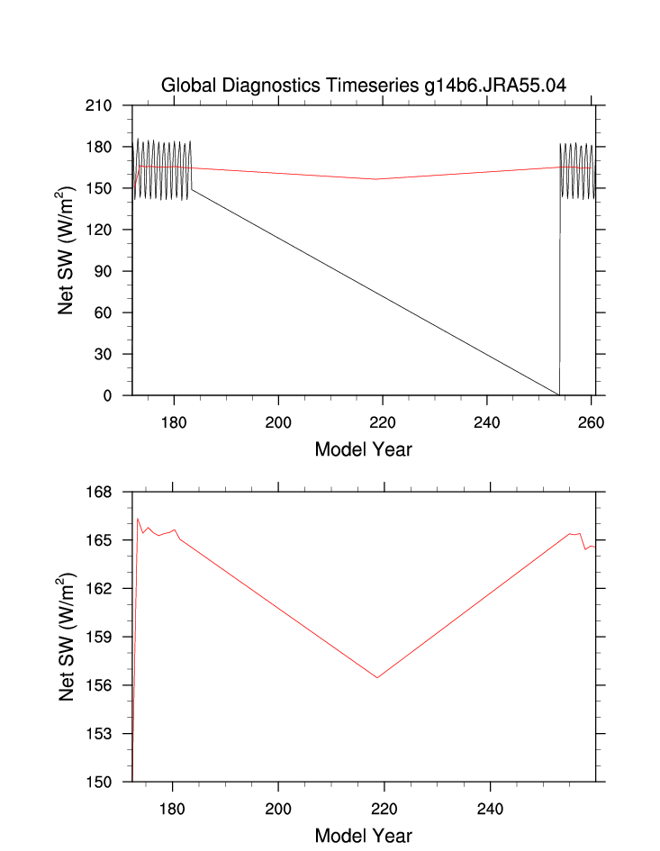
Heat timeseries  table 
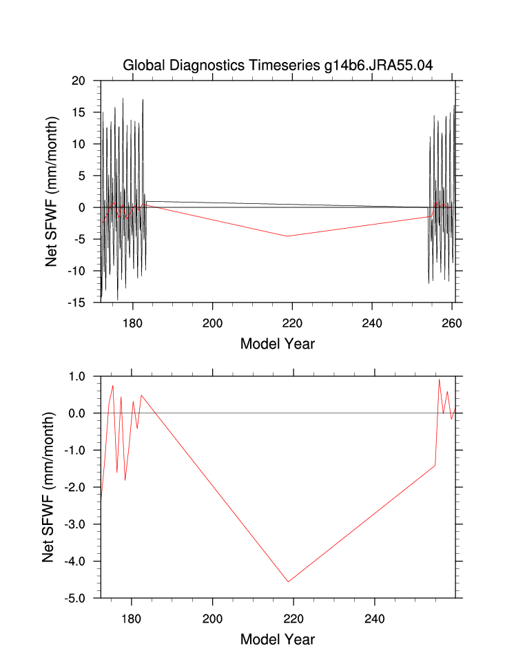
Freshwater timeseries  table 


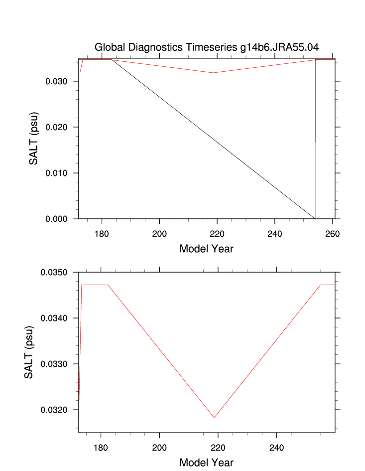
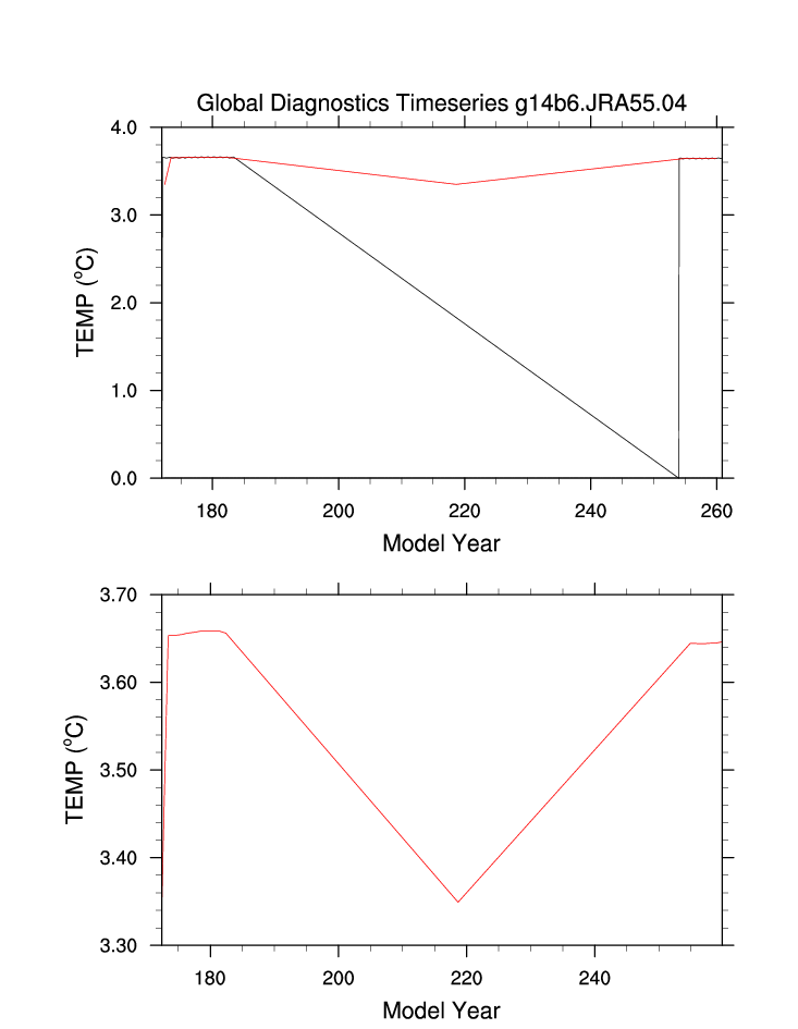
Global Average Fields

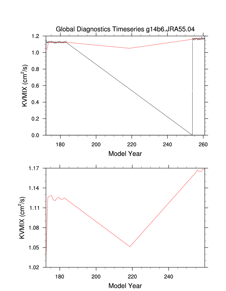
TEMP  SALT  RHO  IAGE  HBLT  HMXL  SSH  KVMIX
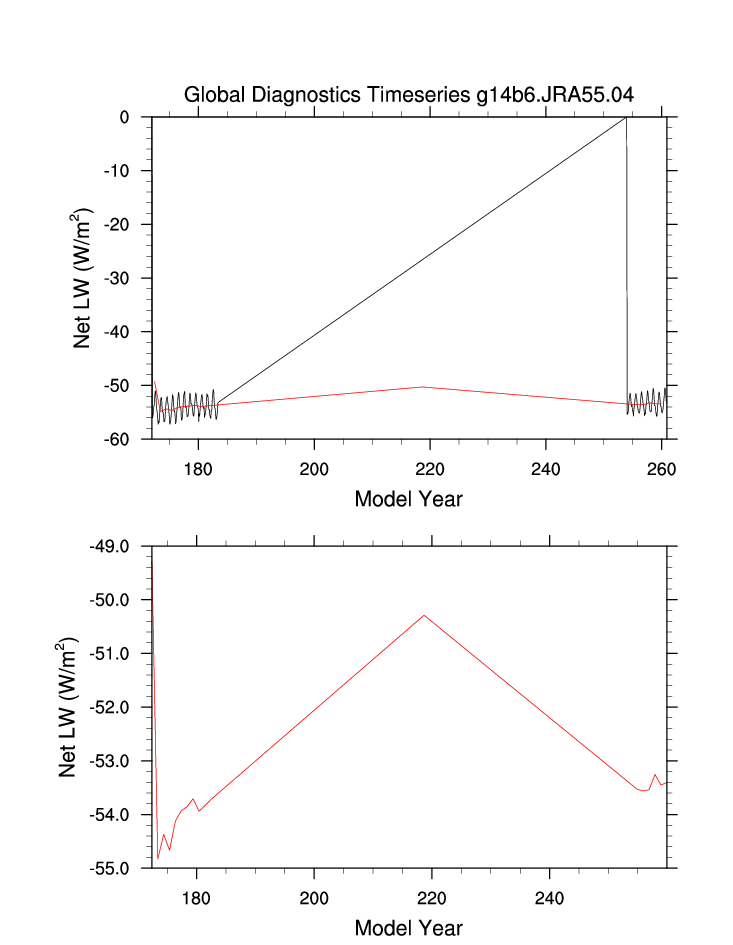
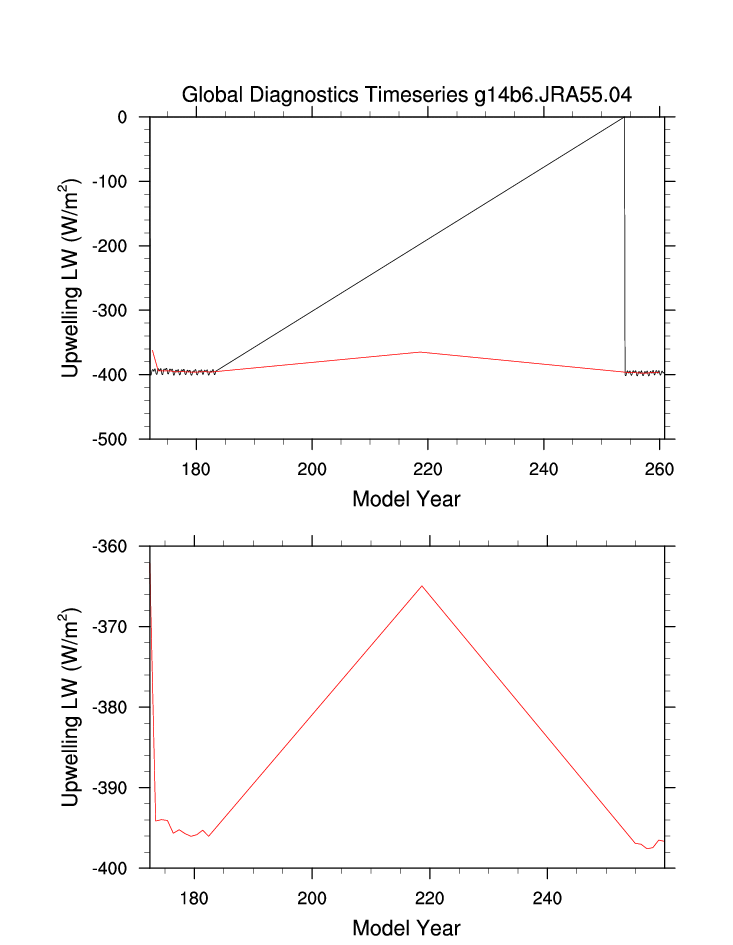
SHF_TOTAL  SWNET  LWNET  LWUP_F  LWDN_F  LATENT  SENH_F  MELTH_F  QFLUX
SFWF_TOTAL  PREC_F  EVAP_F  SNOW_F  MELT_F  ROFF_F  SALT_F  SFWF_QFLUX
CFC11  STF_CFC11  CFC12  STF_CFC12  Precip_factor

Nino Indices

NINO

Transport Diagnostics

Drake_Passage  Mozambique_Channel  Bering_Strait  Northwest_Passage
Indonesian_Throughflow_1  Indonesian_Throughflow_2  Windward_Passage_1  Windward_Passage_2 
Florida_Strait  Gibraltar  Nares Strait 


Horizontal Mean & Diff/RMS compared to obs
TEMP diff:   Global  Arctic  Atlantic  Gin  Hudson  Indian  Labrador  Pacific  Southern
TEMP rms:   Global  Arctic  Atlantic  Gin  Hudson  Indian  Labrador  Pacific  Southern
SALT diff:   Global  Arctic  Atlantic  Gin  Hudson  Indian  Labrador  Pacific  Southern
SALT rms:   Global  Arctic  Atlantic  Gin  Hudson  Indian  Labrador  Pacific  Southern


ENSO Wavelet Analysis
Nino3  Nino3.4


Annual MOC Maximum
MOC