POP time series diagnostics for case   b.e11.BRCP85C5CNBDRD.f09_g16.001



CPL Surface Heat and Freshwater Flux Budget
Heat timeseries  table 
Freshwater timeseries  table 


Global Average Fields

TEMP  SALT  RHO  IAGE  HBLT  HMXL  SSH
SHF_TOTAL  SWNET  LWNET  LWUP_F  LWDN_F  LATENT  SENH_F  MELTH_F  QFLUX
SFWF_TOTAL  PREC_F  EVAP_F  SNOW_F  MELT_F  ROFF_F  SALT_F  SFWF_QFLUX
CFC11  STF_CFC11  CFC12  STF_CFC12  Precip_factor

Nino Indices

NINO

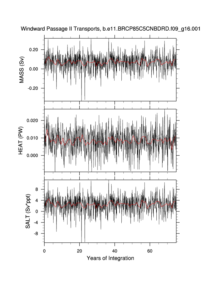
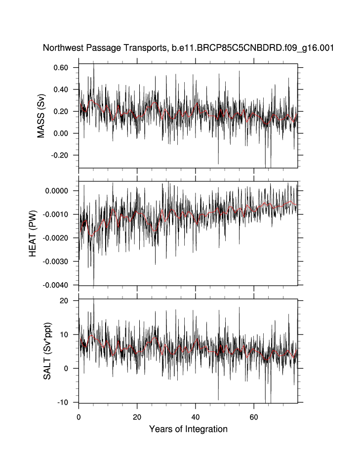
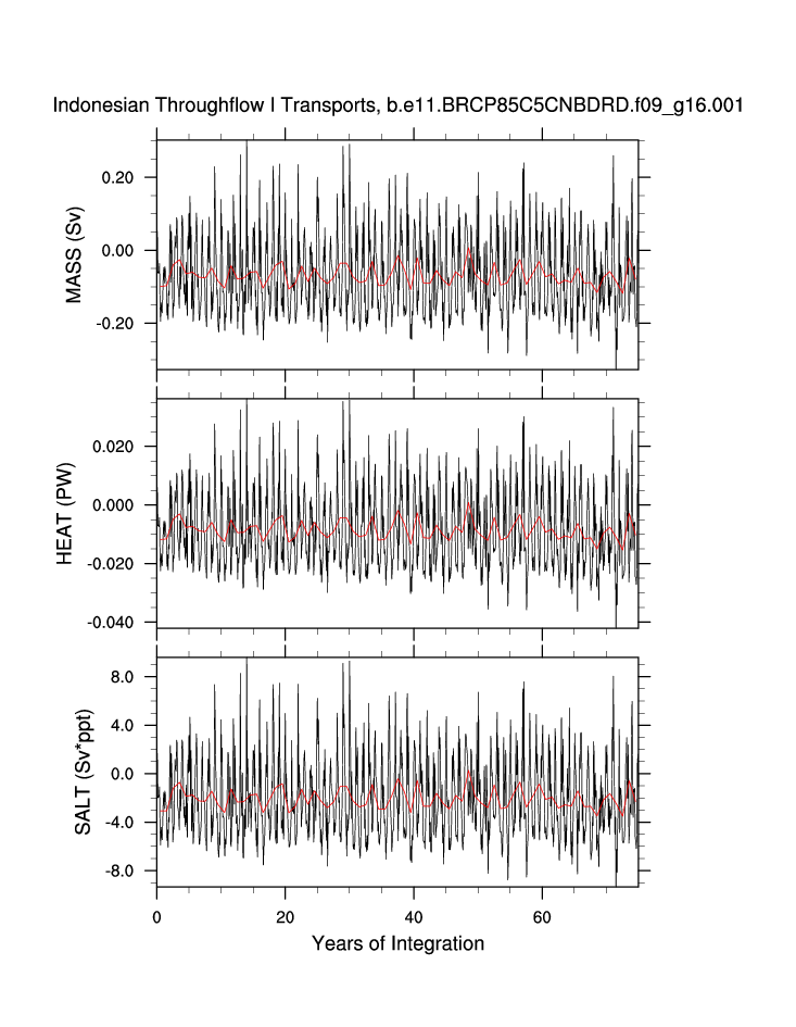
Transport Diagnostics

Drake_Passage  Mozambique_Channel  Bering_Strait  Northwest_Passage
Indonesian_Throughflow_1  Indonesian_Throughflow_2  Windward_Passage_1  Windward_Passage_2 
Florida_Strait  Gibraltar  Nares Strait 


Horizontal Mean & Diff/RMS compared to obs
TEMP diff:   Global  Arctic  Atlantic  Gin  Hudson  Indian  Labrador  Pacific  Southern
TEMP rms:   Global  Arctic  Atlantic  Gin  Hudson  Indian  Labrador  Pacific  Southern
SALT diff:   Global  Arctic  Atlantic  Gin  Hudson  Indian  Labrador  Pacific  Southern
SALT rms:   Global  Arctic  Atlantic  Gin  Hudson  Indian  Labrador  Pacific  Southern


ENSO Wavelet Analysis
Nino3  Nino3.4


Annual MOC Maximum
MOC