b.e11.BRCP85C5CNBDRD.f09_g16.005
and
b.e11.B20TRC5CNBDRD.f09_g16.005
Set 1 Description: Line plots of annual trends in energy balance, soil water/ice and temperature, runoff, snow water/ice, photosynthesis
Lookup Table: Set 1 Variable Definition
| Trend | Difference | Anomaly | |||
|---|---|---|---|---|---|
| 2m air temperature (TSA) | TrendPlot | DifferencePlot | AnomalyPlot | ||
| ppt: rain+snow (PREC) | TrendPlot | DifferencePlot | AnomalyPlot | ||
| Runoff:qover+qdrai+qrgwl (TOTRUNOFF) | TrendPlot | DifferencePlot | AnomalyPlot | ||
| soil temperature: layers 1,5,10 (TSOI) | TrendPlot | DifferencePlot | AnomalyPlot | ||
| photosynthesis (FPSN) | TrendPlot | DifferencePlot | AnomalyPlot | ||
| exposed one-sided leaf area index (ELAI) | TrendPlot | DifferencePlot | AnomalyPlot | ||
| exposed one-sided stem area index (ESAI) | TrendPlot | DifferencePlot | AnomalyPlot | ||
| total one-sided leaf area index (TLAI) | TrendPlot | DifferencePlot | AnomalyPlot | ||
| total one-sided stem area index (TSAI) | TrendPlot | DifferencePlot | AnomalyPlot | ||
| Sunlit Projected Leaf Area Index (LAISUN) | TrendPlot | DifferencePlot | AnomalyPlot | ||
| Shaded Projected Leaf Area Index (LAISHA) | TrendPlot | DifferencePlot | AnomalyPlot | ||
| transpiration beta factor (BTRAN) | TrendPlot | DifferencePlot | AnomalyPlot | ||
| infiltration (QINFL) | TrendPlot | DifferencePlot | AnomalyPlot | ||
| surface runoff (QOVER) | TrendPlot | DifferencePlot | AnomalyPlot | ||
| surface runoff at glaciers, wetlands, lakes (QRGWL) | TrendPlot | DifferencePlot | AnomalyPlot | ||
| sub-surface drainage (QDRAI) | TrendPlot | DifferencePlot | AnomalyPlot | ||
| interception (QINTR) | TrendPlot | DifferencePlot | AnomalyPlot | ||
| ground evaporation (QSOIL) | TrendPlot | DifferencePlot | AnomalyPlot | ||
| canopy transpiration (QVEGT) | TrendPlot | DifferencePlot | AnomalyPlot | ||
| soil liquid water: layers 1,5,10 (SOILLIQ) | TrendPlot | DifferencePlot | AnomalyPlot | ||
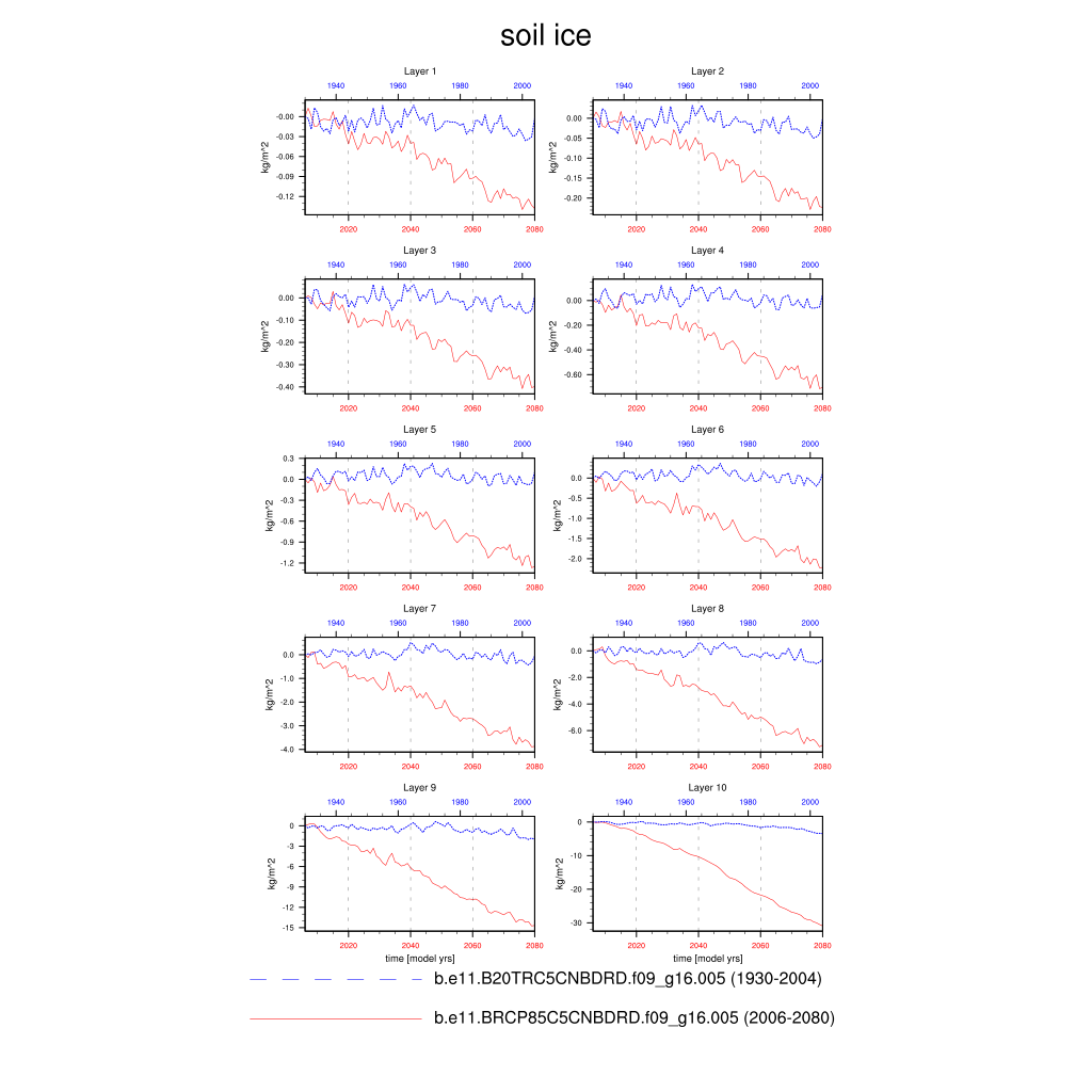
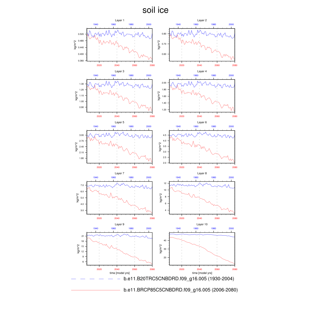
| soil ice: layers 1,5,10 (SOILICE) | TrendPlot | DifferencePlot | AnomalyPlot | ||
| Soil Water Potential in Each Soil Layer (SOILPSI) | TrendPlot | DifferencePlot | AnomalyPlot | ||
| snow liquid water (SNOWLIQ) | TrendPlot | DifferencePlot | AnomalyPlot | ||
| snow ice (SNOWICE) | TrendPlot | DifferencePlot | AnomalyPlot | ||
| total soil liquid water (TOTSOILLIQ) | TrendPlot | DifferencePlot | AnomalyPlot | ||
| total soil ice (TOTSOILICE) | TrendPlot | DifferencePlot | AnomalyPlot | ||
| water in the unconfined aquifer (WA) | TrendPlot | DifferencePlot | AnomalyPlot | ||
| water table depth (ZWT) | TrendPlot | DifferencePlot | AnomalyPlot | ||
| aquifer recharge rate (QCHARGE) | TrendPlot | DifferencePlot | AnomalyPlot | ||
| fractional area with water table at surface (FCOV) | TrendPlot | DifferencePlot | AnomalyPlot | ||
| CO2 concentration (CO2_PPMV) | TrendPlot | DifferencePlot | AnomalyPlot | ||
| total water storage (TWS) | --- | --- | --- | ||
| river channel total water storage (VOLR) | --- | --- | --- | ||
| total dust deposition (dry+wet) from atmosphere (DSTDEP) | TrendPlot | DifferencePlot | AnomalyPlot | ||
| total surface dust emission (DSTFLXT) | TrendPlot | DifferencePlot | AnomalyPlot | ||
| total OC deposition (dry+wet) from atmosphere (OCDEP) | TrendPlot | DifferencePlot | AnomalyPlot | ||
| total BC deposition (dry+wet) from atmosphere (BCDEP) | TrendPlot | DifferencePlot | AnomalyPlot | ||
| net ecosys exchange of C;incl fire flx;pos for source (NEE) | TrendPlot | DifferencePlot | AnomalyPlot | ||
| net ecosystem production;excl fire flx;pos for sink (NEP) | TrendPlot | DifferencePlot | AnomalyPlot | ||
| gross primary production (GPP) | TrendPlot | DifferencePlot | AnomalyPlot | ||
| GPP from Sunlit Canopy (PSNSUN_TO_CPOOL) | TrendPlot | DifferencePlot | AnomalyPlot | ||
| GPP from Shaded Canopy (PSNSHADE_TO_CPOOL) | TrendPlot | DifferencePlot | AnomalyPlot | ||
| net primary production (NPP) | TrendPlot | DifferencePlot | AnomalyPlot | ||
| above ground net primary production (AGNPP) | TrendPlot | DifferencePlot | AnomalyPlot | ||
| below ground net primary production (BGNPP) | TrendPlot | DifferencePlot | AnomalyPlot | ||
| maintenance respiration (MR) | TrendPlot | DifferencePlot | AnomalyPlot | ||
| total growth respiration (GR) | TrendPlot | DifferencePlot | AnomalyPlot | ||
| autotrophic respiration (MR + GR) (AR) | TrendPlot | DifferencePlot | AnomalyPlot | ||
| litter hetereotrophic respiration (LITHR) | TrendPlot | DifferencePlot | AnomalyPlot | ||
| SOM hetereotrophic respiration (SOMHR) | TrendPlot | DifferencePlot | AnomalyPlot | ||
| total hetereotrophic respiration (HR) | TrendPlot | DifferencePlot | AnomalyPlot | ||
| root respiration (fine root MR + total root GR) (RR) | TrendPlot | DifferencePlot | AnomalyPlot | ||
| total soil respiration (HR + root resp) (SR) | TrendPlot | DifferencePlot | AnomalyPlot | ||
| total ecosystem respiration (AR + HR) (ER) | TrendPlot | DifferencePlot | AnomalyPlot | ||
| Fractional inundated of veg col (FINUNDATED) | --- | --- | --- | ||
| Gridcell surface CH4 flux (FCH4) | --- | --- | --- | ||
| Gridcell oxidation of CH4 to CO2 (FCH4TOCO2) | --- | --- | --- | ||
| CH4 additional flux (FCH4_DFSAT) | --- | --- | --- | ||
| Gridcell total CH4 production (CH4PROD) | --- | --- | --- | ||
| aerenchyma sfc CH4 flx-inundated area (CH4_SURF_AERE_SAT) | --- | --- | --- | ||
| aerenchyma sfc CH4 flx-non-inundated area (CH4_SURF_AERE_UNSAT) | --- | --- | --- | ||
| diffusive sfc CH4 flx-inundated/lake area (CH4_SURF_DIFF_SAT) | --- | --- | --- | ||
| diffusive sfc CH4 flx-non-inundated area (CH4_SURF_DIFF_UNSAT) | --- | --- | --- | ||
| ebullition sfc CH4 flx-inundated/lake area (CH4_SURF_EBUL_SAT) | --- | --- | --- | ||
| ebullition sfc CH4 flx-non-inundated area (CH4_SURF_EBUL_UNSAT) | --- | --- | --- | ||
| leaf carbon (LEAFC) | TrendPlot | DifferencePlot | AnomalyPlot | ||
| leaf nitrogen (LEAFN) | TrendPlot | DifferencePlot | AnomalyPlot | ||
| leaf carbon/nitrogen (LEAFCN) | TrendPlot | DifferencePlot | AnomalyPlot | ||
| Soil organic matter C (slow pool) (SOIL3C) | TrendPlot | DifferencePlot | AnomalyPlot | ||
| Soil organic matter C (slowest pool) (SOIL4C) | TrendPlot | DifferencePlot | AnomalyPlot | ||
| fine root carbon (FROOTC) | TrendPlot | DifferencePlot | AnomalyPlot | ||
| live stem C (LIVESTEMC) | TrendPlot | DifferencePlot | AnomalyPlot | ||
| dead stem carbon (DEADSTEMC) | TrendPlot | DifferencePlot | AnomalyPlot | ||
| live coarse root carbon (LIVECROOTC) | TrendPlot | DifferencePlot | AnomalyPlot | ||
| dead coarse root carbon (DEADCROOTC) | TrendPlot | DifferencePlot | AnomalyPlot | ||
| temporary photosynthate C pool (CPOOL) | TrendPlot | DifferencePlot | AnomalyPlot | ||
| Temporary Photosynthate C Pool (XSMRPOOL) | TrendPlot | DifferencePlot | AnomalyPlot | ||
| total vegetation C, excluding cpool (TOTVEGC) | TrendPlot | DifferencePlot | AnomalyPlot | ||
| total vegetation N (TOTVEGN) | TrendPlot | DifferencePlot | AnomalyPlot | ||
| total vegetation C/N (TOTVEGCN) | TrendPlot | DifferencePlot | AnomalyPlot | ||
| coarse woody debris carbon (CWDC) | TrendPlot | DifferencePlot | AnomalyPlot | ||
| total litter carbon (TOTLITC) | TrendPlot | DifferencePlot | AnomalyPlot | ||
| total litter carbon to 1m depth (TOTLITC_1m) | --- | --- | --- | ||
| total litter N (TOTLITN) | TrendPlot | DifferencePlot | AnomalyPlot | ||
| total litter N to 1m depth (TOTLITN_1m) | --- | --- | --- | ||
| total SOM carbon (TOTSOMC) | TrendPlot | DifferencePlot | AnomalyPlot | ||
| total SOM carbon to 1 meter depth (TOTSOMC_1m) | --- | --- | --- | ||
| total soil organic matter N (TOTSOMN) | TrendPlot | DifferencePlot | AnomalyPlot | ||
| total soil organic matter N to 1m depth (TOTSOMN_1m) | --- | --- | --- | ||
| total ecosystem C, incl veg but excl cpool (TOTECOSYSC) | TrendPlot | DifferencePlot | AnomalyPlot | ||
| total ecosystem C, incl veg and cpool (TOTCOLC) | TrendPlot | DifferencePlot | AnomalyPlot | ||
| column-level sink for C truncation (COL_CTRUNC) | TrendPlot | DifferencePlot | AnomalyPlot | ||
| pft-level sink for C truncation (PFT_CTRUNC) | TrendPlot | DifferencePlot | AnomalyPlot | ||
| fraction of potential GPP (FPG) | TrendPlot | DifferencePlot | AnomalyPlot | ||
| fraction of potential immobilization (FPI) | TrendPlot | DifferencePlot | AnomalyPlot | ||
| total ecosystem N (TOTECOSYSN) | TrendPlot | DifferencePlot | AnomalyPlot | ||
| nitrogen deposition (NDEP_TO_SMINN) | TrendPlot | DifferencePlot | AnomalyPlot | ||
| nitrogen fixation (NFIX_TO_SMINN) | TrendPlot | DifferencePlot | AnomalyPlot | ||
| Mycorrhizal N uptake flux (NACTIVE) | --- | --- | --- | ||
| AM-associated N uptake flux (NAM) | --- | --- | --- | ||
| ECM-associated N uptake flux (NECM) | --- | --- | --- | ||
| Symbiotic BNF uptake flux (NFIX) | --- | --- | --- | ||
| Retranslocated N uptake flux (NRETRANS) | --- | --- | --- | ||
| total carbon used by N uptake in FUN (NPP_NUPTAKE) | --- | --- | --- | ||
| free living N fixation to soil mineral N (FFIX_TO_SMINN) | --- | --- | --- | ||
| Symbiotic BNF uptake used C (NPP_NFIX) | --- | --- | --- | ||
| Mycorrhizal N uptake used C (NPP_NACTIVE) | --- | --- | --- | ||
| retranslocated N uptake flux (NPP_NRETRANS) | --- | --- | --- | ||
| supplement to mineral nitrogen (SUPPLEMENT_TO_SMINN) | TrendPlot | DifferencePlot | AnomalyPlot | ||
| Nitrogen Leached (SMINN_LEACHED) | TrendPlot | DifferencePlot | AnomalyPlot | ||
| Soil NO3 pool loss to leaching (SMIN_NO3_LEACHED) | --- | --- | --- | ||
| Soil NO3 pool loss to runoff (SMIN_NO3_RUNOFF) | --- | --- | --- | ||
| soil mineral N (SMINN) | TrendPlot | DifferencePlot | AnomalyPlot | ||
| Mineral N to NPool (SMINN_TO_NPOOL) | TrendPlot | DifferencePlot | AnomalyPlot | ||
| column-level sink for N truncation (COL_NTRUNC) | TrendPlot | DifferencePlot | AnomalyPlot | ||
| pft-level sink for N truncation (PFT_NTRUNC) | TrendPlot | DifferencePlot | AnomalyPlot | ||
| plant pool of retranslocated N (RETRANSN) | TrendPlot | DifferencePlot | AnomalyPlot | ||
| Retranslocated N to NPool (RETRANSN_TO_NPOOL) | TrendPlot | DifferencePlot | AnomalyPlot | ||
| Potential Immobilization (POTENTIAL_IMMOB) | TrendPlot | DifferencePlot | AnomalyPlot | ||
| Actual Immobilization (ACTUAL_IMMOB) | TrendPlot | DifferencePlot | AnomalyPlot | ||
| Gross N Mineralization (GROSS_NMIN) | TrendPlot | DifferencePlot | AnomalyPlot | ||
| Net N Mineralization (NET_NMIN) | TrendPlot | DifferencePlot | AnomalyPlot | ||
| Total N Deployed in New Growth (NDEPLOY) | TrendPlot | DifferencePlot | AnomalyPlot | ||
| Total Denitrification (DENIT) | TrendPlot | DifferencePlot | AnomalyPlot | ||
| soil organic matter N (slow pool) (SOIL3N) | TrendPlot | DifferencePlot | AnomalyPlot | ||
| Soil organic matter N (slowest pool) (SOIL4N) | TrendPlot | DifferencePlot | AnomalyPlot | ||
| total column-level fire C loss (COL_FIRE_CLOSS) | TrendPlot | DifferencePlot | AnomalyPlot | ||
| total pft-level fire C loss (PFT_FIRE_CLOSS) | TrendPlot | DifferencePlot | AnomalyPlot | ||
| total column-level fire N loss (COL_FIRE_NLOSS) | TrendPlot | DifferencePlot | AnomalyPlot | ||
| total pft-level fire N loss (PFT_FIRE_NLOSS) | TrendPlot | DifferencePlot | AnomalyPlot | ||
| fractional area burned (FAREA_BURNED) | --- | --- | --- | ||
| fractional area burned - crop (BAF_CROP) | --- | --- | --- | ||
| Coarse Woody Debris C Hetereotrophic respiration (CWDC_HR) | TrendPlot | DifferencePlot | AnomalyPlot | ||
| Coarse Woody Debris C Loss (CWDC_LOSS) | TrendPlot | DifferencePlot | AnomalyPlot | ||
| Fine root C allocation (FROOTC_ALLOC) | TrendPlot | DifferencePlot | AnomalyPlot | ||
| Fine root C Loss (FROOTC_LOSS) | TrendPlot | DifferencePlot | AnomalyPlot | ||
| Leaf C Allocation (LEAFC_ALLOC) | TrendPlot | DifferencePlot | AnomalyPlot | ||
| Leaf C Loss (LEAFC_LOSS) | TrendPlot | DifferencePlot | AnomalyPlot | ||
| Total Litter C (LITTERC) | TrendPlot | DifferencePlot | AnomalyPlot | ||
| Litter Hetereotrophic Respiration (LITTERC_HR) | TrendPlot | DifferencePlot | AnomalyPlot | ||
| Litter C Loss (LITTERC_LOSS) | TrendPlot | DifferencePlot | AnomalyPlot | ||
| soil organic matter C (fast pool) (SOILC) | TrendPlot | DifferencePlot | AnomalyPlot | ||
| Soil C hetereotrophic respiration (SOILC_HR) | TrendPlot | DifferencePlot | AnomalyPlot | ||
| Soil C Loss (SOILC_LOSS) | TrendPlot | DifferencePlot | AnomalyPlot | ||
| Wood C (WOODC) | TrendPlot | DifferencePlot | AnomalyPlot | ||
| Wood C Allocation (WOODC_ALLOC) | TrendPlot | DifferencePlot | AnomalyPlot | ||
| Wood C Loss (WOODC_LOSS) | TrendPlot | DifferencePlot | AnomalyPlot | ||