POP diagnostics for case   b.e11.B20TRC5CNBDRD.f09_g16.008



Surface Fluxes
Lat, Lon
SHF_TOTAL  SHF_QSW  MELTH_F  SENH_F  LWUP_F  LWDN_F  QFLUX
SFWF_TOTAL  EVAP_F  PREC_F  SNOW_F  MELT_F  SALT_F  ROFF_F
TAUX  TAUY  CURL
Global Zonal Average
SHF_TOTAL  SHF_QSW  MELTH_F  SENH_F  LWUP_F  LWDN_F  QFLUX
SFWF_TOTAL  EVAP_F  PREC_F  SNOW_F  MELT_F  SALT_F  ROFF_F


2D Fields
Lat, Lon
SSH  HBLT  HMXL  DIA_DEPTH  TLT  INT_DEPTH
SU  SV  BSF
Global Zonal Average
SSH  HBLT  HMXL  DIA_DEPTH  TLT  INT_DEPTH


3D Fields, Zonally-Averaged
Global  TEMP  SALT  IAGE  KAPPA_ISOP  KAPPA_THIC 
Atlantic  TEMP  SALT  IAGE  KAPPA_ISOP  KAPPA_THIC 
Pacific  TEMP  SALT  IAGE  KAPPA_ISOP  KAPPA_THIC 
Indian  TEMP  SALT  IAGE  KAPPA_ISOP  KAPPA_THIC 
Southern  TEMP  SALT  IAGE  KAPPA_ISOP  KAPPA_THIC 


MOC; Meridional Heat & Freshwater Transports
MOC  MOC_TOTAL  MOC_EI  HT  FWT 


Western Boundary Currents
DWBC 


Seasonal Cycle Plots
Eq_Pac_SST 


Mixed Layer Depth Plots
MLD.125  MLD.03 


T & S at depth
TEMP:   0m  50m  100m  200m  300m  500m  1000m  1500m  2000m  2500m  3000m  3500m  4000m 
SALT:   0m  50m  100m  200m  300m  500m  1000m  1500m  2000m  2500m  3000m  3500m  4000m 


Passive Tracers at depth
IAGE:   0m  50m  100m  200m  300m  500m  1000m  1500m  2000m  2500m  3000m  3500m  4000m 


Eulerian Velocity Components at depth
UVEL:   0m  50m  100m  200m  300m  500m  1000m  1500m  2000m  2500m  3000m  3500m  4000m 
VVEL:   0m  50m  100m  200m  300m  500m  1000m  1500m  2000m  2500m  3000m  3500m  4000m 
WVEL:   0m  50m  100m  200m  300m  500m  1000m  1500m  2000m  2500m  3000m  3500m  4000m 


Bolus Velocity Components at depth
UISOP:   0m  50m  100m  200m  300m  500m  1000m  1500m  2000m  2500m  3000m  3500m  4000m 
VISOP:   0m  50m  100m  200m  300m  500m  1000m  1500m  2000m  2500m  3000m  3500m  4000m 
WISOP:   0m  50m  100m  200m  300m  500m  1000m  1500m  2000m  2500m  3000m  3500m  4000m 


Diffusion Coefficients at depth
KAPPA_ISOP:   0m  50m  100m  200m  300m  500m  1000m  1500m  2000m  2500m  3000m  3500m  4000m 
KAPPA_THIC:   0m  50m  100m  200m  300m  500m  1000m  1500m  2000m  2500m  3000m  3500m  4000m 


Equatorial Upperocean
Longitude-Depth
TEMP (Glo)  SALT (Glo)  UVEL (Pac)  UVEL (Atl)  UVEL (Ind) 
Latitude-Depth
143°E:   TEMP  SALT  PD  UVEL 
156°E:   TEMP  SALT  PD  UVEL 
165°E:   TEMP  SALT  PD  UVEL 
180°E:   TEMP  SALT  PD  UVEL 
190°E:   TEMP  SALT  PD  UVEL 
205°E:   TEMP  SALT  PD  UVEL 
220°E:   TEMP  SALT  PD  UVEL 
235°E:   TEMP  SALT  PD  UVEL 
250°E:   TEMP  SALT  PD  UVEL 
265°E:   TEMP  SALT  PD  UVEL 


Horizontal Vector Fields at depth
VELOCITY:   0m  50m  100m  200m  300m  500m  1000m  1500m  2000m  2500m  3000m  3500m  4000m 


Polar T & S at depth
Arctic_TEMP:   0m  50m  100m  200m  300m  500m  1000m  1500m  2000m  2500m  3000m  3500m  4000m 
Arctic_SALT:   0m  50m  100m  200m  300m  500m  1000m  1500m  2000m  2500m  3000m  3500m  4000m 
Antarctic_TEMP:   0m  50m  100m  200m  300m  500m  1000m  1500m  2000m  2500m  3000m  3500m  4000m 
Antarctic_SALT:   0m  50m  100m  200m  300m  500m  1000m  1500m  2000m  2500m  3000m  3500m  4000m 


Depth Profiles of Basin-average T & S
Canada Basin  Eurasian Basin  Makarov Basin 


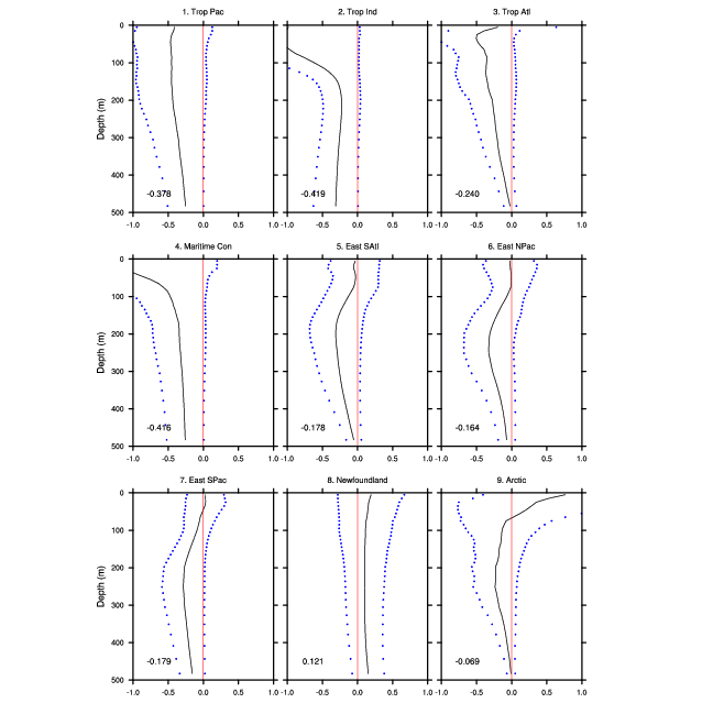
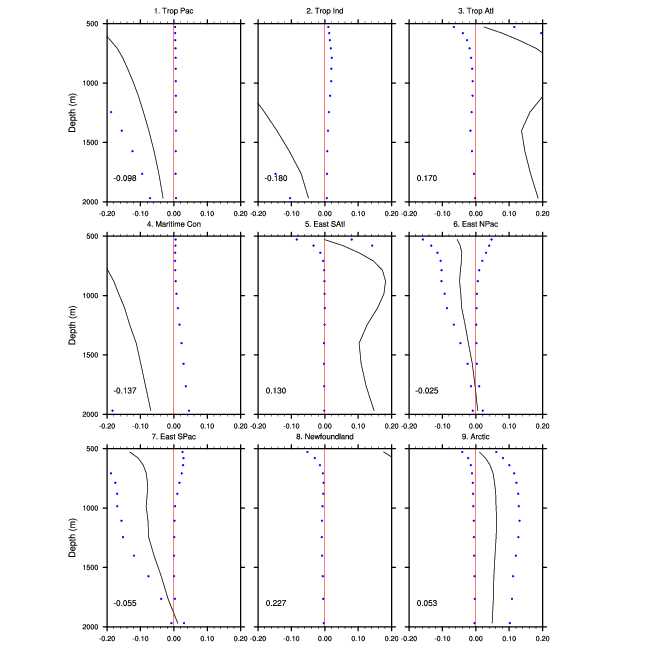
Regional average T & S anomaly vs. depth
Regions:   plot 
0-500m:   TEMP  SALT 
500-2000m:   TEMP  SALT 


Glossary
ADVS Vertically-Integrated S Advection Tendency
ADVT Vertically-Integrated T Advection Tendency
BSF Diagnostic barotropic streamfunction
EVAP_F Evaporation Flux from Coupler
FW Freshwater Flux
HBLT Boundary-Layer Depth
HDIFS Vertically-Integrated Horz Diff S tendency
HDIFT Vertically-Integrated Horz Diff T tendency
HMXL Mixed-Layer Depth
LWDN_F Longwave Heat Flux (dn) from Coupler
LWUP_F Longwave Heat Flux (up) from Coupler
MELTH_F Melt Heat Flux from Coupler
MELT_F Melt Flux from Coupler
PD Potential Density Ref to Surface
PREC_F Precipitation Flux from Cpl (rain+snow)
Q Static Stability (d(rho(p_r))/dz)
QSW_HBL Solar Short-Wave Heat Flux in bndry layer
QSW_HTP Solar Short-Wave Heat Flux in top layer
RESID_S Free-Surface Residual Flux (S)
RESID_T Free-Surface Residual Flux (T)
RHO In-Situ Density
ROFF_F Runoff Flux from Coupler
SALT Salinity
SALT_F Salt Flux from Coupler (kg of salt/m^2/s)
SENH_F Sensible Heat Flux from Coupler
SFWF Virtual Salt Flux in FW Flux formulation
SHF Total Surface Heat Flux, Including SW
SHF_QSW Solar Short-Wave Heat Flux
SNOW_F Snow Flux from Coupler
SSH Sea Surface Height
SU Vertically Integrated Velocity in grid-x direction
SV Vertically Integrated Velocity in grid-y direction
TAUX Windstress in grid-x direction
TAUY Windstress in grid-y direction
TBLT Minimum Boundary-Layer Depth
TEMP Potential Temperature
TFW_S S flux due to freshwater flux (kg of salt/m^2/s)
TFW_T T flux due to freshwater flux
TMXL Minimum Mixed-Layer Depth
UES Salt Flux in grid-x direction
UET Flux of Heat in grid-x direction
UVEL Velocity in grid-x direction
VNS Salt Flux in grid-y direction
VNT Flux of Heat in grid-y direction
VVEL Velocity in grid-y direction
WTS Salt Flux Across Top Face
WTT Heat Flux Across Top Face
WVEL Vertical Velocity
XBLT Maximum Boundary-Layer Depth
XMXL Maximum Mixed-Layer Depth